김문길
(Mun-Gil Kim)
1
천성철
(Sung-Chul Chun)
2
김영호
(Young Ho Kim)
3†
-
인천대학교 건축학과 대학원생
(Graduate Student, Department of Architectural Engineering, Incheon National University,
Incheon 22012, Rep. of Korea)
-
인천대학교 도시건축학부 교수
(Professor, Division of Architecture and Urban design, Incheon National University,
Incheon 22012, Rep. of Korea)
-
(주)엔테이지 대표
(President, N.TAGE Co. Ltd., Seoul 06131, Rep. of Korea)
Copyright © Korea Concrete Institute(KCI)
키워드
합성구조, 부분PC, 시공하중, 사용성
Key words
composite structure, half PC, construction load, serviceability
1. 서 론
공동주택 지하주차장은 넓은 면적을 동일한 용도로 사용하므로, 같은 구조시스템이 반복적으로 사용된다. 또한 지하층 공사를 빨리 진행하면, 여러 동의
상부 구조는 동시 건설이 가능하기 때문에, 지하층 공사기간이 전체 사업성에 매우 큰 영향을 미친다. 그래서 최근 건축구조물에 시공성과 경제성을 고려한
복합구조시스템의 수요와 개발이 증가하고 있다(Kim et al. 2017; Lee et al. 2017; Oh et al. 2018a, 2018b).
이 연구에서는 공동주택 지하주차장을 주 적용부위로, 빠른 공사 진행을 위해 바닥거푸집과 동바리를 제거한 Fig. 1의 합성바닥구조를 개발하였다. 기존 트러스 매립 부분 PC(Half PC) 구조는 철근 트러스 상현재인 D10 또는 D13 철근을 압축저항요소로 사용하기
때문에, 시공하중 단계에서 압축저항요소 단면이 작아서 휨강도가 낮고 설계휨강도 발현 전에 좌굴되는 문제점이 있었다. 따라서 부분 PC 슬래브의 경간이
약 3 m 정도로 적용에 제약이 많았다. 이를 보완하기 위하여 경량 C형강(KATS 2016b)을 상부가 개방되게 눕힌 U형 단면에 콘크리트를 사전
타설하여 압축저항요소로 사용하고, U형 강재 측면에 카이저 트러스 철근을 부착하여 하부 부분 PC와 일체화한 Fig. 1의 합성바닥구조(truss encased slab)를 개발하였다. 철근콘크리트 구조의 부분 PC를 이용함으로써, 슬래브 거푸집과 동바리를 절감하여
H형강 합성 바닥판 대비 공사비를 절감할 수 있다. 부분 PC에 배치된 철근이 시공하중상태에서의 인장력에 대해 저항하고, 상부 압축력을 U형 단면에
타설된 채움 콘크리트가 저항한다. 상부 토핑 콘크리트(topping concrete) 경화 후, 신구 콘크리트가 트러스 철근의 전단마찰력과 계면전단에
의해 일체 거동하여 영구하중에 저항한다. 이 연구에서는 개발된 합성바닥구조의 시공단계의 성능을 평가하기 위하여 휨 실험을 수행하여 목표 하중에 대한
강도와 사용성을 평가하였다.
Fig. 1 Compression Truss encased slab
2. 합성바닥구조 개요
개발된 합성바닥구조의 구성요소별 역할을 정리하고, 현행 기준을 검토하여 설계법을 정립하였다.
2.1 합성바닥구조 구성요소와 역할
개발된 합성바닥구조는 Fig. 1과 같이 부분 PC, 인장철근, 트러스 철근, U형 단면과 채움 콘크리트로 구성된다. 시공하중 상태에서 슬래브 형태의 부분 PC와 인장철근은 인장력에
저항하고, U형 단면과 채움 콘크리트는 상부압축력에 저항한다. 트러스 철근은 U형 단면 강재 측면에 용접되어 U형 단면 강재의 위치를 고정하며, 상부
토핑 콘크리트 경화 후에는 전단마찰력에 의해 신구 콘크리트가 일체 거동할 수 있는 역할을 갖는다.
2.2 시공하중상태 설계법
시공하중에 대한 설계는 건축구조기준(AIK 2016)에 명시되어 있지 않으며, 거푸집과 동바리 등의 가설재는 2016년 고시된 가설공사표준시방서(MOLIT
2016)에 시공하중이 명시되어 있으며 통상 허용응력설계법에 따른다. 시공하중에 대해서는 Eurocode4 6.2(CEN 2004)에 명시된 휨강도와
전단강도를 설계하고, 카이저트러스를 사용한 복합구조시스템의 특성으로 트러스 경사재의 좌굴을 추가로 검토한다.
2.2.1 휨 강도 설계
시공 중 설계목표를 부분 PC의 균열 미발생으로 설정하여, 인장력이 작용하는 부분 PC의 휨인장강도와 사용하중에서 작용하는 인장응력을 비교하여 검토한다.
허용응력설계를 위하여 탄성중립축에 근거한 단면계수를 산정한다. 탄성중립축은 식(1)로 산정할 수 있다. 여기서 산정값을 보수적으로 평가하고, 산정식의 단순화를 위하여 인장철근과 U형 단면의 단면적은 무시한다. 탄성중립축에서의 단면2차모멘트는
식(2)로 산정한다. 단면2차모멘트를 탄성중립축부터 연단거리까지 거리로 나눠서 단면계수를 식(3)으로 산정한다. 시공하중에 의해 유발된 정모멘트 $M^{+}$를 단면계수로 나눠 연단에 작용하는 인장응력과 압축응력을 산정한다. 설계목표에 따라 허용응력이
결정되는데, 이 연구에서는 시공하중에 의한 균열 발생을 억제하기 위하여 허용인장응력을 휨인장강도(rupture modulus, $f_{r}$)로 설정하였으며,
허용압축응력은 설계기준압축강도의 40 %로 설정하였다. 이러한 기준으로 식(4)를 통해 최종 검토를 완료한다.
2.2.2 전단 강도 설계
개발된 합성바닥구조는 부분 PC가 주 부재로 철근콘크리트 부재의 전단강도평가식 식(5)로 평가한다. 여기서 산정값의 보수적인 평가와 산정식의 단순화를 위하여 U형 단면 채움 콘크리트의 기여도는 무시한다.
2.2.3 트러스 좌굴강도 설계
Fig. 2 Compressive force acting on Kaiser Truss
Fig. 2와 같이 시공 하중 상태에서 압축력을 받는 양측면 경사 트러스 철근의 좌굴 강도를 검토한다. 부재에 작용하는 설계 전단력을 통해 트러스 철근에 작용하는
압축력을 구하여 트러스 철근의 좌굴 강도와 비교한다. 유효좌굴길이 $KL$과 단면2차반경 $r$을 이용하여 세장비를 산정한 후 탄성좌굴강도 $F_{e}$를
식(6)으로 산정한다. 트러스 철근의 상부는 용접되어 있기 때문에 고정단, 하부는 PC에 매립되어 있지만, 콘크리트의 타설 상태 불량이나 균열의 발생으로
인한 트러스 철근의 회전 가능성에 의해서 힌지로 가정한다. 따라서 카이저트러스 경사재 길이 중 부분 PC 밖으로 노출된 부분을 전체 길이로 한다.
이를 근거로 건축구조기준(AIK 2016)에 명시된 재료강도에 따른 좌굴 강도 $F_{cr}$를 식(7)에 따라 산정한다.
여기서, $E_{s}$와 $f_{y}$는 각각 트러스 철근의 탄성계수와 설계기준 항복강도이다.
3. 실험계획 및 실험체 제작
3.1 설계 목표 하중
가설공사표준시방서((MOLIT 2016)를 참고하여 실험체 설계에 필요한 시공 하중을 Table 1과 같이 정리하였다. 부분 PC와 토핑 슬래브(topping slab)의 자중은 보통 콘크리트 24 kN/m3을 적용하였고, 충격하중은 토핑 슬래브
자중의 20 %로 설정하였다. 작업하중은 작업원, 경량장비하중 및 기타 콘크리트 타설에 필요한 자재 및 공구 하중을 포함한다.
Table 1 Definition of construction load
|
Load type
|
Load
|
|
Self weight of half PC
|
2.1 kN/$m^2$
|
|
Self weight of topping slab
|
4.4 kN/$m^2$
|
|
Impact load
|
0.9 kN/$m^2$
|
|
Construction load
|
1.5 kN/$m^2$
|
|
Service load per member
|
2.7 kN/Bm
|
B is a width of half PC
Table 2 Test matrix
|
Specimens$^{1)}$
|
Width of
U-shape
(mm)
|
$f_{ck}$
(MPa)
|
Width of
Half PC
(mm)
|
Tension
re-bar$^{2)}$
|
|
C90-F30-300
|
90
|
30
|
300
|
4D10
|
|
C90-F40-300
|
90
|
40
|
300
|
4D10
|
|
C140-F30-300
|
140
|
30
|
300
|
4D10
|
|
C140-F40-300
|
140
|
40
|
300
|
4D10
|
|
C140-F30-500
|
140
|
30
|
500
|
4D10+2D13
|
|
C140-F40-500
|
140
|
40
|
500
|
4D10+2D13
|
1)C①-F②-③: ① is width of U-shape steel; ② is compressive strength; ③ is width of half
PC
2)④D⑤: ④ is number of tension reinforcements; ⑤ is diameter of tension reinforcement
3.2 실험 변수
개발된 설계법을 바탕으로 설계 강도에 큰 영향을 미치는 인자들을 실험변수로 설정하였다. 실험변수는 U형 단면의 폭, 부분 PC의 폭, 부분 PC 콘크리트강도로
선정하였다. Table 2에 실험체별 실험 변수를 정리하였다. U형 단면의 폭은 채움 콘크리트가 충분한 압축력을 받을 수 있도록 90 mm와 140 mm로 하였다. 부분 PC의
폭은 시공 시 양중 무게를 고려하여 300 mm와 500 mm 2가지로 하였다. 부분 PC 콘크리트강도는 시공하중 단계에서 사용성에 큰 영향을 주므로
일반적인 슬래브 콘크리트보다 높은 강도를 사용한다. 이 연구에서는 30 MPa, 40 MPa 2가지를 사용하였다. U형 단면 채움 콘크리트강도는 시공성을
위해 실험체별 부분 PC 콘크리트강도와 동일하다.
3.3 실험체 설계
실험 변수를 바탕으로 Fig. 3과 같이 실험체를 설계하였다. 부분 PC 높이가 증가하면, 처짐과 트러스 좌굴, 압축응력에는 유리하지만, 중립축에서 인장연단까지의 거리가 증가하여
인장응력이 높아져 균열모멘트강도가 낮아진다. 부분 PC의 최적 높이는 식(1)~(7)을 통해 시공하중상태에서의 인장응력, 압축응력, 트러스 좌굴과 처짐 조건을 만족하도록 결정되었다.
Fig. 3 Detail of specimens (unit: mm)
Fig. 5 Construction of specimens
3.4 가력 계획
휨 실험체 및 가력 장치의 설치를 Fig. 4에 나타내었다. 만능시험기(universal testing machine; UTM) 바닥판에 고정된 지점 위에 실험체를 설치하였다. 실험체 위에 2점
가력 철물을 설치한 후 만능시험기를 이용하여 가력을 실시하였다. 휨 균열폭 측정을 위하여 실험체 중앙 바닥면에 파이형 변위계(PI gauge)를 설치하였고,
처짐 측정을 위하여 실험체 중앙부 좌・우측에 1개씩 총 2개의 변위계(LVDT)를 설치하였다. 트러스 철근의 좌굴을 측정하기 위하여 실험체 단부와
중앙부에 일정한 간격을 두고 총 4개의 변위계를 설치하였다. 또한, 하중에 따른 철근 변형률을 계측하기 위하여 부분 PC 중앙부와 측면부의 주철근에
각 2개씩, C형강과 채움 콘크리트의 미끄러짐을 평가하기 위하여 중앙부에 각 2개씩의 변형률 게이지(strain gauge)를 부착하였다.
3.5 실험체 제작
타설 전 C형강에 트러스 철근을 용접하고 부분 PC 인장철근에 다시 용접하여 U형 단면의 높이를 고정하였다. 부분 PC와 U형 단면 채움 콘크리트는
동시 타설하였다. 타설을 위하여 U형 단면 단부에 철판을 용접하여 콘크리트가 흘러내리지 않도록 하였고, 타설 콘크리트의 측압에 의한 벌어짐을 방지하기
위해 일정 간격을 두고 U형 단면 상부에 철근을 용접하였다. 실험체 제작 과정을 Fig. 5에 나타내었다.
Table 3 Expected strengths by failure modes [unit : kN]
|
Specimens
|
$P_{n,\:C}$
|
$P_{n,\:F}$
|
$P_{n,\:S}$
|
$P_{n,\:B}$
|
|
C90-F30-300
|
10.0
|
33.8
|
20.5
|
20.6
|
|
C90-F40-300
|
11.5
|
34.3
|
23.7
|
20.6
|
|
C140-F30-300
|
11.6
|
34.2
|
20.5
|
20.6
|
|
C140-F40-300
|
13.5
|
34.8
|
23.7
|
20.6
|
|
C140-F30-500
|
16.0
|
60.9
|
34.2
|
20.6
|
|
C140-F40-500
|
18.4
|
62.4
|
39.5
|
20.6
|
$P_{n,\:C}$, $P_{n,\:F}$, $P_{n,\:S}$ and $P_{n,\:B}$ are cracking, flexural, shear,
and buckling loads, respectively. The loads are calculated based on design material
properties.
3.6 예상강도
2.2절 설계법에 따른 각 실험체별 예상강도를 Table 3에 정리하였다. 시공하중단계에서 휨균열 미발생을 목표로 설계하였다. 균열강도 $P_{n,\:C}$를 제외한 파괴모드별 예상강도 중 최솟값을 예상강도로
한다. 모드별 예상강도는 실험값과 직접비교를 위해 아래의 식(8)~(11)과 같이 P로 치환하였다. 콘크리트설계압축강도가 30 MPa이고, 부분 PC의 폭이 300 mm인 실험체를 제외한 실험체들은 트러스 철근의 좌굴강도가
가장 낮다. 전단강도의 실제 안전율이 높고, 전단강도 산정 시에 U형 단면과 채움 콘크리트, 트러스 철근의 기여도는 고려되어 있지 않기 때문에 나머지
2개의 실험체도 최종파괴는 휨 파괴 발생 이전에 트러스 철근의 좌굴로 예상된다.
Fig. 6 Stress-strain relationships of concrete
4. 실험 결과
4.1 재료시험 결과
시험일에 콘크리트 설계압축강도 별 3개의 콘크리트 압축 공시체를 시험하였다. 부분 PC 콘크리트의 설계압축강도 30 MPa, 40 MPa별 평균압축강도는
35.6 MPa, 40.1 MPa이다. 부분 PC 콘크리트의 응력-변형률 곡선을 Fig. 6에 나타내었다.
부분 PC 인장철근으로 사용된 SD400 D10, SD400 D13 철근의 재료시험 결과 각각 평균 항복강도 497 MPa와 500 MPa, 인장강도는
632 MPa와 610 MPa로 KS D 3504(KATS 2016a)의 규격을 만족하였다. 탄성계수는 190 GPa로 계측되었다. 철근 인장시험에서
동일 단면에 마주 보는 형태로 스트레인 게이지를 부착하였는데, 이때 표면 처리 과정에서 단면결손이 일부 발생되어 탄성계수가 낮게 발현된 것으로 판단된다.
4.2 파괴 양상
실험체별 최종 파괴 사진을 Fig. 7에 나타내었다. 모든 실험체가 중앙부에 휨 균열 발생 후, 작용하중이 예상된 파괴하중인 트러스 좌굴 하중에 도달하고 트러스에 연쇄적으로 좌굴이 발생하여
실험을 종료하였다. 트러스 좌굴이 발생하는 위치는 실험체마다 달랐다. U형 단면 채움 콘크리트는 육안으로 특별한 손상이 관찰되지 않았으며, 변형률
게이지 측정값을 통해서 미끄러짐이 발생하지 않았음을 확인하였다.
4.3 하중-트러스 좌굴 관계
4.2절에서 트러스 좌굴에 의해 최종파괴가 발생한 것을 확인하였다. 실험체별 최대하중과 실제 재료강도에 의한 예상강도를 비교하여 Table 4에 정리하였다. 하중이 예상 좌굴강도에 도달함에 따라 위치에 관계없이 첫 번째 트러스 철근 좌굴이 발생하고, 그 후에는 연쇄적으로 좌굴이 발생하였다.
[실험강도]/[예상강도] 비의 평균이 1.25이고 변동계수가 10.1이다. 트러스 좌굴 예상강도가 실험강도를 유사하게 예측하고, 파괴양상과 종합하여
볼 때 실험체들의 파괴유형이 트러스 철근의 좌굴에 의한 것이라 판단된다.
Fig. 7 Typical specimen failures (grids spaced at 100 mm)
Table 4 Test results
|
Specimens
|
Expected value
|
Test value
|
|
$P_{s}$
(kN)
|
$P_{a,\:C}$
(kN)
|
$P_{a,\:F}$
(kN)
|
$P_{a,\:S}$
(kN)
|
$P_{a,\:B}$
(kN)
|
$P_{\max}$
(kN)
|
$P_{cr}$
(kN)
|
$\delta_{s}$
(mm)
|
|
C90-F30-300
|
3.0
|
10.9
|
40.1
|
22.4
|
20.6
|
28.1
|
16.7
|
0.6
|
|
C90-F40-300
|
3.0
|
11.5
|
40.4
|
23.7
|
20.6
|
21.5
|
8.5
|
1.2
|
|
C140-F30-300
|
2.9
|
12.7
|
40.7
|
22.4
|
20.6
|
27.7
|
12.1
|
0.5
|
|
C140-F40-300
|
2.9
|
13.5
|
41.1
|
23.7
|
20.6
|
27.3
|
8.8
|
0.5
|
|
C140-F30-500
|
5.0
|
17.4
|
72.3
|
37.3
|
20.6
|
25.8
|
4.6
|
0.9
|
|
C140-F40-500
|
5.0
|
18.4
|
73.2
|
39.5
|
20.6
|
23.8
|
11.1
|
0.7
|
$P_{s}$ is construction load; $P_{a,\:C}$, $P_{a,\:F}$, $P_{a,\:S}$ and $P_{a,\:B}$
are cracking, flexural, shear, and buckling loads, respectively. The loads are calculated
based on actual material properties; $P_{\max}$ is maximum load; $P_{cr}$ is measured
cracking load; $\delta_{s}$ is deflection at $P_{s}$.
4.4 하중-처짐 관계
각 실험체의 중앙에서 측정한 수직 변위와 하중과의 관계를 Fig. 8에 나타내고, 실험 결과를 Table 4에 정리하였다. 콘크리트 강도나 부분 PC의 폭이 증가하여도 최대하중이 향상되지 않았다. [최대하중]/[예상 휨강도] 비의 평균이 0.54로 휨 파괴
이전에 트러스 철근의 좌굴에 의해 파괴가 발생하기 때문에 모든 실험체가 예상 휨강도를 발현하지 못했다. U형 단면의 폭, 부분 PC 콘크리트의 폭이
같은 실험체들은 콘크리트 강도가 증가함에 따라 최대강도에서 중앙부 처짐값이 감소하였다. 콘크리트 강도가 증가함에 따라 실험체의 강성이 증가함을 알
수 있다. 시공하중상태에서의 처짐을 거푸집 및 동바리 설계기준(MOLIT 2018)에서 규정하고 있는 슬래브 거푸집의 허용변형과 비교하였다. 모든
실험체의 시공하중상태에서의 처짐 평균값이 0.7 mm로 설계기준(MOLIT 2018)의 가장 보수적인 값인 3 mm의 23 % 정도로 매우 낮은 값임을
확인하였다.
Fig. 8 Load-deflection relations
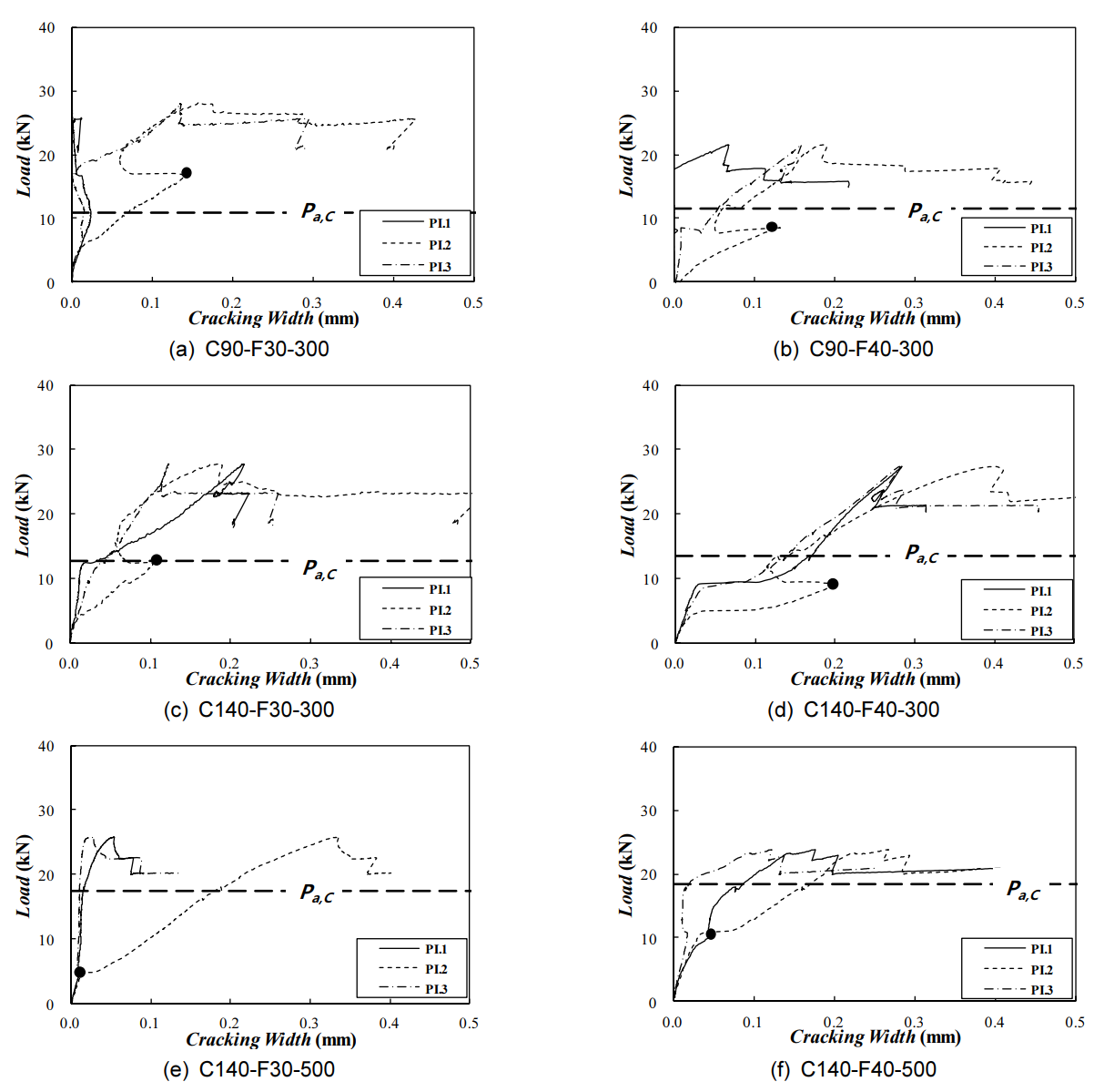
4.5 하중-휨 균열 관계
실험에서 계측된 하중-휨 균열폭 관계를 Fig. 9에 나타내고 결과값을 Table 4에 정리하였다. ① 검은 점은 첫 균열 발생 시점을 나타낸다. ② 특정 위치에 균열이 발생하면 주변 콘크리트의 인장 변형은 감소한다. ③ 따라서 특정
계측기의 균열폭이 증가하고, 다른 계측기의 균열폭이 감소 또는 증가가 둔화하는 점을 균열 발생 하중으로 정의하였다. 예상된 균열하중보다 상대적으로
일찍 첫 번째 균열이 발생하였다. 실험체의 생산 및 운반과정, 가력장치 설치 등의 과정에서의 미세균열이 발생한 것으로 판단된다. 실험체 6개 중 1개의
실험체를 제외한 나머지 실험체들이 모두 예상강도보다 낮은 균열강도를 발현하였다. [실제 균열강도]/[예상 균열강도]의 비의 평균이 0.79로 나타났다.
그러나 [실제 균열강도]/[시공하중]의 비의 평균은 3.12로 매우 높게 나타났다. 예상 균열강도보다는 일찍 균열이 발생하였지만, 설계목표인 시공강도에
비해서는 3배 이상의 강도를 확보하여 전체적으로 6개 실험체는 설계 의도에 부합하여 거동한 것으로 평가된다.
Fig. 9 Load-flexural crack relations
5. 결 론
상부 U형 단면에 콘크리트 충전한 압축저항요소와 하부 부분 PC를 절곡한 래티스형 트러스로 결합한 합성바닥구조를 개발하였다. U형 단면 폭, 부분
PC 폭, 콘크리트 압축강도를 변수로, 시공하중단계에서의 성능을 평가하기 위하여 휨 실험을 수행하였다. 연구 결과는 다음과 같다.
$\quad$1) 모든 실험체의 부분 PC 중앙 하부에 휨균열이 발생 후, 가력하중이 트러스 좌굴 하중에 도달하고 트러스 철근에 연쇄적으로 좌굴이
발생하여 실험을 종료하였다. 실험이 종료될 때까지 U형 단면 채움 콘크리트에는 특별한 손상이 발생하지 않았으며, U형 단면과 채움 콘크리트 사이에
미끄러짐도 발생하지 않았다.
$\quad$2) 모든 실험체가 예상 트러스 좌굴강도보다 높은 트러스 좌굴강도를 발현하였다. 6개 실험체의 [실제 트러스 좌굴강도]/[예상 트러스
좌굴강도] 비의 평균이 1.00, 변동계수가 10.1로 나타났다. 시공하중 단계에서는 트러스 좌굴이 전체강도를 지배하는 것으로 평가된다. 따라서 시공단계의
최대강도는 트러스 좌굴강도를 근거로 설계할 수 있다.
$\quad$3) 모든 실험체의 시공하중상태에서의 처짐값의 평균이 0.7 mm로 설계기준의 허용변형값인 3 mm보다 매우 작았다. 처짐에 대한 성능이
매우 우수한 것으로 판단된다.
$\quad$4) 하중-휨균열 관계에서 실제 균열강도가 예상강도와 비슷하거나 낮게 발현되었다. 그러나 시공하중상태에서는 모든 실험체에서 균열이 발생되지
않았다.[실제 균열강도]/[시공하중] 비의 평균은 3.12로 매우 높게 나타났다. 예상 균열강도보다는 일찍 균열이 발생하였지만, 설계 의도인 시공하중에는
부합하는 것으로 판단된다.
$\quad$5) 상부 압축요소로 콘크리트가 충전된 U형 단면을 사용한 부분 PC 부재는 시공하중에 적절한 구조적 거동특성을 확보하는 것으로 판단된다.
Acknowledgements
본 논문은 중소벤처기업부에서 지원하는 2018년도 기술개발사업(No. C0637683)의 연구수행으로 인한 결과물임을 밝힙니다.
References
AIK (2016) Korean Building Code 2016 (KBC 2016) and Commentray, Seoul, Korea; Kimoondang
Publishing Company, Architectural Institute of Korea (AIK) (In Korean), pp. 1221

European Committee for Standardization (CEN) , 2004, Eurocode 4: Design of Composite
Steel and Concrete Structures, Part 1.1: General Rules and Rules for Buildings (BS
EN 1994-1-1), London, UK; British Standards Institute (BSI)

Kim D. B., Kim Y. H., Oh M. H., 2017, Experimental Study on the Flexural Capacity
of the Concrete-filled Composite Beam with Exposed Top Flange, Journal of the Korean
Society of Hazard Mitigation (In Korean), Vol. 17, No. 4, pp. 1-9

Korea Agency for Technology and Standards (KATS) , 2016a, Steel Bars for Concrete
Reinforcement (KS D 3504), Seoul, Korea: Korea Standard Association (KSA) (In Korean),
pp. 1-31

Korea Agency for Technology and Standards (KATS) , 2016b, Zinc-coated Light Gauge
Steels for Structure (KS D 3854), Seoul, Korea: Korea Standard Association (KSA) (In
Korean), pp. 1-31

Lee M. H., Oh M. H., Kim Y. H., Jeong S. C., Kim M. H., 2017, Experimental Study on
the Shear Capacity of Slim AU Composite Beam, Journal of Korean Association for Spatial
Structures (In Korean), Vol. 17, No. 3, pp. 99-105

Ministry of Land, Infrastructure and Transport (MOLIT) , 2016, Standard Specification
for Temporary Construction, Yeoju, Korea; Korea Temporary Equipment Association (KTEA),
MOLIT (In Korean), pp. 349

Ministry of Land, Infrastructure and Transport (MOLIT) , 2018, Formwork and Shore
Design Code (KDS 21 50 00), Sejong, Korea; MOLIT (In Korean)

Oh M. H., Kim Y. H., Kim M. H., 2018a, Experimental Study on the Flexural Capacity
of the U-Flanged Truss Hybrid Beam, Journal of Korean Association for Spatial Structures
(In Korean), Vol. 18, No. 4, pp. 123-130

Oh M. H., Kim Y. H., Kang J. Y., Kim M. H., 2018b, Experimental Study on the Structural
Capacity of the U-flanged Truss Steel Beam, Journal of Korean Association for Spatial
Structures (In Korean), Vol. 18, No. 4, pp. 113-121
