Mobile QR Code QR CODE
Export citation EndNote

  1. 서울대학교 건축학과 박사후연구원 (Postdoctoral Researcher, Department of Architecture and Architectural Engineering, Seoul National University, Seoul 08826, Rep. of Korea)
  2. 충북대학교 건축공학과 부교수 (Associate Professor, Department of Architectural Engineering, Chungbuk National University, Cheongju 28644, Rep. of Korea)
  3. 서울대학교 건축학과 교수 (Professor, Department of Architecture and Architectural Engineering, Seoul National University, Seoul 08826, Rep. of Korea)



프리스트레스트 콘크리트, 전단강도, 설계식, 휨-전단강도, 약산식
prestressed concrete, shear strength, design equation, flexure-shear, approximate method

1. 서 론

콘크리트 부재의 전단강도는 여러 설계변수가 영향을 미치고 복잡한 파괴매커니즘이 관여되어, 지금까지 지속적으로 연구되어온 주제이다(Hong et al. 2007; Lee 2022). 포스트텐션 슬래브-기둥 접합부(Kang et al. 2007), 프리캐스트 합성부재(Kim et al. 2014) 등 다양한 구조형식과 순환골재 적용(Kim et al. 2012) 등 사용 재료, 피로하중(Oh et al. 1998) 등 다양한 하중 패턴에 대하여 콘크리트 부재의 전단강도와 관련한 수많은 연구가 수행되어 왔다.

이 중, 프리스트레스트 콘크리트(PSC) 1방향 부재(보, 슬래브)는 프리스트레스에 의한 편심 압축의 영향으로 인해 축력이 가해지지 않은 일반 철근콘크리트(RC) 부재에 비해 일반적으로 더 높은 콘크리트 전단강도($V_{c}$)를 가진다(PTI 2023). 이의 영향을 설계에 고려하기 위해 1방향 전단에 대한 통합 모델을 제시하고 있는 AASHTO LRFD(AASHTO 2021), Eurocode 2(CEN 2004), KDS 24 14 21(한계상태설계법)(MOLIT 2021) 등 기준에서는 $V_{c}$ 산정에 프리스트레스 압축응력의 영향을 고려하여 산정하기를 요구하고 있다.

강도설계법에 기반한 현행 국내 콘크리트 구조기준인 KDS 14 20 22(KCI 2022a) 4.2.2절에서는 RC와 PSC 1방향 부재에 대한 콘크리트 전단강도($V_{c}$) 설계식을 별도로 제시하고 있다. KDS 14의 PSC 1방향 전단설계식은 미국 ACI 318-63, 318-69 (ACI Committee 318 1963; 1969)에서 각각 처음 도입된 상세식(Detailed Method)과 약산식(Approximate Method)에 기반을 두고 있으며, 국내에서는 1983년 콘크리트표준시방서에 강도설계법이 도입된 이후로 지난 40여 년간 큰 개정 없이 사용되어 왔다(Lee 2021). 오랜 기간 사용되어 오며 해당 설계식의 안전성과 실용성은 충분히 검증되었지만, 계산이 복잡하고 유효깊이($d_{p}$와 $d$)에 대한 정의가 비일관적이며, 역학적 근거가 부족한 약산식 적용조건식을 제시하는 등 일부 비합리적인 측면이 존재한다. 이에, Kang et al. (2021), Ju et al. (2023), Lee et al. (2023)은 미국 ACI 318-19(ACI Committee 318 2019) PSC 1방향 전단설계식의 기본 철학에서 벗어나지 않으면서 일부 비합리성을 개선하는 연구를 수행하였다.

이 연구에서는 기존 연구를 바탕으로 동일한 배경을 가진 KDS 14 PSC 1방향 전단설계식의 배경과 철학을 소개하고, 문제점과 이에 대한 합리적 개선방향을 소개하였다.

2. 현행 KDS 14 PSC 1방향 전단설계식의 배경과 문제점

2.1 KDS 14 20 22 4.2.2(3) 상세식의 배경

현행 KDS 14 20 22 4.2.2절의 PSC 1방향 전단설계식은 약산식의 유효깊이($d_{p}$) 정의를 제외하고, 미국 ACI 318-19와 거의 동일한 식을 사용한다. KDS 14는 콘크리트에 의한 전단강도($V_{c}$) 산정에 있어 크게 두 가지의 파괴매커니즘을 고려한다. 휨-전단파괴(Fig. 1)는 휨균열의 선단에서 전단응력과 휨, 프리스트레스에 의한 수직응력의 조합에 의해 휨균열이 사인장균열로 진전하여 발생하는 파괴모드이고, 복부전단파괴(Fig. 2)는 부재 단부의 비균열 단면에서 전단응력($v_{c}$)과 프리스트레스에 의한 수직응력($f_{pc}$)의 조합에 의한 주응력($f_{1}$)이 콘크리트 인장강도에 도달하여 부재 복부에 사인장균열을 유발하며 발생하는 파괴모드이다. 현행 설계법은 상세식(KDS 14 20 22 4.2.2(3)절)과 약산식(4.2.2(2)절)으로 나뉘는데, 상세식은 단면에서 계산된 휨-전단강도($V_{ci}$)(식 (1))와 복부전단강도($V_{cw}$)(식 (2)) 중 작은 값을 해당 단면의 콘크리트에 의한 전단강도($V_{c}$)로 산정하며, 적용조건식(식 (3))을 만족하는 부재에 한해서만 콘크리트 전단강도($V_{c}$)에 대한 약산식(식 (4))을 사용할 수 있도록 허용하고 있다.

(1)
../../Resources/KCI/JKCI.2025.37.2.195/eq1.png
(1-1)
../../Resources/KCI/JKCI.2025.37.2.195/eq1-1.png
(1-2)
../../Resources/KCI/JKCI.2025.37.2.195/eq1-2.png

Fig. 1 Background of flexure-shear strength ($V_{ci}$)

../../Resources/KCI/JKCI.2025.37.2.195/fig1.png

여기서, $b_{w}$: 복부의 폭(mm), $d$: 긴장재와 철근의 도심에서 압축연단까지의 거리와 0.8$h$ 중 큰 값(mm), $d_{p}$: 압축연단에서 긴장재의 도심까지 거리와 0.8$h$ 중 큰 값(mm), $f_{ck}$: 콘크리트의 설계기준압축강도(MPa), $f_{d}$: 부재의 자중에 의해 단면의 인장연단에 작용하는 인장응력(MPa), $f_{pcc}$: 프리스트레스에 의해 단면의 인장연단에 작용하는 압축응력(MPa), $h$: 부재의 깊이(mm), $I$: 단면의 단면2차모멘트(mm4), $M_{cre}$: 자중을 제외한 외부 작용하중에 의해 단면에 휨균열을 일으키는 모멘트(N-mm), $M_{\max}$: 자중을 제외한 외부하중에 의해 단면에 작용하는 계수휨모멘트(N-mm), $V_{ci}$: 휨-전단 강도(N), $V_{d}$: 부재의 자중에 의해 단면에 작용하는 모멘트(N), $V_{i}$: $M_{\max}$와 동시에 일어나는 계수전단력(N), $y_{t}$: 단면의 도심에서 인장연단까지의 거리(mm), 그리고 $\lambda$: 경량콘크리트계수이다.

휨-전단 설계식(식 (1))은 휨균열이 사인장균열으로 진전했을 때의 전단력을 부재의 휨-전단강도로 정의하여 반경험적으로 제안된 식이다. 식 (1)의 각 항은 다음과 같은 의미를 가지고 있다. $V_{d}$는 부재의 자중에 의해 단면에 가해지는 전단력, $V_{i}M_{cre}$/$M_{\max}$는 자중을 제외하고 부재에 휨균열을 유발하기 위해 추가로 가해져야 하는 외부하중에 의한 전단력을 의미한다. 여기서, Vi와 $M_{\max}$는 각각 부재의 자중을 제외한, 외부 작용하중에 의해 단면에 발생하는 계수전단력과 휨모멘트, $M_{cre}$는 자중을 제외한 외부 작용하중에 의해 단면에 휨균열을 일으키는 모멘트를 의미한다. 이들은 이론적으로 얻어질 수 있는 항이다.

0.05$\lambda$√$f_{ck}b_{w}d_{p}$는 수직방향의 휨균열이 경사방향의 휨-전단균열로 진전하기 위해 추가적으로 가해져야 하는 전단력(부가전단력)으로, 이는 Sozen et al. (1959)의 프리텐션 및 부착식 포스트텐션 보 전단 실험 데이터에 기반하여 경험적으로 얻어진 값이다(Fig. 1). $V_{ci}$ 식에서 프리스트레스의 영향은 식 (1-2)로 주어진 외부하중에 의한 균열모멘트($M_{cre}$) 식 안에서 프리스트레스에 의해 설계단면의 인장연단에 작용하는 압축응력($f_{pcc}$)을 통해 반영된다. 작용하는 압축응력이 클수록 균열모멘트($M_{cre}$)가 커지게 되어 휨-전단강도($V_{ci}$)가 커지게 된다.

(2)의 복부전단 설계식은 PSC 부재 단면의 전단중심에서 전단응력과 프리스트레스 압축응력의 합성작용에 의한 주응력($f_{1}$)이 콘크리트 인장강도($f_{ct}$)를 초과할 때를 기준으로 만들어진 이론식을 단순화시킨 식을 사용하고 있다(Fig. 2). 프리스트레스에 의한 단면 내 평균 압축응력($f_{pc}$)이 $V_{cw}$ 식에 직접 고려된다. 이 때, 콘크리트의 인장강도는 $f_{ct}$=0.29$\lambda$√$f_{ck}$로 약간 보수적인 값을 가정하여 설계식으로 사용한다.

Fig. 2 Background of web-shear strength ($V_{cw}$)

../../Resources/KCI/JKCI.2025.37.2.195/fig2.png
(2)
../../Resources/KCI/JKCI.2025.37.2.195/eq2.png

여기서, $V_{cw}$: 복부전단강도(N), $f_{pc}$: 작용하중을 저항하는 단면의 중심에서 모든 프리스트레스 손실을 감안한 콘크리트의 압축응력 또는 단면의 중심이 플랜지 내에 위치할 경우는 복부와 플랜지의 교차점에서 압축응력(MPa), 그리고 $V_{p}$: 유효프리스트레스 힘의 수직방향 성분(N)이다.

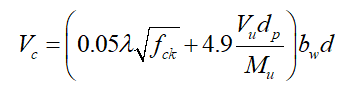
2.2 KDS 14 20 22 4.2.2(2) 약산식의 배경

(3)(4)로 표현되는 약산식은 MacGregor and Hanson (1969)에 의해 제안된 식으로, 프리스트레스의 영향을 $V_{c}$(식 (4))에 명시적으로 고려하지 않는다. 즉, 프리스트레스와 관련된 변수가 없으므로, 이에 의한 전단강도 증가 효과가 전단강도식에 반영되지 않는다. 대신, $V_{c}$(식 (4))가 프리스트레스가 가해지지 않은 RC 부재에 비해서는 비교적 전단강도를 높게 예측하도록 만들어졌다. 약산식에서 프리스트레스의 영향은 적용조건식(식 (3))을 통해 간접적으로 반영된다. 프리스트레스가 가해지지 않거나 낮은 부재에 대해서는 $V_{c}$(식 (4))가 비보수적으로 산정되나, 프리스트레스가 일정 수준 이상 가해져서 적용조건(식 (3))을 만족하는 부재에 대해서는 $V_{c}$가 보수적으로 산정되도록 만들어진 식이다.

(4)Fig. 3과 같이 상세식에 의한 $V_{ci}$와 $V_{cw}$에 비해 대체로 보수적인 강도가 산정되도록 제안되었다. 식 (3)은 $V_{ci}$(식 (1))를 단순화시킨 형태이며, 부재 단부에서 복부전단강도($V_{cw}$) 대비 보수성을 보장하기 위해, 전단강도의 상한(5/12$\lambda$√$f_{ck}b_{w}d$)을 제시하고 있다(Fig. 3). 이는 당시 전형적인 PSC 부재의 설계변수(콘크리트 압축강도: $f_{ck}$=35 MPa, 유효프리스트레스: $f_{pe}$=700 MPa, 인장재비: $\rho_{s}$+$\rho_{p}$≥0.35 %)를 가정하여 제안된 것이다.

Fig. 3 Approximate method for concrete shear strength ($V_{c}$) (Lee et al. 2023)

../../Resources/KCI/JKCI.2025.37.2.195/fig3.png

약산식에서는 $d$와 $d_{p}$ 두 종류의 부재 유효깊이를 사용하고 있다. $d$는 전체 인장재(텐던과 인장철근)를 고려한 유효깊이이며, $d_{p}$는 텐던만을 고려한 유효깊이라는 점에서 차이가 있다. MacGregor and Hanson (1969)는 $d_{p}$가 텐던의 깊이와 동일한 값 즉, 0.8$h$ 하한선이 적용되지 않는 것으로 제안하였으며, 이에 따라 ACI 318-19에서도 $d_{p}$에 하한선이 적용되지 않고 있다. 반면, 현행 KDS 14 20 22 4.2.2(2)의 약산식에는 $d_{p}$≥0.8$h$ 하한선이 적용되고 있다는 차이가 있다.

(3)
../../Resources/KCI/JKCI.2025.37.2.195/eq3.png
(4)
../../Resources/KCI/JKCI.2025.37.2.195/eq4.png
(4-1)
../../Resources/KCI/JKCI.2025.37.2.195/eq4-1.png
(4-2)
../../Resources/KCI/JKCI.2025.37.2.195/eq4-2.png

여기서, $A_{s}$: 인장철근의 단면적(mm2), $A_{ps}$: 프리스트레싱 긴장재의 단면적(mm2), $f_{pe}$: 유효프리스트레스 응력(MPa), $f_{pu}$: 프리스트레싱 긴장재의 항복강도(MPa), $f_{y}$: 인장철근의 항복강도(MPa), $M_{u}$: 자중을 포함한 계수하중에 의해 단면에 가해지는 모멘트(N-mm), $V_{c}$: 콘크리트에 의한 전단강도(약산식)(N), 그리고 $V_{u}$: 자중을 포함한 계수하중에 의해 단면에 가해지는 전단력(N)이다.

2.3 현행 설계식의 문제점

구조설계의 안전성과 일관된 설계를 보장하기 위해 실무자에게 혼동을 줄 수 있는 과도하게 복잡한 설계식은 바람직하지 않다. 현행 설계식, 특히 식 (1)의 $V_{ci}$ 설계식은 전단강도 계산을 위해 $V_{d}$, $V_{i}$, $M_{\max}$, $M_{cre}$, $d_{p}$ 등 설계하중과 단면 위치에 따라 달라지는 여러 변수들을 계산해야 하며, 외부하중에 의한 균열모멘트($M_{cre}$)를 계산하기 위해서는 프리스트레스에 의해 단면의 인장연단에 작용하는 압축응력($f_{pcc}$)과 자중에 의해 단면의 인장연단에 작용하는 인장응력($f_{d}$)을 추가로 계산해야 한다. 특히, 자중에 의한 전단력($V_{d}$)과 자중을 제외한 외부 작용하중에 의한 전단력($V_{i}$)을 별도로 고려해야 하며, 이들의 계산을 위해 별도의 하중조합을 이용해야 한다는 점에서 필요 이상으로 복잡하다.

약산식(식 (4))은 쉽고 간편하게 계산할 수 있는 설계 대안을 제시해야 함에도 불구하고, 두 가지의 보 유효깊이, $d$와 $d_{p}$를 사용하여 혼란을 줄 수 있다. 또한 RC 혹은 프리텐션 보/슬래브 등 인장재가 부재 축 방향에 평행하게 배치될 때에는 부재 전체 혹은 구간별로 동일한 값의 유효깊이를 가지게 되어 계산의 복잡성이 크지 않으나, 포스트텐션(PT) 부재는 텐던이 곡선으로 배치되는 경우가 많아 매 단면마다 텐던의 깊이가 다를 수 있다. 텐던 프로파일을 2차곡선 수식으로 가정하여 $d$와 $d_{p}$를 매 단면마다 계산해야 하기 때문에 계산이 복잡해진다.

약산식의 적용조건식(식 (3))은 MacGregor and Hanson (1969)의 그 당시 실험 데이터베이스에 기반하여 경험적으로 얻어진 적용조건식이다. 현행 적용조건식은 전체 인장재의 인장강도와 유효프리스트레스 응력의 비율($A_{ps}f_{pe}$/($A_{s}f_{y}$+$A_{ps}f_{pu}$))을 기준으로 약산식의 적용 가능 여부를 판정하는데, 이는 실제 부재에 가해진 프리스트레스 응력과는 무관한 변수이다. 예컨대, 철근이 아예 없거나 적게 배치된 부재의 경우, 긴장응력을 크게 주기만 하면 실제 프리스트레스 강재량과는 상관없이 위 적용조건식이 만족되게끔 설계되어 있으며, 이러한 부재에 대해서는 전단강도를 과대평가할 우려가 있다.

Collins et al. (1996), Wolf and Frosch (2006), Park et al. (2013), Lee (2021) 등 PSC 전단강도에 관한 이론적 연구들은 PSC 부재의 전단강도와 인장재비($\rho_{w}$)가 양의 상관관계가 있음을 보고하고 있으나, 현재의 적용조건식(식 (3))은 이를 명확하게 반영할 수 있는 형태의 변수도 아니다. 즉, 현재의 적용조건식(식 (3))은 인장재비($\rho_{w}$)의 영향을 함께 고려하기 위한 것이라 보기도 어렵다. 이에, 실제 전단강도와 상관성이 더 높은 변수를 이용하여 약산식 적용조건식이 프리스트레스의 영향을 더 적절하게 고려할 수 있도록 개선될 필요가 있다.

3. 현행 KDS 14 PSC 1방향 전단설계식의 개선 방안

3.1 휨-전단강도($V_{ci}$): 자중 관련 항 삭제 및 통합

Fig. 1에 나타나 있듯이, 휨-전단강도의 $V_{d}$+$V_{i}M_{cre}$/$M_{\max}$ 항은 부재에 휨균열을 유발하는 데에 필요한 전단력을 나타낸다. 자중 관련 항과 외부하중 관련 항이 분리되어 있는 이유는 Sozen et al. (1959)의 실험에서 측정된 전단강도가 부재의 자중을 제외하고 측정된 것이기에, 이를 추가로 고려해주기 위해서 분리되었기 때문이다. 휨-균열 유발 전단력을 계산하기 위해 자중과 외부하중에 의한 전단력을 별개의 요소로 고려하지 않고 식 (5)와 같이 $V_{u}M_{cr}$/$M_{u}$로 산정해도 본질적인 의미는 변하지 않는다. 이 때, $M_{cr}$은 $M_{cre}$와는 달리, 자중을 포함한 전체 하중의 영향에 의한 균열모멘트로 정의될 수 있으며, 식 (5-1)와 같이 현행 KDS 14 20 30 콘크리트구조 사용성 설계기준(KCI 2022b)의 기존 정의와 부합하는 균열모멘트($M_{cr}$)를 대안으로 사용할 수 있다.

(5)
../../Resources/KCI/JKCI.2025.37.2.195/eq5.png
(5-1)
../../Resources/KCI/JKCI.2025.37.2.195/eq5-1.png

Fig. 4는 ACI-DAfStb PSC 보 전단실험 데이터베이스 중 전단철근이 없는 부재(214개), 있는 부재(118개)와 Park et al. (2019)Lee et al. (2020)의 PSC 중공슬래브 전단실험 데이터베이스(145개)로 총 477개 부재에 대한 실험 데이터들을 토대로 계산된 휨-전단강도($V_{ci}$)에서 자중($V_{d}$)이 차지하는 비율을 분석한 것이다. 이는 평균 2 % 정도로 매우 작으며, 현행식의 $V_{d}$+$V_{i}$$M_{cre}$ /$M_{\max}$항과 제안식의 $V_{u}M_{cr}$ /$M_{u}$항의 비율 또한 평균 94% 정도로 거의 차이나지 않는다. 여기서 $V_{u}$와 $M_{u}$는 자중까지 모두 포함한 계수하중에 의한 단면의 전단력과 모멘트이다. ($V_{d}$+$V_{i}$$M_{cre}$ /$M_{\max}$)/($V_{u}M_{cr}$ /$M_{u}$)의 비율은 모든 경우에 대해 1.0 미만의 값을 가지는데, 가장 큰 원인은 현행식의 $M_{cre}$에서는 휨인장강도를 0.50$\lambda$√$f_{ck}$(식 (1-2))로 가정하는 한편, 제안식의 $M_{cr}$은 기준 내 일관성을 위해 휨인장강도를 0.63$\lambda$√$f_{ck}$(식 (5-1)로 가정하는 것에 기인한다. 부재의 인장연단에 프리스트레스가 가하는 압축응력($f_{pcc}$)이 작을수록 $M_{cre}$, $M_{cr}$에서 콘크리트 인장강도가 기여하는 비율이 커질 수밖에 없기에, 상대적으로 작은 프리스트레스가 가해지는 부재들($f_{pcc}$/$f_{ck}$≤0.2)에 대해서는 $V_{d}$+$V_{i}$$M_{cre}$ /$M_{\max}$와 $V_{u}M_{cr}$ /$M_{u}$의 비율이 0.95 이하로 작아지는 경향이 있다.

Fig. 4 Effects of self-weight dead load to flexure-shear strength ($V_{ci}$)

../../Resources/KCI/JKCI.2025.37.2.195/fig4.png

Fig. 5 Effects of concrete tensile strength assumed in cracking moment ($M_{cre}$ or $M_{cr}$)

../../Resources/KCI/JKCI.2025.37.2.195/fig5.png

$M_{cr}$의 인장강도 가정에 따른 전단강도에 대한 영향은 Fig. 5와 같다. 현행 KDS 14 설계식(식 (1))(Fig. 5(a))과 비교하였을 때, 제안식(식 (5))(Fig. 5(b))의 $M_{cr}$ 산정 시 인장강도를 0.50$\lambda$√$f_{ck}$로 가정하면 실험값과 예측값의 비가 현행 식과 비슷한 수준의 평균값(Avg.)과 비보수적 예측률(%$P$>$E$)을 보임을 알 수 있다. 동일한 인장강도(0.50$\lambda$√$f_{ck}$)를 가정하면, 자중과 외부하중이 모두 등분포하중일 경우에는 전단력과 모멘트의 분포 패턴이 동일하므로, $V_{d}$ /$M_{d}$, $V_{i}$ /$M_{\max}$, 그리고 $V_{u}$ /$M_{u}$의 비율이 모두 동일하다. 이에, 식 (6)과 같이 $V_{d}$+Vi$M_{cre}$ /$M_{\max}$와 $V_{u}M_{cr}$ /$M_{u}$는 이론적으로 서로 같아야 한다. 인장강도를 0.50$\lambda$√$f_{ck}$로 가정한 제안식(Fig. 5(b))의 실험값 대 예측값($V_{test}$/$V_{n}$)의 평균이 기존 식에(Fig. 5(a))에 비해 소폭 증가하는 것은 대다수의 실험이 분포하중이 아닌, 1점 혹은 2점 집중하중으로 실험되었기 때문에 자중과 자중 외 외부 작용하중에 의한 전단력과 모멘트도의 모양이 약간 달라져, $V_{d}$ /$M_{d}$, Vi /$M_{\max}$와 $V_{u}$ /$M_{u}$가 완전히 동일하지 않는 것에 기인한다(식 (6)).

(6)
../../Resources/KCI/JKCI.2025.37.2.195/eq6.png

여기서, $M_{d}$: 자중에 의해 단면에 발생하는 휨모멘트이다.

동일 기준 내에서 균열모멘트($M_{cr}$)에 대한 두 가지 정의가 혼재하는 것은 바람직하지 않기에, 기존 KDS 14 20 30에서 제시하는 $M_{cr}$의 정의와 부합하게 인장강도를 0.63$\lambda$√$f_{ck}$로 가정하면 Fig. 5(c)와 같이 현행 설계식에 비해 비보수적 예측률이 7.1 %에서 8.8 %로 소폭 상승하며, 실험값 대 예측값 비율의 평균이 1.535에서 1.481로 소폭 감소하나, 오히려 변동계수는 31.9 %에서 31.0 %로 줄어듦을 알 수 있다. 하지만, 통계적으로 유의미한 수준의 차이는 아니므로, 제안식(식 (5))은 현행 설계식(식 (1))의 계산 복잡성을 완화하며 정확도와 보수성을 희생하지 않는 대안이 될 수 있다.

3.2 약산식($V_{c}$) 적용조건식: 프리스트레스 영향 변수 현실화

Fig. 6(a)에는 현행 약산식 적용조건식(식 (3))에서 고려하고 있는 변수 $A_{ps}f_{pe}$/($A_{s}f_{y}$+$A_{ps}f_{pu}$)와 전단강도의 예측값대비 실험 측정값의 비율($V_{test}$ /$V_{c}$)과의 상관관계를 나타내었다. 해당 변수는 전단강도와 양의 상관관계를 가지긴 하나, 결정계수가 $R^{2}$=0.08 정도로 상관성이 비교적 약한 편이다. $A_{ps}f_{pe}$ /($A_{s}f_{y}$+$A_{ps}f_{pu}$)≥0.4인 부재에 대해서도 비보수적 예측 케이스가 상당수 존재하며, 심지어 0.7 정도인 부재에서도 비보수적 예측 케이스가 있음을 확인할 수 있다.

이에, 적용조건식으로 실제 부재의 전단 저항면에 가해지는 프리스트레스를 직접적으로 고려할 수 있는 변수인 $f_{pc}$를 사용하는 것이 합리적일 것으로 판단된다. 여기서, $f_{pc}$는 작용하중을 저항하는 단면의 중심에 가해지는 유효 프리스트레스에 의한 압축응력이나($f_{pc}$=$A_{ps}f_{pe}$/$A_{g}$), 단면의 중심이 플랜지 내에 위치할 경우에는 복부와 플랜지의 교차점에서 압축응력으로 계산할 수 있다. 휨-전단균열($V_{ci}$)과 복부전단균열($V_{cw}$)의 발생은 모두 가해지는 프리스트레스 응력($f_{pc}$)과 직접적으로 상관관계가 있다. Fig. 6(b)은 전단강도와 $f_{pc}$의 상관관계를 나타낸다. 결정계수가 $R^{2}$=0.13 정도로 기존 변수보다 상관성이 높으며, $f_{pc}$≥6.0 MPa 정도의 범위에서는 비보수적 예측 케이스가 없음을 확인할 수 있다.

Fig. 6 Correlation between shear strength and limit condition parameters ($A_{ps}f_{pe}$/($A_{s}f_{y}$+$A_{ps}f_{pu}$) or $f_{pc}$)

../../Resources/KCI/JKCI.2025.37.2.195/fig6.png

Fig. 7 Need for alternative applicable range for flanged members

../../Resources/KCI/JKCI.2025.37.2.195/fig7.png

Lee et al. (2023)은 실험 데이터베이스에 기반한 통계적 분석을 통해, 현행 적용조건식(식 (3))과 약산식(식 (4))의 조합과 비슷한 수준의 예측 정확도와 보수성을 보일 수 있는 최적의 적용조건식을 $f_{pc}$≥3.6 MPa로 제안하였다. $f_{pc}$의 하한을 3.6 MPa보다 낮추게 되면 약산식을 적용할 수 있는 시편의 개수가 많아져 식 (3)의 범용성이 더욱 개선되지만, 비안전측의 예측률(%$P$<$E$)이 높아져 설계의 안전성을 보장하기 어렵다. 반대로 하한을 3.6 MPa보다 높이게 되면, 식의 보수성이 개선되나 범용성이 떨어져 실무에서 쓰이기 어렵게 된다.

다만, 이는 단면의 형상에 따라 다르게 논의될 필요가 있다. 식 (4)에서 전단강도는 단면의 플랜지 너비와는 상관없이 복부 너비에만 의존하도록 되어있다. $f_{pc}$에 기반한 적용조건은 T-/I-자형 단면, 중공슬래브와 같이 복부에 비해 플랜지가 넓은 단면의 전단강도를 과소평가할 우려가 있다. 이러한 단면은 추가되는 플랜지 면적의 기여가 전단강도에 반영되지 않음에 반해, $f_{pc}$ 산정시에는 플랜지 면적이 포함되기 때문에 $f_{pc}$는 낮게 평가된다. 예컨대, T자형 단면을 가지는 보-슬래브 시스템은 동일한 복부 두께($b_{w}$)와 깊이($h$)를 갖는 직사각형 보보다 넓은 콘크리트 단면적을 가지므로 더 큰 전단강도를 보일 수 있으나, $f_{pc}$는 낮게 산정되어 약산식을 적용하지 못할 수 있다. 이는 제안된 $f_{pc}$에 기반한 적용조건식이 플랜지 부재에 불리하게 작용할 수 있음을 시사한다.

실제로, Fig. 7은 식 (4)가 직사각형 단면($A_{g}$/$b_{w}h$=1)과는 달리, 플랜지 부재($A_{g}$/$b_{w}h$>1)들에 대해서는 낮은 프리스트레스 압축응력을 가져도 전단강도를 보수적으로 예측함을 보여준다. 플랜지 부재 응력 상태의 적절한 지표로서, 복부에 작용하는 프리스트레스 응력을 $f_{pc,\: w}$=$A_{ps}f_{pe}$/$b_{w}h$로 정의하면 이는 플랜지 부재에 적합한 적용조건식 변수가 될 수 있다. 이 때, $b_{w}$는 단면의 가장 작은 복부 폭, $A_{ps}$는 인장영역만이 아닌 전체 단면 내 긴장재의 면적, h는 프리스트레스가 가해진 단면만의 깊이로 산정해야 한다. 직사각형 단면에서는 복부 면적(=$b_{w}h$)과 전체 단면적(=$bh$)이 같으므로, $f_{pc,\: w}$는 $f_{pc}$와 같게 된다. Lee et al. (2023)의 통계적 검증에 따르면, $f_{pc,\: w}$≥2.4 MPa 정도의 적용조건이 기존 약산식(식 (3)(4))과 비교하여 안전성/보수성이 확보될 수 있는 적용 조건이다. 이에, 약산식의 적용조건식을 식 (7)과 같이 제안하는 것이 합리적이다.

(7)
../../Resources/KCI/JKCI.2025.37.2.195/eq7.png

여기서, $f_{pc,\: w}$: 부재의 복부에 작용하는 평균 프리스트레스 압축응력(=$A_{ps}f_{pe}$ /$b_{w}h$)(MPa)으로, 이 때 $b_{w}$는 단면의 가장 작은 복부 폭, $A_{ps}$는 인장영역만이 아닌 전체 단면 내 긴장재의 면적, $h$는 프리스트레스가 가해진 단면만의 깊이로 산정한다. 예를 들어, PSC 프리캐스트 보의 경우 현장타설 부분은 $f_{pc,\: w}$를 계산하는데 쓰이는 $h$에 포함되지 않는다.

3.3 약산식($V_{c}$): 단순화된 보 유효깊이($d_{v}$) 제안

인장재 아래에 위치한 콘크리트의 전단기여는 미미하며, 텐던과 인장철근의 위치에 따라 유효 전단저항면적이 달라지므로, 상세식($V_{ci}$와 $V_{cw}$)에서 정확한 유효깊이($d$ or $d_{p}$)를 고려하는 것은 합리적이다. 반면, 예측 정확도를 약간 희생하더라도 기호 정의의 일관성과 계산의 간편함을 확보하여 실무적용성을 높이는 것이 약산식의 취지에 부합한다.

이에, 약산식에 적용할 수 있는 통일된 약산 유효깊이 $d_{v}$를 식 (8)과 같이 제안하였다: $d_{v}$는 현행 KDS 14와 ACI 318-19가 적용하는 전단에 대한 유효춤 깊이($d$와 $d_{p}$)의 하한인 0.8$h$를 기본적으로 적용하되, 경제적 설계를 위하여 설계자가 원할 경우에는 $d_{p}$로 산정하는 것을 허용한다. 이 때, $d_{p}$가 0.8$h$보다 작게 산정될 필요는 없다.

(8)
../../Resources/KCI/JKCI.2025.37.2.195/eq8.png

여기서, $d_{v}$: 부재의 약산 유효깊이(mm) 이다. 이와 3.2절에서 논의한 약산식 적용조건식(식 (7))을 함께 표현하면 식 (9)으로 약산식 개선안을 제안할 수 있다.

(9)
../../Resources/KCI/JKCI.2025.37.2.195/eq9.png
(9-1)
../../Resources/KCI/JKCI.2025.37.2.195/eq9-1.png
(9-2)
../../Resources/KCI/JKCI.2025.37.2.195/eq9-2.png

$d_{v}$=0.8$h$로 산정하게 되면, 부재의 모든 단면에 대해 동일한 유효깊이를 사용할 수 있으므로, 매 단면마다 $d$, $d_{p}$를 반복 계산하는 수고를 줄여줄 수 있다. 이는 특히 포스트텐션 부재의 설계에서 계산량을 크게 감소시켜줄 수 있다. 현행 기준의 $d$와 $d_{p}$ 하한선에 해당하는 유효깊이를 적용하는 것이므로, 현행 약산식(식 (4))보다 항상 보수적이게 된다.

쉽고 안전율이 높은 설계를 추구하는 경우에는 $d_{v}$=0.8$h$를 사용해도 문제가 없지만, 프리텐션 부재와 같이 텐던이 깊게 배근(i.e., $d_{p}$>0.8$h$)되는 경우에는 다소 보수적일 수 있다. 특히, 프리캐스트 중공슬래브(Hollow core-slab)는 철근없이 텐던만 직선으로 배치되므로 쉽고 경제적 설계를 위해 $d_{v}$=$d_{p}$(≥0.8$h$)를 사용할 수 있을 것이다. $d_{v}$=$d_{p}$(≥0.8$h$)로 산정할 때, 일반적으로 프리스트레싱 텐던은 프리텐션 또는 포스트텐션 부재 내에서 인장철근보다 위에 있도록 설계되는 경우가 많으므로, 제안식(식 (9))은 현행 KDS 14 약산식(식 (4))에 비해 대부분의 경우에 보수적이다.

Fig. 8은 $d_{p}$에 0.8$h$ 하한이 적용되지 않은 ACI 318-19 약산식(Fig. 8(a)), $d_{p}$에 0.8$h$ 하한이 적용되는 현행 KDS 14 약산식(Fig. 8(b)), 그리고 $d_{v}$=0.8$h$를 적용한 제안 약산식(Fig. 8(c))를 비교한 것으로, 실제로 제안 약산식은 현행 KDS 14 약산식에 비해 보수적인 설계를 제공함을 확인할 수 있다.

Fig. 8 Conservatism of approximate beam depth ($d_{v}$=0.8$h$ or $d_{p}$(≥0.8$h$))

../../Resources/KCI/JKCI.2025.37.2.195/fig8.png

3.4 인장재비(ρw) 영향에 대한 추가 논의

콘크리트 부재의 전단강도는 인장철근비와 양의 상관관계가 있다는 기존 이론/실험적 근거들에 기반하여, ACI 318-19 RC 1방향 전단설계식에는 주인장철근비 계수 4$\rho_{w}^{1/3}$이 신규 도입되었다(Kuchma et al. 2019). 기존의 PSC 부재의 전단강도 이론들 또한 전단강도($V_{c}$)는 철근과 텐던을 모두 포함한 인장재비와 양의 상관관계가 있음을 설명하기에, 선행연구(Kang et al. 2021; Ju et al. 2023)에서는 현행 ACI 318-19 PSC 1방향 전단설계식에도 인장재비 계수 $K$=4$\rho_{w}^{1/3}$ (≥ 1.0)을 각각 휨-전단강도($V_{ci}$)와 복부전단강도($V_{cw}$)에 적용하는 안을 제안하였다(식 (10)(11)).

(10)
../../Resources/KCI/JKCI.2025.37.2.195/eq10.png
(11)
../../Resources/KCI/JKCI.2025.37.2.195/eq11.png

여기서, $K$: 인장재비 계수(=4$\rho_{w}^{1/3}$≥1.0)이고, $\rho_{w}$: 인장재비(=($A_{s}$+$A_{ps}$)/$b_{w}d$) 이다.

다만, 후술할 이유로 PSC 부재에 대해서는 인장재비의 영향을 설계식에 반영할 근거는 아직 미비하다고 판단된다. Fig. 9는 인장재비($\rho_{w}$=($A_{ps}$+$A_{s}$)/$b_{w}d$)에 따른 상세식에 의해 예측된 전단강도 대비 실험 측정값 비율($V_{test}$/$V_{n}$)의 경향성을 나타낸다. 데이터베이스 477개 시편 중 317개(66.5%)가 $K$=1.0($\rho_{w}$<1.56 %)여서, 인장재비 계수($K$) 도입에 따른 영향을 받는 시편이 많지 않다. 이의 영향을 받는 $\rho_{w}$≥1.56 %인 시편들에 대해서만 조사하면, $K$가 적용될 경우(식 (10)(11))(Fig. 9(a)) 변동계수(CoV)가 소폭 감소하지만 유의미한 정확도 개선은 없음을 확인할 수 있다. 오히려, $K$를 배제하고 인장재비의 영향을 고려하지 않았을 때(식 (5)(2))(Fig. 9(b)), 비보수적 예측률(%$P$>$E$) 측면에서 더 나은 결과를 보였다.

이는 기존 선행연구의 제안(식 (10))(Kang et al. 2021; Ju et al. 2023)에서는 휨균열에서 전단균열로 진전하는데에 필요한 부가전단력(0.05$\lambda K$√$f_{ck}b_{w}d_{p}$) 항에만 $K$ 계수가 적용되는 형태였음에 반해, 실제로는 Fig. 9(c)와 같이 부가전단력이 전체 휨-전단강도($V_{ci}$)에서 차지하는 비중은 평균 14 % 정도로 매우 낮아 부가전단력 항에만 $K$를 적용하는 것은 전단강도 산정에 미치는 영향이 미미하기 때문이다. 또한, 휨-전단강도식의 철학을 고려하면, $V_{u}M_{cr}$/$M_{u}$항은 부재에 휨균열을 유발하기 위해 필요한 전단력을 의미하므로 인장재비의 영향을 받지 않는 성분이다. 즉, VuMcr/Mu항에 $K$를 적용하는 것은 물리적인 의미가 없다. 마찬가지의 이유로, 복부전단강도($V_{cw}$) 또한 휨균열이 없는 탄성상태의 단면 복부에 작용하는 주응력을 기반으로 산정된 것이어서, 인장재비의 영향을 고려하는 것은 물리적으로 적절하지 못하다.

PSC 부재의 전단강도에 인장재비가 미치는 영향에 대한 실험적 근거도 부족한 상황이며, PSC 1방향 전단설계에 대한 설계철학 자체를 바꾸지 않는 한 현재의 설계철학에서 인장재비의 영향을 적절히 고려하기는 어려운 상황이다. 이에, 인장재비의 영향에 대해 충분한 검증이 이루어지기 전까지는 KDS 14 개정안에 이의 영향은 반영하지 않는 것이 합리적이라 판단된다.

Fig. 9 Effects of longitudinal tensile reinforcement ratio (ρw)

../../Resources/KCI/JKCI.2025.37.2.195/fig9.png

4. 제안식 검증

3장에서 논의한 PSC 1방향 전단설계식의 개선방향을 토대로, KDS 14 20 22 4.2.2(3) 상세식과 4.2.2(2) 약산식에 대한 개정안을 Table 1과 같이 제안하였다. 현행 설계식과 개정안에 대한 전단강도의 예측 정확도 및 보수성은 Fig. 5(상세식), Fig. 6(약산식)에 각각 비교하였다. 현행 KDS 14 상세식과 제안 상세식의 실험값 대 예측값의 비($V_{test}$/$V_{n}$)의 평균(비보수적 예측률)은 각각 1.516(7.1 %)와 1.481(8.8 %)이며, 현행 약산식과 $d_{v}$=0.8$h$를 가정한 제안 약산식의 경우, 각각 1.586(9.1 %)와 1.702(3.8 %)이다. 3장에서 언급한 개정사항을 반영할지라도 기존의 핵심 설계철학이 바뀌는 것은 아니기에, 예측 정확도와 보수성 측면에서 큰 차이가 나지 않는다. 이에, 개정안은 현행 설계법의 설계철학은 그대로 고수하면서 내재된 복잡성과 비일관성은 개선할 수 있는 방향일 것으로 판단된다.

Table 1 Comparison of current provision and proposed modification

../../Resources/KCI/JKCI.2025.37.2.195/tb1.png

5. 결 론

현행 KDS 14 20 22: 2022의 프리스트레스트 콘크리트 1방향 부재의 콘크리트 전단강도($V_{c}$) 설계식의 기본 설계철학을 유지하며 일부 비합리성을 개선할 수 있는 개선안(Table 1)을 차기 KDS 14 20 22: 2027 개정안으로서 제안하였다. 주요 내용은 다음과 같다:

1) 휨-전단강도($V_{ci}$)(4.2.2(3)절 식 4.2-8, 4.2-9)에서 자중 관련 항($V_{d}$, $f_{d}$)과 외부하중 관련 항($V_{i}$, $M_{\max}$ 등)을 별도로 고려하는 것은 필요 이상으로 계산을 복잡하게 만들며, 예측 정확도 측면에서 이득을 주지도 않는다. 이에, 자중 관련 항을 삭제하고 이를 외부하중 관련 항과 통합하는 것이 더 합리적이며, $V_{d}$+$V_{i}M_{cre}$/$M_{\max}$를 $V_{u}M_{cr}$/$M_{u}$로 개정하는 안을 제안한다.

2) 현행 약산식(4.2.2(2)절)은 약산식 적용조건식을 $A_{ps}f_{pe}$/ ($A_{s}f_{y}$+$A_{ps}f_{pu}$)≥0.4로 제시하고 있으나, 이는 실제 PSC 부재의 전단강도와는 상관성이 떨어진다. 이에, 실제 부재의 프리스트레스 압축응력 수준을 반영하는 $f_{pc}$ 또는 $f_{pc,\: w}$와 전단강도 사이의 상관관계 분석을 통해 직사각형 단면 부재에 대해서는 $f_{pc}$≥3.6 MPa, 플랜지보다 얇은 복부를 가지는 부재에 대해서는 $f_{pc,\: w}$≥2.4 MPa이면 약산식의 보수성을 확보할 수 있음을 검증하였으며, 이를 새로운 적용조건식으로 제안하였다.

3) 현행 약산식(4.2.2(2)절)에서 사용되는 두 종류의 부재 유효깊이, $d$와 $d_{p}$를 하나로 통일하고, PSC 부재의 부재 단면마다 변하는 텐던 프로파일($d_{p}$)에 의한 계산 복잡성을 최소화하고자, 약산 유효깊이 $d_{v}$=0.8$h$ or $d_{p}$(≥0.8$h$)를 새로 제안하였다. 약산 유효깊이($d_{v}$) 적용은 현행 KDS 약산식 보다는 보수적이지만, 간단하여 실무 적용성을 높여줄 것으로 기대된다.

4) PSC 부재의 인장재비(ρw)와 전단강도($V_{c}$) 사이의 상관성에 대해서는 아직 충분한 검증이 이루어지지 않은 바, 더 많은 실험적 연구와 이론적 연구가 수행된 이후에 재논의되는 것이 바람직하다고 판단된다.

감사의 글

본 연구를 위한 프리스트레스트콘크리트 위원회, 전단-비틀림 위원회 위원님들의 토론과 의견에 감사드리며, 실무영향평가에 참여해주신 다올이앤씨, 코비코리아, 연우건축구조기술사사무소에 감사드립니다. 본 연구는 과학기술정보통신부의 재원으로 한국연구재단(NRF-2021R1A5A1032433)의 지원을 받아 수행되었습니다. 이에 감사드립니다.

References

1 
AASHTO (2017) AASHTO LRFD Bridge Design Specifications, 8th edition. Washington, DC; American Association of State Highway and Transportation Officials (AASHTO).URL
2 
ACI Committee 318 (2019) Building Code Requirements for Structural Concrete (ACI 318-19). Farmington Hills, MI; American Concrete Institute (ACI).URL
3 
ACI Committee 318 (2063) Building Code Requirements for Structural Concrete (ACI 318-633). Farmington Hills, MI; American Concrete Institute (ACI).URL
4 
ACI Committee 318 (2069) Building Code Requirements for Structural Concrete (ACI 318-69). Farmington Hills, MI; American Concrete Institute (ACI).URL
5 
CEN (2004) Eurocode 2: Design of Concrete Structures - Part 1-1: General Rules and Rules for Buildings (EN. 1992-1-1: 2004). London, UK; European Committee for Standardization (CEN), British Standards Institute (BSI).URL
6 
Collins, M. P., Mitchell, D., Adebar, P., and Vecchio, F. J. (1996) A General Shear Design Method. ACI Structural Journal 93(1), 36-45.URL
7 
Dunkelberg, D., Sneed, L. H., Zilch, K., and Reineck, K.-H. (2018) The 2015 ACI-DAfStb Database of Shear Tests on Slender Prestressed Concrete Beams without Stirrups—Overview and Evaluation of Current Design Approaches. Structural Concrete 19(6), 1740-1759.DOI
8 
Hong, S.-G., Kim, W., and Lee, J.-Y. (2007) Shear and Torsional Moment with Strut-and-Tie Models. Journal of the Korea Concrete Institute 19(4), 32-36. (In Korean)DOI
9 
Ju, H., Yerzhanov, M., Lee, D., Shin, H., and Kang, T. H.-K. (2023) Modifications to ACI 318 Shear Design Method for Prestressed Concrete Members: Detailed Method. PCI Journal 68(1), 60-85.URL
10 
Kang, T. H.-K., LaFave, J. M., Robertson, I. N., and Hawkins, N. M. (2007) Post-Tensioned Slab-Column Connections. Concrete International 29(4), 70-77.URL
11 
Kang, T., Lee, D., Yerzhanov, M., and Ju, H. (2021) ACI 318 Shear Design Method for Prestressed Concrete Members. Concrete International 43(10), 42-50.URL
12 
KCI (2022a) Shear and Torsion (KDS 14 20 22). Sejong, Korea: Ministry of Land, Infrastructure and Transport (MOLIT), Korea Concrete Institute (KCI). (In Korean)URL
13 
KCI (2022b) Structural Concrete Design Standard for Serviceability (KDS 14 20 40). Sejong, Korea: Ministry of Land, Infrastructure and Transport (MOLIT), Korea Concrete Institute (KCI). (In Korean)URL
14 
Kim, C.-G., Park, H.-G., Hong, G.-H., Kang, S.-M., and Suh, J.-I. (2014) Shear Strength of Prestressed PC-CIP Composite Beams without Vertical Shear Reinforcements. Journal of the Korea Concrete Institute 26(4), 533-543. (In Korean)DOI
15 
Kim, S.-W., Jeong, C.-Y., Jung, C.-K., and Kim, K.-H. (2012) Shear Behavior of Reinforced Concrete Beams according to Replacement Ratio of Recycled Coarse Aggregate. Journal of the Korea Concrete Institute 24(2), 157-164. (In Korean)DOI
16 
Kuchma, D. A., Wei, S., Sanders, D. H., Belarbi, A., and Novak, L. C. (2019) Development of the One-Way Shear Design Provisions of ACI 318-19 for Reinforced Concrete. ACI Structural Journal 116(4), 285-295.URL
17 
Lee, D., Han, S. J., Ju, H., and Kim, K. S. (2021) Shear Strength of Prestressed Concrete Beams Considering Bond Mechanism in Reinforcement. ACI Structural Journal 18(1), 267-277.DOI
18 
Lee, D., Park, M. K., Joo, H. E., Han, S. J., and Kim, K. S. (2020) Strengths of Thick Prestressed Precast Hollow-Core Slab Members Strengthened in Shear. ACI Structural Journal 117(2), 129-139.URL
19 
Lee, D., Shin, H., Yerzhanov, M., Ju, H., and Kang, T. H.-K. (2023) Modification of Approximate Method of ACI 318 Prestressed Concrete Shear Provision. ACI Structural Journal 120(3), 131-144.DOI
20 
Lee, J.-H. (2021) Prestressed Concrete. Paju, Korea: Dongmyung. (In Korean)URL
21 
Lee, J.-Y. (2022) Shear and Torsion. Paju, Korea: Donghwa. (In Korean)URL
22 
MacGregor, J., and Hanson, J. (1969) Proposed Changes in Shear Provisions for Reinforced and Prestressed Concrete Beams. Journal of the American Concrete Institute 66(4), 276-288.DOI
23 
MOLIT (2021) Korean Concrete Bridge Design Code (Limit State Design) (KDS 24 14 21:2021). Sejong, Korea: Ministry of Land, Infrastructure and Transport (MOLIT). (In Korean)URL
24 
Oh, B.-H., Han, S. H., Lee, H. J., Kim, J. S., and Shin, H. S. (1998) Shear Damage Behavior of Reinforced Concrete Beams under Fatigue Loads. Journal of the Korea Concrete Institute 10(1), 143-151. (In Korean)URL
25 
Park, H. G., Kang, S., and Choi, K. K. (2013) Analytical Model for Shear Strength of Ordinary and Prestressed Concrete Beams. Engineering Structures 46, 94-103.DOI
26 
Park, M. K., Lee, D., Han, S. J., and Kim, K. S. (2019) Web-Shear Capacity of Thick Precast Prestressed Hollow-Core Slab Units Produced by Extrusion Method. International Journal of Concrete Structures and Materials 13(7), 1-14.DOI
27 
PTI (2023) Post-tensioning Manual, 7th Edition. Farmington Hills, MI: Post-Tensioning Institute (PTI).URL
28 
Sozen, M. A., Zwoyer, E. M., and Siess, C. P. (1959) Investigation of Prestressed Concrete for Highway Bridges: Part 1, Strength in Shear of Beams without Web Reinforcement. Champaign, IL: University of Illinois at Urbana-Champaign.URL
29 
Wolf, T. S., and Frosch, R. J. (2007) Shear Design of Prestressed Concrete: A Unified Approach. Journal of Structural Engineering 133(11), 1512-1519.DOI