Mobile QR Code QR CODE
Export citation EndNote




ํŽ˜๋กœ๋‹ˆ์ผˆ์Šฌ๋ž˜๊ทธ ๋ฏธ๋ถ„๋ง, ์ด‰์ง„ ์—ผํ™”๋ฌผ ์ด๋™๊ณ„์ˆ˜, ํ†ต๊ณผ์ „ํ•˜๋Ÿ‰, ๋ฉ”์นด๋…ธ์ผ€๋ฏธ์นผ ๋ฐ˜์‘
ferronickel slag powder, rapid chloride migration coefficient, charge passed, mechanochemistry

  • 1. ์„œ ๋ก 

  • 2. ์‹ค ํ—˜

  •   2.1 ์‹คํ—˜์˜ ๊ฐœ์š”

  •   2.2 ์‚ฌ์šฉ์žฌ๋ฃŒ

  •   2.3 ์‹คํ—˜๋ฐฐํ•ฉ

  •   2.4 NT Build 492์— ๋”ฐ๋ฅธ ์ด‰์ง„์—ผํ™”๋ฌผ ์‹œํ—˜

  •   2.5 ํ†ต๊ณผ ์ „ํ•˜๋Ÿ‰ ์ธก์ •์‹œํ—˜

  •   2.6 ํœจ๊ฐ•๋„ ๋ฐ ์••์ถ•๊ฐ•๋„์‹œํ—˜

  • 3. ์‹คํ—˜๊ฒฐ๊ณผ ๋ฐ ํ‰๊ฐ€

  •   3.1 ์ฝ˜ํฌ๋ฆฌํŠธ์˜ ๊ฐ•๋„ ํ‰๊ฐ€

  •   3.1.1 ํœจ๊ฐ•๋„ ํ‰๊ฐ€

  •   3.1.2 ์••์ถ•๊ฐ•๋„ ํ‰๊ฐ€

  •   3.2 ์—ผํ™”๋ฌผ์ด์˜จ ์นจํˆฌ์ €ํ•ญ์„ฑ์˜ ๋ณ€ํ™”

  •   3.2.1 ์ด‰์ง„์—ผํ™”๋ฌผ ์ด๋™๊ณ„์ˆ˜

  •   3.2.2 ํ†ต๊ณผ์ „ํ•˜๋Ÿ‰

  •   3.3 ๊ฐ•๋„ ๋ฐ ์—ผํ™”๋ฌผ์ด์˜จ ์นจํˆฌ์ €ํ•ญ์„ฑ๋Šฅ ํ‰๊ฐ€

  • 4. ๊ฒฐ ๋ก 

1. ์„œ    ๋ก 

์ตœ๊ทผ ์‚ฌํšŒ์ ์œผ๋กœ ์ด์Šˆ๊ฐ€ ๋˜๊ณ  ์žˆ๋Š” ๋„๋กœ์นจํ•˜์˜ ๊ฒฝ์šฐ ๋…ธํ›„๊ด€๋กœ๊ฐ€ ๊ฐ€์žฅ ํฐ ์›์ธ์œผ๋กœ ์•Œ๋ ค์ ธ ์žˆ๋‹ค. ์„œ์šธ์‹œ์— ๋”ฐ๋ฅด๋ฉด 2010๋…„ ์ดํ›„ ์„œ์šธ์—์„œ ๋ฐœ์ƒํ•œ ๋„๋กœ ํ•จ๋ชฐ 3,205๊ฑด ์ค‘ ๋…ธํ›„ ํ•˜์ˆ˜๊ด€์ด ์›์ธ์ธ ๊ฒƒ์€ 2,714๊ฑด์œผ๋กœ ์ „์ฒด์˜ 84.7 %์— ์ด๋ฅธ๋‹ค(City of Seoul 2014). 2013๋…„ ๊ธฐ์ค€์œผ๋กœ ์ „๊ตญ์— ๋ถ€์„ค๋œ ํ•˜์ˆ˜๊ด€์€ 126,646 km์ด๋ฉฐ ์ด ์ค‘ ์›์‹ฌ๋ ฅ๊ด€(reinforced spun concrete pipe, ํ„๊ด€)๊ณผ ์ง„๋™ ๋ฐ ์ „์•• ์ฒ ๊ทผ์ฝ˜ํฌ๋ฆฌํŠธ๊ด€(vibrated and rolled reinforced concrete pipe, VR๊ด€) ๋“ฑ ์ฝ˜ํฌ๋ฆฌํŠธ ๊ฐ•์„ฑ๊ด€์€ 46,030 km๋กœ์„œ 36.3 %๋ฅผ ์ฐจ์ง€ํ•˜๊ณ  ์žˆ๋‹ค(Ministry of Environment 2014). ํŠนํžˆ, ์ฝ˜ํฌ๋ฆฌํŠธ ๊ฐ•์„ฑ๊ด€์€ ํ•˜์ค‘์ด ํฌ๊ฒŒ ์ž‘์šฉํ•˜๋Š” ๋„๋กœ ํšก๋‹จ ๋ฐ ์ข…๋‹จ ๊ตฌ๊ฐ„์— ์ฃผ๋กœ ์„ค์น˜๋˜๊ณ  ์žˆ์–ด ๋„๋กœ์นจํ•˜์™€์˜ ์—ฐ๊ด€์„ฑ์ด ํฌ๋‹ค. ์ด์— ๋”ฐ๋ผ ์ฝ˜ํฌ๋ฆฌํŠธ ๊ฐ•์„ฑ๊ด€์˜ ์„ฑ๋Šฅ๊ฐœ์„  ๋ฐ ์ˆ˜๋ช…์ฆ๋Œ€ ๋ฐฉ์•ˆ์— ๋Œ€ํ•œ ์‚ฌํšŒ์  ๊ด€์‹ฌ์ด ๋†’์•„์ง€๊ณ  ์žˆ๋‹ค.

์ฝ˜ํฌ๋ฆฌํŠธ ๊ฐ•์„ฑ๊ด€์€ ์ œ์กฐ๋ฐฉ์‹์— ๋”ฐ๋ผ ์Šต์‹์— ์˜ํ•œ ์›์‹ฌ๋ ฅ์„ ์ด์šฉํ•˜๋Š” ํ„๊ด€๊ณผ ๊ฑด์‹์— ์˜ํ•œ ์ง„๋™ ๋ฐ ๋กค ์ „์••์„ ์ด์šฉํ•œ VR๊ด€์œผ๋กœ ๊ตฌ๋ถ„๋œ๋‹ค. ๊ทธ๋™์•ˆ ์Šต์‹๋ฐฐํ•ฉ์„ ๊ธฐ๋ฐ˜์œผ๋กœ ํ•œ ํ„๊ด€์— ๋น„ํ•ด ๊ฑด์‹๋ฐฐํ•ฉ ๊ธฐ๋ฐ˜์˜ VR๊ด€์— ๋Œ€ํ•œ ์—ฐ๊ตฌ๋Š” ์ƒ๋Œ€์ ์œผ๋กœ ๋ถ€์กฑํ•œ ํŽธ์ด์—ˆ๋Š”๋ฐ, ๊ฑด์‹๋ฐฐํ•ฉ์œผ๋กœ ์‹œํ—˜ํŽธ์„ ์ œ์กฐํ•  ์ˆ˜ ์žˆ๋Š” ๋ณ„๋„์˜ ์ง„๋™์ „์•• ์„ฑํ˜•๊ธฐ๊ฐ€ ํ•„์š”ํ–ˆ๊ธฐ ๋•Œ๋ฌธ์ด๋‹ค.

ํ•œํŽธ, ์ฝ˜ํฌ๋ฆฌํŠธ๋Š” ๋‚ด๊ตฌ์ ์ด๊ณ  ๊ฒฝ์ œ์ ์ธ ๊ฑด์„ค์žฌ๋ฃŒ์ด์ง€๋งŒ ๊ฐ•์žฌ์™€ ๋‹ฌ๋ฆฌ ๋‹ค๊ณต์„ฑ์ด๋ฏ€๋กœ ๊ณต๊ทน์„ ํ†ตํ•œ ์—ผํ™”๋ฌผ ์ด์˜จ ๋“ฑ ๋ถ€์‹์ธ์ž์˜ ์นจํˆฌ๋กœ ์ฒ ๊ทผ์˜ ๋ถ€์‹์„ ์•ผ๊ธฐํ•˜๋Š” ์—ดํ™”๊ฐ€ ์ง„ํ–‰๋˜์–ด ์ˆ˜๋ช…์„ ๋‹จ์ถ•์‹œํ‚ค๋Š” ๋‹จ์ ์„ ์ง€๋‹ˆ๊ณ  ์žˆ๋‹ค(Sarja and Vesikari 1994). ์ด๋ฅผ ๋ณด์™„ํ•˜๊ธฐ ์œ„ํ•ด ํ”Œ๋ผ์ด์• ์‹œ, ๊ณ ๋กœ์Šฌ๋ž˜๊ทธ๋ฏธ๋ถ„๋ง ๋“ฑ์ด ํ˜ผํ™”์žฌ๋ฃŒ๋กœ ๋„๋ฆฌ ํ™œ์šฉ๋˜๊ณ  ์žˆ๋‹ค(Song et al. 2003; Kwon et al. 2016; Park 2017). ๋ณธ ์—ฐ๊ตฌ์—์„œ๋Š” ๊ธฐ์กด์˜ ํ˜ผํ™”์žฌ๋ฃŒ ์™ธ์— ์ƒˆ๋กœ์šด ์žฌ๋ฃŒ์ธ ํŽ˜๋กœ๋‹ˆ์ผˆ์Šฌ๋ž˜๊ทธ(ferronickel slag) ๋ฏธ๋ถ„๋ง์— ์ฃผ๋ชฉํ•˜๊ฒŒ ๋˜์—ˆ๋‹ค. ์Šคํ…Œ์ธ๋ ˆ์Šค๊ฐ• ๋ฐ ํŠน์ˆ˜๊ฐ•์˜ ์ฃผ์›๋ฃŒ์ธ ๋‹ˆ์ผˆ์˜ ์›์žฌ๋ฃŒ์ธ ํŽ˜๋กœ๋‹ˆ์ผˆ์€ ์ˆœ๋‹ˆ์ผˆ์„ 20 % ํ•จ์œ ํ•˜๋Š” ๊ฒƒ์œผ๋กœ ์ฒ ๊ณผ ๋‹ˆ์ผˆ์˜ ํ˜ผํ•ฉ๋ฌผ ํ˜•ํƒœ์ด๋‹ค. ๊ตญ๋‚ด์—์„œ๋Š” ์ง€๋‚œ 2008๋…„ ์„ธ๊ณ„ ์ตœ๋Œ€ ๊ทœ๋ชจ์˜ ํŽ˜๋กœ๋‹ˆ์ผˆ ์ œ๋ จ๊ณต์žฅ์ด ๊ด‘์–‘์— ์ค€๊ณต๋จ์— ๋”ฐ๋ผ ์‚ฐ์—…๋ถ€์‚ฐ๋ฌผ์ธ ํŽ˜๋กœ๋‹ˆ์ผˆ์Šฌ๋ž˜๊ทธ๊ฐ€ ์—ฐ๊ฐ„ 100๋งŒ ํ†ค ์ด์ƒ ๊ทœ๋ชจ๋กœ ๋ฐœ์ƒํ•˜๊ณ  ์žˆ๋‹ค.

์ด์™€ ๊ฐ™์ด ๋ฐœ์ƒํ•˜๋Š” ํŽ˜๋กœ๋‹ˆ์ผˆ์Šฌ๋ž˜๊ทธ๋Š” ๋„๋กœ์šฉ ๋…ธ๋ฐ˜์žฌ๋‚˜ ์ฝ˜ํฌ๋ฆฌํŠธ์šฉ ์ž”๊ณจ์žฌ ๋ฐ ๋†์—…์šฉ ๋น„๋ฃŒ๋กœ๋„ ์žฌํ™œ์šฉ๋˜๊ณ  ์žˆ์œผ๋‚˜ ์•ฝ 10 %์— ๋‹ฌํ•˜๋Š” ๋ถ„์‡„ ์‹œ ๋ฐœ์ƒ ๋ฏธ๋ถ„์€ ๋šœ๋ ทํ•œ ์žฌํ™œ์šฉ์ฒ˜๋ฅผ ์ฐพ์ง€ ๋ชปํ•˜์—ฌ ๋Œ€๋ถ€๋ถ„ ํ๊ธฐ๋˜๋Š” ์‹ค์ •์ด๋‹ค(Ministry of Agriculture, Food and Rural Affairs 2011). ์ฒ ๊ฐ•๊ธˆ์†์ธ ๊ณ ๋กœ์Šฌ๋ž˜๊ทธ๊ฐ€ ๋ฌผ๊ณผ ์ ‘ํ•  ๊ฒฝ์šฐ ํ‘œ๋ฉด์— ๋ถˆํˆฌ์ˆ˜์ธต์ด ์ƒ์„ฑ๋˜์–ด ๋” ์ด์ƒ์˜ ๋ฐ˜์‘์„ ์ฐจ๋‹จํ•˜๋Š” ์—ญํ• ์„ ํ•˜๋Š” ๊ฒƒ์ฒ˜๋Ÿผ ๋น„์ฒ ๊ธˆ์†์ธ ํŽ˜๋กœ๋‹ˆ์ผˆ์Šฌ๋ž˜๊ทธ๋„ ๋ฌผ๊ณผ ๋ฐ˜์‘ํ•˜์ง€ ์•Š๊ธฐ ๋•Œ๋ฌธ์— ์ฝ˜ํฌ๋ฆฌํŠธ์šฉ ํ˜ผํ™”์žฌ๋ฃŒ๋กœ๋Š” ์ ์šฉ์— ํ•œ๊ณ„๊ฐ€ ์žˆ์—ˆ๊ธฐ ๋•Œ๋ฌธ์ด๋‹ค. ๊ทธ๋Ÿฌ๋‚˜ ์ตœ๊ทผ ๋ถ„์‡„๋ฐ€์˜ ๊ธฐ๊ณ„์  ์—ฐ๋งˆ ์ž‘์šฉ์ด ํŽ˜๋กœ๋‹ˆ์ผˆ ์Šฌ๋ž˜๊ทธ์˜ ํ‘œ๋ฉด์„ ์ž๊ทนํ•จ์œผ๋กœ์จ ๋ฌผ๊ณผ์˜ ๋ฐ˜์‘์„ฑ์ด ํ™œ์„ฑํ™”๋˜๋Š” ๋ฉ”์นด๋…ธ์ผ€๋ฏธ์ปฌ(mechanochemical) ๋ฐ˜์‘์— ์˜ํ•ด ํŽ˜๋กœ๋‹ˆ์ผˆ์Šฌ๋ž˜๊ทธ ๋ฏธ๋ถ„๋ง์„ ์‹œ๋ฉ˜ํŠธ์˜ ์น˜ํ™˜์žฌ๋ฃŒ๋กœ ์‚ฌ์šฉํ•  ์ˆ˜ ์žˆ๋Š” ๊ฐ€๋Šฅ์„ฑ์ด ๋ณด๊ณ ๋˜์—ˆ๋‹ค(Park et al. 2013; Sereenen 2013). ๋ฉ”์นด๋…ธ์ผ€๋ฏธ์ปฌ ๋ฐ˜์‘์„ ํ†ตํ•ด ํ‘œ๋ฉด์ด ํ™œ์„ฑํ™”๋œ ํŽ˜๋กœ๋‹ˆ์ผˆ์Šฌ๋ž˜๊ทธ ๋ฏธ๋ถ„๋ง๋กœ ์ œ์กฐ๋œ ํ˜ผํ•ฉ๋ฌผ์˜ ๊ฒฝ์šฐ ๋ฏธ์„ธํ•˜๊ณ  ์น˜๋ฐ€ํ•œ ๊ตฌ์กฐ๋ฅผ ๊ฐ€์ง€๊ฒŒ ๋˜์–ด ํŽ˜์ด์ŠคํŠธ์™€ ๊ณจ์žฌ ๊ณ„๋ฉด ๊ธฐ๊ณต์œจ์ด ๋‚ฎ์•„์ง€๊ฒŒ ๋˜๋ฏ€๋กœ ๋ชจ๋ฅดํƒ€๋ฅด์—์„œ ์—ผํ™”๋ฌผ์ด์˜จ ์นจํˆฌ์ €ํ•ญ์„ฑ์ด ํ–ฅ์ƒ๋˜๊ณ  ์ด๋กœ ์ธํ•ด ๋‚ด์—ผํ•ด์„ฑ์ด ๊ฐ•ํ•ด์ง€๋Š” ํšจ๊ณผ๋ฅผ ์–ป์„ ์ˆ˜ ์žˆ๋‹ค.

๋ณธ ์—ฐ๊ตฌ๋Š” ์ด๋Ÿฌํ•œ ํŠน์„ฑ์„ ์ฝ˜ํฌ๋ฆฌํŠธ ํ•˜์ˆ˜๊ด€์˜ ์„ฑ๋Šฅ๊ฐœ์„ ์— ์ ์šฉ์‹œํ‚ค๊ธฐ ์œ„ํ•œ ๊ธฐ์ดˆ์ ์ธ ์—ฐ๊ตฌ์ด๋‹ค. ํŽ˜๋กœ๋‹ˆ์ผˆ์Šฌ๋ž˜๊ทธ ๋ฏธ๋ถ„๋ง์˜ ์‹œ๋ฉ˜ํŠธ ์น˜ํ™˜์žฌ๋ฃŒ๋กœ์„œ์˜ ํ™œ์šฉ๊ฐ€๋Šฅ์„ฑ ๋ฐ ๊ทธ์— ๋”ฐ๋ฅธ ์ตœ์ ๋น„๋ฅผ ๊ฒ€ํ† ํ•˜๊ณ  ์‹ค์ œ ๋ฉ”์นด๋…ธ์ผ€๋ฏธ์ปฌ ํšจ๊ณผ๋ฅผ ํ™•์ธํ•˜๋Š” ๊ฒƒ์„ ์—ฐ๊ตฌ์˜ ๋ชฉํ‘œ๋กœ ํ•œ๋‹ค. ์ง„๋™๋ฐ€์„ ํ†ตํ•œ 1์ฐจ ๋ฏธ๋ถ„์‡„๋กœ ๋ถ„๋ง๋„ 3,560 cm2/g์ธ ํŽ˜๋กœ๋‹ˆ์ผˆ์Šฌ๋ž˜๊ทธ ๋ฏธ๋ถ„๋ง๊ณผ, 2์ฐจ ์ถ”๊ฐ€ ๋ถ„์‡„๋กœ ๋ถ„๋ง๋„๋ฅผ 4,840 cm2/g์œผ๋กœ ์ฆ๊ฐ€์‹œํ‚จ ๋‘ ๊ฐ€์ง€ ํŽ˜๋กœ๋‹ˆ์ผˆ์Šฌ๋ž˜๊ทธ ๋ฏธ๋ถ„๋ง์„ ํ˜ผํ•ฉํ•œ ๋ชจ๋ฅดํƒ€๋ฅด๋ฅผ ๋Œ€์ƒ์œผ๋กœ ํ•˜์˜€๋‹ค. ์••์ถ• ๋ฐ ํœจ๊ฐ•๋„ํŠน์„ฑ ๋ฐ ์—ผํ™”๋ฌผ์ด์˜จ ์นจํˆฌ์ €ํ•ญ์„ฑ๋Šฅ ํ‰๊ฐ€๋ฅผ ํ†ตํ•ด ํŽ˜๋กœ๋‹ˆ์ผˆ์Šฌ๋ž˜๊ทธ ๋ฏธ๋ถ„๋ง์˜ ์ตœ์  ๋ฐฐํ•ฉ๋น„์œจ์˜ ๋ฒ”์œ„๋ฅผ ๋„์ถœํ•˜์˜€๋‹ค.

2. ์‹ค    ํ—˜

2.1 ์‹คํ—˜์˜ ๊ฐœ์š”

๋ณธ ์—ฐ๊ตฌ์—์„œ๋Š” ์ฝ˜ํฌ๋ฆฌํŠธ ๊ฐ•์„ฑ๊ด€์ธ VR๊ด€์˜ ๋‚ด๊ตฌ์ˆ˜๋ช… ํ–ฅ์ƒ์„ ๋ชฉ์ ์œผ๋กœ ๋ฉ”์นด๋…ธ์ผ€๋ฏธ์ปฌ ๋ฐ˜์‘์— ๋”ฐ๋ผ ํ‘œ๋ฉด์ด ํ™œ์„ฑํ™”๋œ ๋‘ ๊ฐ€์ง€ ๋‹ค๋ฅธ ๋ถ„๋ง๋„๋ฅผ ๊ฐ€์ง„ ํŽ˜๋กœ๋‹ˆ์ผˆ์Šฌ๋ž˜๊ทธ ๋ฏธ๋ถ„๋ง(์ดํ•˜ FNS)๋ฅผ ํ˜ผ์ž…ํ•œ ๋ชจ๋ฅดํƒ€๋ฅด์˜ ๊ฐ•๋„ ๋ฐ ์—ผํ™”๋ฌผ ์ด์˜จ ์นจํˆฌ์ €ํ•ญ์„ฑ๋Šฅ ํ‰๊ฐ€๋ฅผ ํ†ตํ•ด ๋‚ด๊ตฌ์„ฑ์„ ํ‰๊ฐ€ํ•˜์˜€๋‹ค. ํ”„๋ฆฌ์บ์ŠคํŠธ ์ œํ’ˆ์ธ VR๊ด€์˜ ๊ฒฝ์šฐ ์ œํ’ˆ ์ถœํ•˜์‹œ๊ธฐ๋ฅผ ๊ณ ๋ คํ•˜์—ฌ ์ฆ๊ธฐ์–‘์ƒ์„ ์‹ค์‹œํ•˜๋ฉฐ, ์ดˆ๊ธฐ์žฌ๋ น์—์„œ์˜ ๊ฑฐ๋™ ํŠน์„ฑ ํ‰๊ฐ€๋„ ์ค‘์š”ํ•˜๋ฏ€๋กœ ์žฌ๋ น 1, 3, 7, 28์ผ์—์„œ์˜ ํœจ ๋ฐ ์••์ถ•๊ฐ•๋„ ํ‰๊ฐ€๋ฅผ ์‹ค์‹œํ•˜์˜€๋‹ค. ๋˜ํ•œ ๋‚ด๊ตฌ์„ฑ๋Šฅ ํ‰๊ฐ€๋ฅผ ์œ„ํ•œ ์—ผํ™”๋ฌผ์ด์˜จ์นจํˆฌ์ €ํ•ญ์„ฑ๋Šฅ์€ ์žฌ๋ น 7์ผ ๋ฐ 28์ผ์— ํ‰๊ฐ€ํ•˜์˜€๋‹ค. ์ด๋Ÿฌํ•œ ์‹œํ—˜์„ ํ†ตํ•ด ์ตœ์ ์˜ FNS ์น˜ํ™˜๋น„์œจ์˜ ๋ฒ”์œ„๋ฅผ ์ฐพ๋Š” ๊ฒƒ์„ ์—ฐ๊ตฌ์˜ ๋ชฉ์ ์œผ๋กœ ํ•˜์˜€๋‹ค.

2.2 ์‚ฌ์šฉ์žฌ๋ฃŒ

์‚ฌ์šฉ๋œ ์‹œ๋ฉ˜ํŠธ๋Š” ๋ฐ€๋„ 3.15 g/cm3 ๋ฐ ๋ถ„๋ง๋„ 3,160 cm2/g์ธ ๋ณดํ†ตํฌํ‹€๋žœ๋“œ ์‹œ๋ฉ˜ํŠธ(์ดํ•˜ OPC)์ด๋ฉฐ ์ž”๊ณจ์žฌ๋Š” ์ฒœ์—ฐ์ž”๊ณจ์žฌ(S1), ๋ถ€์ˆœ์ž”๊ณจ์žฌ(S2) ๋ฐ ์ตœ๋Œ€์ž…์ž ํฌ๊ธฐ๊ฐ€ 8 mm ์ •๋„์ธ ์„๋ถ„(S3), ์„ธ ๊ฐ€์ง€๋ฅผ ํ˜ผํ•ฉํ•˜์—ฌ ์‚ฌ์šฉํ•˜์˜€๋‹ค. FNS๋Š” Fig. 1์—์„œ ๋ณด์ธ ๊ฒƒ๊ณผ ๊ฐ™์ด ๋ถ„๋ง๋„๊ฐ€ ๋‹ค๋ฅธ ๋‘ ๊ฐ€์ง€ ์ข…๋ฅ˜๋ฅผ ์‚ฌ์šฉํ•˜์˜€๋‹ค. B1์€ 1์ฐจ ๋ถ„์‡„ํ•œ FNS๋กœ (์ฃผ)SNNC์—์„œ ์•ผ์ ๋œ ํŽ˜๋กœ๋‹ˆ์ผˆ ์Šฌ๋ž˜๊ทธ๋ฅผ H ์‹œ๋ฉ˜ํŠธ์‚ฌ์˜ ๋ถ„์‡„๋ฐ€๋กœ 1์ฐจ ๋ถ„์‡„ํ•œ ์žฌ๋ฃŒ๋กœ์„œ ๋ถ„๋ง๋„๋Š” 3,560 cm2/g์ด๋‹ค. B2๋Š” ๋ณธ ์‹คํ—˜์‹ค์˜ ์†Œํ˜• ์ง„๋™ ๋ถ„์‡„๋ฐ€๋กœ 2์ฐจ ๋ถ„์‡„๋ฅผ ์‹ค์‹œํ•ด ๋ถ„๋ง๋„๊ฐ€ 4,840 cm2/g๋กœ ์ปค์ง„ FNS์ด๋‹ค. ๋ถ„๋ง๋„๊ฐ€ ํฐ B2๋Š” Fig. 1์—์„œ ๋‚˜ํƒ€๋‚ธ ๊ฒƒ์ฒ˜๋Ÿผ ์ƒ‰๊น”์ด ๋ฐ์•„์ง€๊ณ  ๋ฉ”์นด๋…ธ์ผ€๋ฏธ์ปฌ ์ž‘์šฉ์— ๋”ฐ๋ฅธ ๊ธฐ๊ณ„ ํ™”ํ•™์  ํ™œ์„ฑํ™” ์ž‘์šฉ์— ๋”ฐ๋ผ ๋ฌผ๊ณผ์˜ ๋ฐ˜์‘์„ฑ์ด ๋งค์šฐ ํ–ฅ์ƒ๋˜์—ˆ๋‹ค. ํ˜ผํ™”์ œ๋Š” ๊ตญ๋‚ด H์‚ฌ์˜ ํด๋ฆฌ์นด๋ณธ์‚ฐ๊ณ„ ๊ณ ์„ฑ๋Šฅ ๊ฐ์ˆ˜์ œ์ด๋‹ค. ๊ณจ์žฌ์˜ ๋ฌผ๋ฆฌ์  ํŠน์„ฑ์€ Table 1๊ณผ ๊ฐ™์œผ๋ฉฐ ์‹œ๋ฉ˜ํŠธ์™€ FNS์˜ ํ™”ํ•™์  ์กฐ์„ฑ์€ Table 2์™€ ๊ฐ™๋‹ค. ์ตœ๋Œ€ํ•œ ์‹ค์ œ VR๊ด€ ๊ฑฐ๋™ ํŠน์„ฑ๊ณผ ์œ ์‚ฌํ•œ ๋ฌผ์„ฑ์„ ์–ป๊ธฐ ์œ„ํ•ด ์‹œ๋ฉ˜ํŠธ ๋ฐ ๊ณจ์žฌ๋Š” ์‹ค์ œ VR๊ด€ ์ œ์กฐ์‚ฌ์—์„œ ์‚ฌ์šฉํ•˜๊ณ  ์žˆ๋Š” ์žฌ๋ฃŒ๋ฅผ ๊ทธ๋Œ€๋กœ ์‚ฌ์šฉํ•˜์˜€๋‹ค.

Fig. 1

Photos for ferronickel slag powder : (a) after 1st milling process, (b) after 2nd milling process

/Resources/kci/JKCI.2017.29.6.633/images/Figure_CONCRETE_29_06_12_F1.jpg

Table 1 Physical properties of fine aggregate

/Resources/kci/JKCI.2017.29.6.633/images/Table_CONCRETE_29_06_12_T1.jpg

Table 2 Chemical compositions for OPC and FNS

/Resources/kci/JKCI.2017.29.6.633/images/Table_CONCRETE_29_06_12_T2.jpg

2.3 ์‹คํ—˜๋ฐฐํ•ฉ

๋ณธ ์—ฐ๊ตฌ์—์„œ๋Š” ๋ถ„๋ง๋„๊ฐ€ ๋‹ค๋ฅธ ๋‘ ์ข…๋ฅ˜์˜ FNS B1 ๋ฐ B2์˜ ํ˜ผํ•ฉ๋น„์œจ์— ๋”ฐ๋ฅธ ๋ชจ๋ฅดํƒ€๋ฅด ์‹œํŽธ์˜ ๊ฐ•๋„ ๋ฐ ๋‚ด๊ตฌ์„ฑ์„ ํ‰๊ฐ€ํ•˜๊ธฐ ์œ„ํ•˜์—ฌ FNS์˜ ์‹œ๋ฉ˜ํŠธ ์น˜ํ™˜๋Ÿ‰์„ 0โˆผ50 %๊นŒ์ง€ 10 % ๋‹จ์œ„๋กœ ๋ณ€ํ™”์‹œํ‚จ Table 3๊ณผ ๊ฐ™์€ ๋ฐฐํ•ฉ์œผ๋กœ ์‹œํŽธ์„ ์ œ์ž‘ํ•˜์˜€๋‹ค. ๊ธฐ๋ณธ๋ฐฐํ•ฉ์€ ํ˜„์žฌ VR๊ด€ ์ œ์ž‘ ์‹œ ์ ์šฉ๋˜๊ณ  ์žˆ๋Š” ๋ฐฐํ•ฉ์„ ๊ธฐ์ดˆ๋กœ ํ•˜์˜€์œผ๋ฉฐ, ๋ฌผ ๊ฒฐํ•ฉ์žฌ๋น„๋Š” 32 %๋กœ ํ•˜์˜€๊ณ  ํ˜ผํ™”์ œ๋กœ๋Š” ๊ณ ์„ฑ๋Šฅ๊ฐ์ˆ˜์ œ๋ฅผ ์‚ฌ์šฉํ•˜์˜€๋‹ค. ํ˜„์žฌ ๊ตญ๋‚ด์—์„œ๋Š” VR๊ด€ ์ œ์ž‘์‹œ ์Šฌ๋Ÿผํ”„๊ฐ€ ๊ฑฐ์˜ ๋ฐœ์ƒํ•˜์ง€ ์•Š๋Š” ๊ฑด์‹๋ฐฐํ•ฉ์„ ์ ์šฉํ•˜๋ฉฐ ๋ณธ ์—ฐ๊ตฌ์—์„œ๋Š” ์‹ค์ œ VR๊ด€ ์ œ์ž‘๋ฐฉ์‹๊ณผ ๋™์ผํ•˜๊ฒŒ ์‹œํŽธ์„ ์ œ์ž‘ํ•  ์ˆ˜ ์žˆ๋„๋ก ์ง„๋™์ „์•• ์„ฑํ˜•๊ธฐ๋ฅผ ์ด์šฉํ•˜์—ฌ ์‹œํŽธ์„ ์ œ์ž‘ํ•˜์˜€๋‹ค. ์‹œํŽธ์˜ ์ œ์ž‘๋ฐฉ๋ฒ•์€ ์ฒซ ๋‹จ๊ณ„๋กœ ๋ชจ๋ฅดํƒ€๋ฅด ๋ฏน์„œ๊ธฐ์— ์žฌ๋ฃŒ๋ฅผ ํ˜ผํ•ฉ ํ•œ ํ›„ 1๋ถ„ 30์ดˆ๊ฐ„ ํ˜ผํ•ฉํ•œ๋‹ค. ๋‹ค์Œ ๋‹จ๊ณ„๋กœ ์ง„๋™์ „์•• ์„ฑํ˜•๊ธฐ์— ํ˜ผํ•ฉํ•œ ์‹œ๋ฃŒ๋ฅผ ํˆฌ์ž…ํ•˜๊ณ  1๋ถ„ 30์ดˆ๊ฐ„ ์ „์•• ํ›„ ์ง„๋™๋‹ค์ง์„ ํ•œ๋‹ค. ๋งˆ์ง€๋ง‰์œผ๋กœ ์ „์••์„ ์ œ๊ฑฐํ•˜๊ณ  ์‹œํ—˜ํŽธ์„ ํƒˆํ˜•ํ•œ๋‹ค. ์ด๋Ÿฌํ•œ ์‹œํŽธ์˜ ์ œ์ž‘๋‹จ๊ณ„๋Š” Fig. 2์— ๋‚˜ํƒ€๋‚ด์—ˆ๋‹ค. ํƒˆํ˜•ํ•œ ์‹œํŽธ์€ ํ•ญ์˜จํ•ญ์Šต๊ธฐ์— ๋ฐ”๋กœ ๋„ฃ๊ณ  2์‹œ๊ฐ„ ๋™์•ˆ 25 ยฐC์—์„œ 65 ยฐC๋กœ ์™„๋งŒํ•˜๊ฒŒ ์˜จ๋„๋ฅผ ์ƒ์Šนํ•œ ํ›„ 6์‹œ๊ฐ„ ๋™์•ˆ 65 ยฐC๋กœ ์œ ์ง€ํ•œ ํ›„ 2์‹œ๊ฐ„ ๋™์•ˆ 25 ยฐC๋กœ ์˜จ๋„๋ฅผ ํ•˜๊ฐ•ํ•˜๋Š” ์‚ฌ์ดํด๋กœ ์ฆ๊ธฐ์–‘์ƒ์„ ์‹ค์‹œํ•˜์˜€๋‹ค. ์ด๋Ÿฌํ•œ ์‚ฌ์ดํด์˜ ์ฆ๊ธฐ์–‘์ƒ์€ KS F 4402์—์„œ ๊ทœ์ •ํ•œ ๊ธฐ์ค€์„ ๋”ฐ๋ฅธ ๊ฒƒ์ด๋ฉฐ Fig. 3์— ๋‚˜ํƒ€๋‚ด์—ˆ๋‹ค.

Table 3 Mix proportions for mortar samples

/Resources/kci/JKCI.2017.29.6.633/images/Table_CONCRETE_29_06_12_T3.jpg
Fig. 2

Photos for a vibrated and rolled manufacturing process : (a) mixing, (b) input, (c) vibrating and rolling, (d) demolding

/Resources/kci/JKCI.2017.29.6.633/images/Figure_CONCRETE_29_06_12_F2.jpg
Fig. 3

Photos for a steam curing process. (a) constant temperature and humidity chamber, (b) cycle of curing time

/Resources/kci/JKCI.2017.29.6.633/images/Figure_CONCRETE_29_06_12_F3.jpg

2.4 NT Build 492์— ๋”ฐ๋ฅธ ์ด‰์ง„์—ผํ™”๋ฌผ ์‹œํ—˜

์ „์œ„์ฐจ ์ด‰์ง„ ์‹œํ—˜๋ฒ•์— ์˜ํ•œ ๋น„์ •์ƒ ์ƒํƒœ์˜ ์—ผํ™”๋ฌผ ์ด์˜จ ์ด๋™๊ณ„์ˆ˜๋Š” Tangโ€™s method(Zhang and Gjร˜rv 1994)์— ๊ธฐ์ดˆํ•œ NT Build 492์— ๋”ฐ๋ฅธ ์‹œํ—˜์œผ๋กœ ๊ตฌํ•˜์˜€๋‹ค. ์šฐ์„  ์ „์œ„์ฐจ์— ์˜ํ•œ ์—ผํ™”๋ฌผ์ด์˜จ ์ด๋™๊ณ„์ˆ˜๋ฅผ ํ‰๊ฐ€ํ•˜๊ธฐ ์œ„ํ•˜์—ฌ ํ™•์‚ฐ์…€์„ ๊ตฌ์„ฑํ•˜์˜€๋‹ค. ์Œ๊ทน์…€(cell) ์šฉ์•ก์€ 0.5 M์˜ ์—ผํ™”๋‚˜ํŠธ๋ฅจ(NaCl) ์šฉ์•ก์„ ์‚ฌ์šฉํ•˜์˜€๋‹ค. ์–‘๊ทน์…€ ์šฉ์•ก์€ 0.3 M์˜ ์ˆ˜์‚ฐํ™”์นผ์Š˜(Ca(OH)2) ์šฉ์•ก์„ ์‚ฌ์šฉํ•˜์˜€๋‹ค. ๋‘๊ป˜ 50 mm์ด๊ณ  ์ง€๋ฆ„ 100 mm์ธ ์›์ฃผํ˜• ๊ณต์‹œ์ฒด ๋‚ด๋ถ€์— ํฌํ™”๋˜์–ด ์žˆ๋Š” ๋ชจ์„ธ๊ด€์ˆ˜ ๋ฐ ์ธต๊ฐ„์ˆ˜ ๋“ฑ์„ ์ œ๊ฑฐํ•˜๊ธฐ ์œ„ํ•ด 3์‹œ๊ฐ„์˜ ์ง„๊ณต์ฒ˜๋ฆฌ๋ฅผ ์‹ค์‹œํ•˜์˜€๋‹ค. ๊ทธ ํ›„ ํฌํ™” Ca(OH)2 ์ˆ˜์šฉ์•ก์„ ์ฃผ์ž…์‹œํ‚จ ํ›„ ๋Œ€๊ธฐ์•• ์ƒํƒœ์—์„œ 18ยฑ2 ์‹œ๊ฐ„๋™์•ˆ ์นจ์ง€ํ•˜๋Š” ์ „์ฒ˜๋ฆฌ ๊ณผ์ •์„ ๊ฑฐ์ณค๋‹ค. ํ™•์‚ฐ์…€์— ์ดˆ๊ธฐ 30 V ์ „์••์„ ๊ฐ€ํ–ˆ์„ ๋•Œ์˜ ์ดˆ๊ธฐ ์ „๋ฅ˜๊ฐ’์„ ๊ธฐ์ดˆ๋กœ ๊ฐ€์••์ „์•• ๋ฐ ์‹œํ—˜๊ธฐ๊ฐ„์„ ๊ฒฐ์ •ํ•˜์˜€๋‹ค. ์—ผํ™”๋ฌผ ์นจํˆฌ๊นŠ์ด๋Š” ์‹œํ—˜์ด ์ข…๋ฃŒ๋œ ํ›„ ์‹œํ—˜ํŽธ์„ ์ชผ๊ฐœ์–ด ์ ˆ๋‹จ๋ฉด์— 0.1M์˜ ์งˆ์‚ฐ์€(AgNO3) ์šฉ์•ก์„ ๋ถ„๋ฌดํ•˜์˜€์„ ๋•Œ ์€ํšŒ์ƒ‰์œผ๋กœ ๋ณ€์ƒ‰๋œ ๋ถ€์œ„๋ฅผ ์ธก์ •ํ•˜์˜€๋‹ค. ์‹œํ—˜๊ฒฐ๊ณผ๋Š” ๊ณต์‹œ์ฒด 5๊ฐœ์— ๋Œ€ํ•˜์—ฌ ์ธก์ •๊ฐ’ ์ค‘ ์ตœ๊ณ ๊ฐ’๊ณผ ์ตœ์†Œ๊ฐ’์„ ์ œ์™ธํ•œ ๊ณต์‹œ์ฒด 3๊ฐœ์˜ ํ‰๊ท ๊ฐ’์œผ๋กœ ์†Œ์ˆ˜์  ์ดํ•˜์—์„œ ๋๋งบ์Œํ•˜์˜€๋‹ค. ์ ์šฉ์ „์•• ๋ฐ ์ฝ˜ํฌ๋ฆฌํŠธ ์‹œํŽธ์˜ ์‹œํ—˜์‹œ๊ฐ„์€ Table 4์™€ ๊ฐ™๋‹ค.

์ธก์ •์€ ๊ณต์‹œ์ฒด ์–‘๋‹จ์˜ 10 mm๋ฅผ ์ œ์™ธํ•˜๊ณ  ์ค‘์‹ฌ์—์„œ ์™ธ์ธก๋ฐฉํ–ฅ์œผ๋กœ 10 mm ๊ฐ„๊ฒฉ์”ฉ 7๊ณณ์„ ์ธก์ •ํ•˜์—ฌ ๊ทธ ํ‰๊ท ๊นŠ์ด๋ฅผ ์—ผํ™”๋ฌผ์˜ ์นจํˆฌ๊นŠ์ด๋กœ ํ•˜์˜€๋‹ค. ๋น„์ •์ƒ์ƒํƒœ์—์„œ์˜ ์ด‰์ง„ ์—ผํ™”๋ฌผ ์ด๋™๊ณ„์ˆ˜(rapid chloride migration coefficient) ์‚ฐ์ •์€ ์‹(1)์— ์˜ํ•ด ์‚ฐ์ถœํ•˜์˜€๋‹ค.

Table 4 Test condition according to the initial current value

/Resources/kci/JKCI.2017.29.6.633/images/Table_CONCRETE_29_06_12_T4.jpg

/Resources/kci/JKCI.2017.29.6.633/images/PICA5D2.gif              (1)

์—ฌ๊ธฐ์„œ, /Resources/kci/JKCI.2017.29.6.633/images/PICA5E3.gif = ์ด‰์ง„ ์—ผํ™”๋ฌผ ์ด์˜จ ์ด๋™๊ณ„์ˆ˜ (m2/sec)

      /Resources/kci/JKCI.2017.29.6.633/images/PICA603.gif

      

      /Resources/kci/JKCI.2017.29.6.633/images/PICA614.gif = ์—ผํ™”๋ฌผ ์ด์˜จ์— ๋Œ€ํ•œ ์ด์˜จ ์›์ž๊ฐ€(=1)

      /Resources/kci/JKCI.2017.29.6.633/images/PICA673.gif = ํŒจ๋Ÿฌ๋ฐ์ด ์ƒ์ˆ˜(9.648๏ฝฅ104 J๏ฝฅ(K๏ฝฅmol)-1)

      /Resources/kci/JKCI.2017.29.6.633/images/PICA674.gif = ๊ธฐ์ฒด์ƒ์ˆ˜(8.314 J๏ฝฅ(K๏ฝฅmol)-1)

      /Resources/kci/JKCI.2017.29.6.633/images/PICA675.gif = ์šฉ์•ก์˜จ๋„(K)

      /Resources/kci/JKCI.2017.29.6.633/images/PICA721.gif = ์–‘๊ทน์™€ ์Œ๊ทน ์‚ฌ์ด์˜ ์ „์œ„์ฐจ(V)

      /Resources/kci/JKCI.2017.29.6.633/images/PICA780.gif = ์‹œํŽธ์˜ ๋‘๊ป˜(m)

      /Resources/kci/JKCI.2017.29.6.633/images/PICA791.gif = ์—ผํ™”๋ฌผ์ด์˜จ์˜ ์นจํˆฌ๊นŠ์ด(m)

      /Resources/kci/JKCI.2017.29.6.633/images/PICA7E0.gif = ์˜ค์ฐจํ•จ์ˆ˜์˜ ์—ญํ•จ์ˆ˜

      /Resources/kci/JKCI.2017.29.6.633/images/PICA7E1.gif = ์ƒ‰๊น”์ด ๋ณ€ํ™”ํ•˜๋Š” ์œ„์น˜์—์„œ์˜ ์—ผํ™”๋ฌผ ๋†๋„(=0.07 N)

      /Resources/kci/JKCI.2017.29.6.633/images/PICA811.gif = ์ƒ๋ถ€์…€ ์‹œ์•ฝ์˜ ์—ผํ™”๋ฌผ ๋†๋„(=2N)

2.5 ํ†ต๊ณผ ์ „ํ•˜๋Ÿ‰ ์ธก์ •์‹œํ—˜

ASTM C 1202-10์™€ KS F 2711์— ๊ธฐ์ดˆํ•˜์—ฌ ์—ผํ™”๋ฌผ ์ด์˜จ์˜ ํ†ต๊ณผ ์ „ํ•˜๋Ÿ‰ ์ธก์ •์‹œํ—˜์„ ์‹ค์‹œํ•˜์˜€๋‹ค. ์ง€๋ฆ„ 100 mm, ๋‘๊ป˜ 50 mm์ธ ์›ํ†ตํ˜• ์‹œํ—˜ํŽธ์„ ๋Œ€์ƒ์œผ๋กœ ์žฌ๋ น 7์ผ ๋ฐ 28์ผ ์— ์ˆ˜ํ–‰ํ•˜์˜€๋‹ค. Fig. 4์™€ ๊ฐ™์ด ์‹œํ—˜ํŽธ์˜ ์œ—๋ฉด๊ณผ ๋ฉดํ•˜๊ณ  ์žˆ๋Š” ์‹œํ—˜์…€์„ 3.0 % NaCl ์šฉ์•ก์œผ๋กœ ์ฑ„์šด๋‹ค. ์‹œํ—˜์…€์˜ ์ด์ชฝ์„ ์ „์›๊ณต๊ธ‰์žฅ์น˜์˜ ์Œ๊ทน๋ถ€์— ์—ฐ๊ฒฐํ•œ๋‹ค. ์‹œํ—˜์…€์˜ ๋‹ค๋ฅธ์ชฝ์€ 0.3 N NaOH ์šฉ์•ก์„ ์ฑ„์šฐ๊ณ  ์ „์› ๊ณต๊ธ‰ ์žฅ์น˜์˜ ์–‘๊ทน๋ถ€์— ์—ฐ๊ฒฐํ•œ๋‹ค. ์ „์›๊ณต๊ธ‰์žฅ์น˜๋ฅผ ํ†ตํ•ด 60.0ยฑ0.1 V๋กœ ์ „์••์„ ๋งž์ถ˜๋‹ค. ์ดˆ๊ธฐ์ „๋ฅ˜๊ฐ’์„ ์ธก์ •ํ•œ ํ›„ 30๋ถ„ ๊ฐ„๊ฒฉ์œผ๋กœ 6์‹œ๊ฐ„ ๋™์•ˆ์˜ ์ „๋ฅ˜๊ฐ’์„ ์ธก์ •ํ•œ๋‹ค. ์‹œ๊ฐ„์— ๋”ฐ๋ฅธ ์ „๋ฅ˜์˜ ๋ณ€ํ™”๋ฅผ ์—ฐ์†๋œ ๊ณก์„ ์œผ๋กœ ๊ทธ๋ฆฌ๊ณ  ๊ณก์„ ์˜ ์•„๋žซ๋ถ€๋ถ„์˜ ๋ฉด์ ์„ ์‹ (2)๋กœ ๊ณ„์‚ฐํ•œ ํ›„ ์ด 6์‹œ๊ฐ„ ๋™์•ˆ์˜ ํ†ต๊ณผ ์ „ํ•˜๋Ÿ‰(coulomb)์„ ๊ฒฐ์ •ํ•œ๋‹ค. ์ด ํ†ต๊ณผ์ „ํ•˜๋Ÿ‰์€ ์‹œํ—˜ ๊ธฐ๊ฐ„ ๋™์•ˆ์˜ ์ฝ˜ํฌ๋ฆฌํŠธ์˜ ์ „๊ธฐ ์ „๋„๋„๋ฅผ ๋‚˜ํƒ€๋‚ด๋Š” ๊ฐ’์œผ๋กœ ์ฝ˜ํฌ๋ฆฌํŠธ์˜ ์—ผํ™”๋ฌผ ์นจํˆฌ์ €ํ•ญ์„ฑ์˜ ์ง€ํ‘œ๋กœ ์‚ฌ์šฉ๋œ๋‹ค.

Fig. 4

Photo for experimental equipment of accelerated chloride ion penetration

/Resources/kci/JKCI.2017.29.6.633/images/Figure_CONCRETE_29_06_12_F4.jpg

/Resources/kci/JKCI.2017.29.6.633/images/PICA821.gif (2)

์—ฌ๊ธฐ์„œ, /Resources/kci/JKCI.2017.29.6.633/images/PICA822.gif : ํ†ต๊ณผ์ „ํ•˜๋Ÿ‰(coulomb)

      /Resources/kci/JKCI.2017.29.6.633/images/PICA862.gif : ์ „์•• ์ธ๊ฐ€ ์งํ›„ ์ „๋ฅ˜(amperes)

      /Resources/kci/JKCI.2017.29.6.633/images/PICA863.gif : ์ „์••์„ ๊ฐ€ํ•œ ํ›„ /Resources/kci/JKCI.2017.29.6.633/images/PICA874.gif๋ถ„ ๊ฒฝ๊ณผ ํ›„์˜ ์ „๋ฅ˜(amperes)

2.6 ํœจ๊ฐ•๋„ ๋ฐ ์••์ถ•๊ฐ•๋„์‹œํ—˜

๋ฐฐํ•ฉ์‹œํŽธ์— ๋Œ€ํ•œ ํœจ ๋ฐ ์••์ถ•๊ฐ•๋„์‹œํ—˜์€ KS F 4042์— ๊ธฐ์ดˆํ•˜์—ฌ ์ˆ˜ํ–‰ํ•˜์˜€๋‹ค. Fig. 5์— ๋‚˜ํƒ€๋‚ธ ๋ฐ”์™€ ๊ฐ™์ด 40 mmร—40 mmร—160 mm์ธ ๋ชจ๋ฅดํƒ€๋ฅด์šฉ ํœจ๊ฐ•๋„ ์‹œํŽธ์„ ์ด์šฉํ•˜์—ฌ ์žฌ๋ น 1์ผ, 3์ผ, 7์ผ, 28์ผ์— ํœจ๊ฐ•๋„ ์‹œํ—˜์„ ์ˆ˜ํ–‰ํ•œ ํ›„ ์ชผ๊ฐœ์ง„ ์กฐ๊ฐ์œผ๋กœ ์••์ถ•๊ฐ•๋„ ์‹œํ—˜์„ ์‹ค์‹œํ•˜์˜€๋‹ค.

Fig. 5

Photo for strength test equipments : (a) flexural strength test, (b) compressive strength test

/Resources/kci/JKCI.2017.29.6.633/images/Figure_CONCRETE_29_06_12_F5.jpg

3. ์‹คํ—˜๊ฒฐ๊ณผ ๋ฐ ํ‰๊ฐ€

3.1 ์ฝ˜ํฌ๋ฆฌํŠธ์˜ ๊ฐ•๋„ ํ‰๊ฐ€

3.1.1 ํœจ๊ฐ•๋„ ํ‰๊ฐ€

ํœจ๊ฐ•๋„ ํ‰๊ฐ€๋Š” ์žฌ๋ น 1, 3, 7, 28์ผ์— KS F 4042์— ๋”ฐ๋ผ ์ˆ˜ํ–‰ํ•˜์˜€๊ณ  Fig. 6์— ํœจ๊ฐ•๋„ ์‹œํ—˜ ๊ฒฐ๊ณผ๊ฐ’์„ ๋‚˜ํƒ€๋‚ด์—ˆ๋‹ค. ์žฌ๋ น์— ๋”ฐ๋ผ ํœจ๊ฐ•๋„๊ฐ€ ์ฆ๊ฐ€ํ•˜๋Š” ๊ฒฝํ–ฅ์„ ๋ณด์˜€์œผ๋ฉฐ, ๋ถ„๋ง๋„๊ฐ€ 3,560 cm2/g์ธ B1์„ ์‚ฌ์šฉํ•œ ์‹œํŽธ์˜ ๊ฒฝ์šฐ ์žฌ๋ น 7์ผ์—์„œ 28์ผ ๊ตฌ๊ฐ„์—์„œ ํœจ๊ฐ•๋„๊ฐ€ ํฌ๊ฒŒ ์ฆ๊ฐ€ํ•˜๋Š” ๊ฒฝํ–ฅ์„ ๋ณด์˜€๋‹ค. FNS ์น˜ํ™˜์œจ 10โˆผ30 %์—์„œ ์ด๋Ÿฐ ๊ฒฝํ–ฅ์ด ๋‘๋“œ๋Ÿฌ์กŒ์œผ๋ฉฐ 40 % ์ดํ›„์—์„  ํœจ๊ฐ•๋„ ์ฆ๊ฐ€์œจ์ด ์ ์ฐจ ๊ฐ์†Œํ•˜๋Š” ๊ฒฝํ–ฅ์„ ๋ณด์˜€๋‹ค. ๋ถ„๋ง๋„๊ฐ€ 4,840 cm2/g์ธ B2๋ฅผ ์‚ฌ์šฉํ•œ ์‹œํŽธ์˜ ๊ฒฝ์šฐ์—๋Š” ์ดˆ๊ธฐ๊ฐ•๋„ ๋ฐœํ˜„์ด B1์— ๋น„ํ•ด ํฌ๊ฒŒ ๋‚˜ํƒ€๋‚ฌ๋‹ค. ํŠนํžˆ 1, 3, 7์ผ ๊ฐ•๋„์—์„œ B1์— ๋น„ํ•ด ํœจ๊ฐ•๋„๊ฐ€ ์ฆ๊ฐ€ํ•˜๋Š” ๊ฒฝํ–ฅ์„ ๋‚˜ํƒ€๋ƒˆ๋‹ค. ํŠนํžˆ ์น˜ํ™˜์œจ 40, 50 %์ธ ๊ฒฝ์šฐ B1๊ณผ ๋น„๊ตํ•ด์„œ ํœจ๊ฐ•๋„ ์ฆ๊ฐ€๊ฐ€ ๋ชจ๋“  ์žฌ๋ น๋ฒ”์œ„์—์„œ ํฌ๊ฒŒ ๋‚˜ํƒ€๋‚ฌ๋‹ค. 28์ผ ํœจ๊ฐ•๋„๋ฅผ ๊ธฐ์ค€์œผ๋กœ ํ•˜๋ฉด B1์„ ์‚ฌ์šฉํ•œ ์‹œํŽธ์—์„  FNS 20 % ์น˜ํ™˜ ์‹œ OPC ๋Œ€๋น„ ์ตœ๋Œ€ 24.8 % ํœจ๊ฐ•๋„๊ฐ€ ์ฆ๊ฐ€ํ•˜์˜€๋‹ค. ์น˜ํ™˜์œจ 10โˆผ30 % ๊ตฌ๊ฐ„์—์„œ๋Š” ํœจ๊ฐ•๋„๊ฐ€ ์ฆ๊ฐ€ํ•œ ๋ฐ˜๋ฉด 40, 50 % ์น˜ํ™˜ ์‹œ์—๋Š” ํฐ ํญ์œผ๋กœ ํœจ๊ฐ•๋„๊ฐ€ ๊ฐ์†Œํ•˜๋Š” ๊ฒฝํ–ฅ์„ ๋ณด์˜€๋‹ค. B2๋ฅผ ์‚ฌ์šฉํ•œ ์‹œํŽธ์—์„  28์ผ ๊ฐ•๋„ ๊ธฐ์ค€์œผ๋กœ๋Š” 40 % ์น˜ํ™˜ ์‹œ OPC ๋Œ€๋น„ ์ตœ๋Œ€ 19.8 % ํœจ๊ฐ•๋„๊ฐ€ ์ฆ๊ฐ€ํ•˜์˜€๋‹ค. ์ตœ๋Œ€๊ฐ’๋งŒ ๋น„๊ตํ•˜๋ฉด ์˜คํžˆ๋ ค B1 ์‹œํŽธ์—์„œ ํฐ ๊ฒฐ๊ณผ๊ฐ€ ๋‚˜์™”์ง€๋งŒ ์ „์ฒด์ ์œผ๋กœ B2 ์‹œํŽธ์˜ ๊ฐ•๋„๊ฐ€ โ€“8.4โˆผ313.7 % ๋ฒ”์œ„๋กœ ํ‰๊ท  90.9 %๊ฐ€ ์ฆ๊ฐ€ํ•˜์˜€๋‹ค. 1, 3, 7์ผ ์žฌ๋ น์—์„œ๋„ ๋ถ„๋ง๋„๊ฐ€ ํฐ B2 ์‹œํŽธ์ด B1์— ๋น„ํ•ด ํœจ๊ฐ•๋„๊ฐ€ ์ฆ๊ฐ€ํ•˜์˜€์œผ๋ฉฐ FNS์˜ ์น˜ํ™˜์œจ์ด ํฐ 40, 50 %์—์„œ ๋”์šฑ ๋šœ๋ ทํ•œ ๊ฒฝํ–ฅ์„ ๋‚˜ํƒ€๋ƒˆ๋‹ค.

Fig. 6

Results of flexural strength test : (a) B1 series, (b) B2 series

/Resources/kci/JKCI.2017.29.6.633/images/Figure_CONCRETE_29_06_12_F6.jpg

3.1.2 ์••์ถ•๊ฐ•๋„ ํ‰๊ฐ€

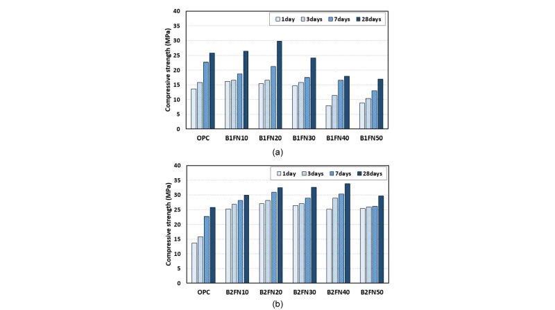
์••์ถ•๊ฐ•๋„ ํ‰๊ฐ€๋„ ํœจ๊ฐ•๋„์™€ ๋™์ผํ•œ ์žฌ๋ น์— ์‹ค์‹œํ•˜์˜€์œผ๋ฉฐ Fig. 7์— ์••์ถ•๊ฐ•๋„ ํ‰๊ฐ€ ๊ฒฐ๊ณผ๊ฐ’์„ ๋‚˜ํƒ€๋‚ด์—ˆ๋‹ค. ์žฌ๋ น์— ๋”ฐ๋ผ ๊ฐ•๋„๊ฐ€ ์ฆ๊ฐ€ํ•˜๋Š” ๊ฒฝํ–ฅ์„ ๋‚˜ํƒ€๋ƒˆ์œผ๋ฉฐ ๋ถ„๋ง๋„๊ฐ€ ์ž‘์€ B1์— ๋น„ํ•ด ๋ถ„๋ง๋„๊ฐ€ ํฐ B2๋ฅผ ์‚ฌ์šฉํ•œ ์‹œํŽธ์—์„œ 1, 3, 7์ผ ๋“ฑ์˜ ์ดˆ๊ธฐ์žฌ๋ น์—์„œ์˜ ๊ฐ•๋„ ์ฆ๊ฐ€ ํšจ๊ณผ๊ฐ€ ํฌ๊ฒŒ ๋‚˜ํƒ€๋‚ฌ๋‹ค. 28์ผ ๊ฐ•๋„๋ฅผ ๊ธฐ์ค€์œผ๋กœ B1 ์‚ฌ์šฉ ์‹œํŽธ์—์„  ์น˜ํ™˜์œจ 10โˆผ20 % ๋ฒ”์œ„์—์„œ๋งŒ OPC ๋Œ€๋น„ ์ตœ๋Œ€ 15.8 % ์••์ถ•๊ฐ•๋„๊ฐ€ ์ฆ๊ฐ€ํ•˜์˜€์œผ๋ฉฐ, 30 % ์น˜ํ™˜์œจ ๋ถ€ํ„ฐ๋Š” OPC ๋Œ€๋น„ ๊ฐ•๋„๊ฐ€ ์ €ํ•˜๋˜๋Š” ๊ฒฝํ–ฅ์„ ๋‚˜ํƒ€๋ƒˆ๋‹ค. ๋ฐ˜๋ฉด B2๋ฅผ ์‚ฌ์šฉํ•œ ์‹œํŽธ์—์„  OPC์™€ ๋น„๊ตํ•ด์„œ ๋ชจ๋“  ์น˜ํ™˜์œจ์—์„œ ์••์ถ•๊ฐ•๋„๊ฐ€ ์ฆ๊ฐ€ํ•˜์˜€์œผ๋ฉฐ ์น˜ํ™˜์œจ 40 %์—์„œ ์ตœ๋Œ€ 26.9% ์••์ถ•๊ฐ•๋„๊ฐ€ ํ–ฅ์ƒ๋˜์—ˆ๋‹ค. ์ „์ฒด์ ์œผ๋กœ ํœจ๊ฐ•๋„ ๋ฐ ์••์ถ•๊ฐ•๋„์˜ ๊ฐ•๋„ ๋ฐœํ˜„ ์ •๋„ ๋ฐ ๊ฒฝํ–ฅ์ด ์œ ์‚ฌํ•˜์˜€๋‹ค. 28์ผ ๊ฐ•๋„ ๊ธฐ์ค€์œผ๋กœ ๋ถ„๋ง๋„ 4,840 cm2/g์ธ B2๋ฅผ ์‚ฌ์šฉํ•œ ์‹œํŽธ์˜ ๊ฐ•๋„๊ฐ€ ๋ถ„๋ง๋„ 3,560 cm2/g์ธ B1์— ๋น„ํ•ด 8.9โˆผ88.9 % ๋ฒ”์œ„๋กœ ํ‰๊ท  44.3 % ํ–ฅ์ƒ๋˜์—ˆ๋‹ค. ํŠนํžˆ ์ดˆ๊ธฐ๊ฐ•๋„์ธ 1์ผ ๊ฐ•๋„๋ฅผ ๊ธฐ์ค€์œผ๋กœ ๋ณด๋ฉด B2๋ฅผ ์‚ฌ์šฉํ•œ ์‹œํŽธ๋“ค์ด B1๊ณผ ๋น„๊ตํ•ด์„œ 56.5โˆผ217.7 % ๋ฒ”์œ„๋กœ ํ‰๊ท  123.9 % ํ–ฅ์ƒ๋˜์—ˆ์œผ๋ฉฐ, OPC์™€ ๋น„๊ตํ•˜๋ฉด 84.8โˆผ98.5 % ๋ฒ”์œ„๋กœ ํ‰๊ท  89.8 % ํ–ฅ์ƒ๋˜์—ˆ๋‹ค. ์ด๋Ÿฌํ•œ ๊ฒฐ๊ณผ๋ฅผ ํ†ตํ•ด ๋ฉ”์นด๋…ธ์ผ€๋ฏธ์ปฌ ๋ฐ˜์‘์— ๋”ฐ๋ฅธ ํ™œ์„ฑํ™” ํšจ๊ณผ๋ฅผ ํ™•์ธํ•  ์ˆ˜ ์žˆ์—ˆ๋‹ค.

Fig. 7

Results of compressive strength test : (a) B1 series, (b) B2 series

/Resources/kci/JKCI.2017.29.6.633/images/Figure_CONCRETE_29_06_12_F7.jpg

3.2 ์—ผํ™”๋ฌผ์ด์˜จ ์นจํˆฌ์ €ํ•ญ์„ฑ์˜ ๋ณ€ํ™”

3.2.1 ์ด‰์ง„์—ผํ™”๋ฌผ ์ด๋™๊ณ„์ˆ˜

NT Build 492์— ๊ธฐ์ดˆํ•ด์„œ ์‹œํŽธ์— ๋Œ€ํ•œ ์—ผํ™”๋ฌผ ์นจํˆฌ๊นŠ์ด ์ธก์ •๊ฒฐ๊ณผ๋กœ๋ถ€ํ„ฐ ์‹ (1)์„ ์‚ฌ์šฉํ•˜์—ฌ ๋น„์ •์ƒ์ƒํƒœ ์ด‰์ง„ ์—ผํ™”๋ฌผ ์ด๋™๊ณ„์ˆ˜ DRCM์„ ๋„์ถœํ•˜๊ณ  ๊ทธ ๊ฒฐ๊ณผ๋ฅผ Fig. 8์— ๋‚˜ํƒ€๋‚ด์—ˆ๋‹ค. ๋ถ„๋ง๋„๊ฐ€ ์ž‘์€ B1์„ ์‚ฌ์šฉํ•œ ์‹œํŽธ์€ 28์ผ์„ ๊ธฐ์ค€์œผ๋กœ FNS 30 % ์น˜ํ™˜๊นŒ์ง€๋Š” ์น˜ํ™˜๋น„์œจ์˜ ์ฆ๊ฐ€์— ๋น„๋ก€ํ•ด์„œ ์ด๋™๊ณ„์ˆ˜๊ฐ€ ๊ฐ์†Œํ•˜๋ฉฐ, 30 % ์น˜ํ™˜์œจ์—์„œ OPC ๋Œ€๋น„ ์ตœ๋Œ€ 37.2 % ์ด๋™๊ณ„์ˆ˜๊ฐ€ ๊ฐ์†Œํ•˜์˜€๋‹ค. FNS 40 % ์น˜ํ™˜๋ถ€ํ„ฐ๋Š” ๊ฐ์†Œํญ์ด ์ค„์—ˆ์ง€๋งŒ ๋ชจ๋“  ์น˜ํ™˜๋น„์œจ์—์„œ ์ด๋™๊ณ„์ˆ˜ ๊ฐ์†Œํšจ๊ณผ๋ฅผ ํ™•์ธํ•  ์ˆ˜ ์žˆ์—ˆ๋‹ค. ๋ถ„๋ง๋„๊ฐ€ ํฐ B2๋ฅผ ์‚ฌ์šฉํ•œ ์‹œํŽธ์˜ ๊ฒฝ์šฐ์—๋Š” 28์ผ ๊ธฐ์ค€์œผ๋กœ FNS 40 % ์น˜ํ™˜๊นŒ์ง€ ์น˜ํ™˜๋น„์œจ์˜ ์ฆ๊ฐ€์— ๋น„๋ก€ํ•ด์„œ ๊ฐ์†Œ๋˜์—ˆ์œผ๋ฉฐ ์น˜ํ™˜์œจ 40 %์—์„œ OPC๋Œ€๋น„ ์ตœ๋Œ€ 63.6 % ์ •๋„ ๊ฐ์†Œํ•˜์˜€๋‹ค. ์žฌ๋ น 28์ผ ๊ธฐ์ค€์œผ๋กœ ๋™์ผํ•œ ์น˜ํ™˜์œจ์—์„œ B1๊ณผ B2์˜ ์ด๋™๊ณ„์ˆ˜๊ฐ’์„ ๋น„๊ตํ•˜๋ฉด ๋ถ„๋ง๋„๊ฐ€ ํฐ B2๋ฅผ ์‚ฌ์šฉํ•œ ๊ฒฝ์šฐ 4.7โˆผ45.8 % ๋ฒ”์œ„๋กœ ํ‰๊ท  19.6 % ์ •๋„ ๊ฐ์†Œํ•˜๋Š” ๊ฒƒ์œผ๋กœ ๋‚˜ํƒ€๋ƒˆ๋‹ค. ์žฌ๋ น 7์ผ์—์„œ 28์ผ๋กœ ์ฆ๊ฐ€ํ•˜๋ฉด์„œ OPC์˜ ๊ฒฝ์šฐ ์ด๋™๊ณ„์ˆ˜๊ฐ€ 12.4 % ๊ฐ์†Œ์— ๊ทธ์นœ ๋ฐ˜๋ฉด B1 ์‚ฌ์šฉ ์‹œ 21.3โˆผ38.3 % ๋ฒ”์œ„๋กœ ๊ฐ์†Œํ•˜๋ฉฐ ๊ฐ์†Œ์œจ์ด ์ฆ๊ฐ€ํ•˜๋Š” ๊ฒฝํ–ฅ์„ ๋ณด์˜€๋‹ค. B2 ์‚ฌ์šฉ ์‹œ์—๋Š” 15.9โˆผ40.6 %์˜ ๊ฐ์†Œ์œจ๋กœ ๋”์šฑ ํฌ๊ฒŒ ์ฆ๊ฐ€ํ•˜์˜€๋‹ค. ๊ฐ•๋„ ์‹œํ—˜๊ฒฐ๊ณผ์™€ ๋งˆ์ฐฌ๊ฐ€์ง€๋กœ ์ด‰์ง„ ์—ผํ™”๋ฌผ ์นจํˆฌ ์‹œํ—˜๊ฒฐ๊ณผ๋กœ๋ถ€ํ„ฐ FNS์˜ ๋ฉ”์นด๋…ธ์ผ€๋ฏธ์ปฌ ํ™œ์„ฑํ™”์ž‘์šฉ์— ๋”ฐ๋ผ ์ˆ˜๋ฐ€์„ฑ์ด ํฌ๊ฒŒ ๊ฐœ์„ ๋œ ๊ฒƒ์„ ํ™•์ธํ•  ์ˆ˜ ์žˆ์—ˆ๋‹ค. ํ˜„์žฌ SEM, XRD ๋“ฑ์˜ ๋ฏธ์‹œ์  ๋ถ„์„์ž‘์—…์ด ๋งˆ๋ฌด๋ฆฌ ๋˜์ง€ ์•Š์•„ ์ˆ˜๋ฐ€์„ฑ ํ–ฅ์ƒํšจ๊ณผ์— ๋Œ€ํ•œ ์›์ธ์„ ๋ช…ํ™•ํ•˜๊ฒŒ ์ •์˜ํ•˜๊ธฐ๋Š” ์–ด๋ ต์ง€๋งŒ, FNS์˜ ํ˜ผ์ž…์ด ๊ณต๊ทน๊ตฌ์กฐ์˜ ๊ฐœ์„ ๊ณผ MgO์— ๋”ฐ๋ฅธ ์—ํŠธ๋ž€์ž์ดํŠธ์˜ ์ถ”๊ฐ€์ ์ธ ์ƒ์„ฑ์œผ๋กœ ์ธํ•œ ์ž์œ ์—ผํ™”๋ฌผ ํก์ฐฉ๊ณผ ํ™•์‚ฐ์„ฑ์˜ ๊ฐ์†Œ์— ๊ธฐ์ธํ•œ๋‹ค๊ณ  ํŒ๋‹จ๋œ๋‹ค.

Fig. 8

Results of rapid chloride migration coefficient : (a) B1 series, (b) B2 series

/Resources/kci/JKCI.2017.29.6.633/images/Figure_CONCRETE_29_06_12_F8.jpg

3.2.2 ํ†ต๊ณผ์ „ํ•˜๋Ÿ‰

๊ฐ ์‹œํ—˜ํŽธ์— ๋Œ€ํ•˜์—ฌ ASTM C 1202 ๋ฐ KS F 2711์— ๊ธฐ์ดˆํ•˜์—ฌ ์ธก์ •ํ•œ 6์‹œ๊ฐ„ ๋™์•ˆ์˜ ํ†ต๊ณผ์ „ํ•˜๋Ÿ‰๊ฐ’์€ Fig. 9์— ๋‚˜ํƒ€๋‚ด์—ˆ๋‹ค. ์ธก์ •๊ฒฐ๊ณผ๊ฐ’์€ ๋‹ค์–‘ํ•œ ํ˜•ํƒœ์˜ ์ฝ˜ํฌ๋ฆฌํŠธ ์Šฌ๋ž˜๋ธŒ์—์„œ ์ฑ„์ทจํ•œ ์ฝ”์•„์‹œํ—˜ํŽธ์œผ๋กœ๋ถ€ํ„ฐ ์–ป์€ ์ธก์ •๊ฒฐ๊ณผ๊ฐ’์„ ๋“ฑ๊ธ‰ํ™”์‹œํ‚จ ASTM C 1202์—์„œ ์ œ์‹œํ•œ Table 5์™€ ๋น„๊ตํ•˜์—ฌ ํ‰๊ฐ€ํ•˜์˜€๋‹ค. ํ†ต๊ณผ ์ „ํ•˜๋Ÿ‰๊ฐ’์€ ์ด‰์ง„์—ผํ™”๋ฌผ ์ด๋™๊ณ„์ˆ˜ ์ธก์ •๊ฒฐ๊ณผ์™€ ์œ ์‚ฌํ•œ ๊ฒฝํ–ฅ์˜ ๊ฒฐ๊ณผ๊ฐ€ ๋„์ถœ๋˜์—ˆ๋‹ค. ์žฌ๋ น 7์ผ์—์„œ๋Š” OPC๋Š” 15,615 coulomb์œผ๋กœ Table 5์˜ ๋“ฑ๊ธ‰ ๊ธฐ์ค€์— ๋”ฐ๋ฅด๋ฉด ์—ผํ™”๋ฌผ์ด์˜จ ํˆฌ๊ณผ์„ฑ์ด ๋งค์šฐ ๋†’์€ ๊ฒƒ์œผ๋กœ ๋‚˜ํƒ€๋‚ฌ๋‹ค. B1 ์‚ฌ์šฉ ์‹œ์—๋Š” 20 % ์น˜ํ™˜์œจ์—์„œ 7,614 coulomb์œผ๋กœ ์ตœ์†Œ๊ฐ’์ด์—ˆ์œผ๋ฉฐ Table 5์˜ ๋“ฑ๊ธ‰ ๊ธฐ์ค€์— ๋”ฐ๋ฅด๋ฉด ์—ฌ์ „ํžˆ ํˆฌ๊ณผ์„ฑ์ด ๋†’์€ ๊ฒƒ์œผ๋กœ ๋‚˜ํƒ€๋‚ฌ๋‹ค. ๊ทธ๋Ÿฌ๋‚˜ OPC์™€ ๋น„๊ตํ•˜๋ฉด 19.5โˆผ37.3 % ๋ฒ”์œ„๋กœ ํ‰๊ท  34.0 % ์ •๋„ ํ†ต๊ณผ์ „ํ•˜๋Ÿ‰์ด ๊ฐ์†Œํ•˜์˜€๋‹ค. B2 ์‚ฌ์šฉ ์‹œ์—๋„ 4,000 coulomb ์ด์ƒ์˜ ํ†ต๊ณผ์ „ํ•˜๋Ÿ‰์œผ๋กœ ํˆฌ๊ณผ์„ฑ์ด ๋†’์€ ๊ฒƒ์œผ๋กœ ๋‚˜ํƒ€๋‚ฌ์œผ๋‚˜, OPC์™€ ๋น„๊ตํ•ด์„œ 51.0โˆผ64.9 % ๋ฒ”์œ„๋กœ ํ‰๊ท  58.1 % ์ •๋„ ํ†ต๊ณผ์ „ํ•˜๋Ÿ‰์ด ๊ฐ์†Œํ•˜์˜€๋‹ค. ๋™์ผํ•œ ์น˜ํ™˜์œจ์—์„œ์˜ B1๊ณผ ๋น„๊ตํ•˜๋ฉด 21.8โˆผ54.7 % ๋ฒ”์œ„๋กœ ํ‰๊ท  34.8 % ์ •๋„ ํ†ต๊ณผ์ „ํ•˜๋Ÿ‰์ด ๊ฐ์†Œํ•˜๋Š” ํšจ๊ณผ๊ฐ€ ์žˆ์—ˆ๋‹ค. ์žฌ๋ น 28์ผ์—์„œ๋Š” OPC๋Š” 6,417 coulomb์œผ๋กœ ์—ฌ์ „ํžˆ ํˆฌ๊ณผ์„ฑ์ด ๋†’์€ ๋‹จ๊ณ„์— ๋จธ๋ฌผ๋Ÿฌ ์žˆ์—ˆ์œผ๋‚˜, B1 ์‚ฌ์šฉ ์‹œ 40 % ์น˜ํ™˜์œจ์—์„œ 3,020 coulomb์œผ๋กœ ๋ณดํ†ต ๋‹จ๊ณ„๋กœ ๋‚ฎ์•„์กŒ์œผ๋ฉฐ OPC์™€ ๋น„๊ตํ•ด์„œ 21.6โˆผ42.0 % ๋ฒ”์œ„๋กœ ํ‰๊ท  32.4 % ํ†ต๊ณผ์ „ํ•˜๋Ÿ‰์ด ๊ฐ์†Œํ•˜์˜€๋‹ค. B2 ์‚ฌ์šฉ ์‹œ์—๋„ 40 % ์น˜ํ™˜์œจ์—์„œ 2,231 coulomb์œผ๋กœ ๋‚ฎ์€ ๋“ฑ๊ธ‰๊ณผ ๊ฐ€๊น๊ฒŒ ๊ฐ์†Œํ•˜์˜€์œผ๋ฉฐ OPC์™€ ๋น„๊ตํ•˜๋ฉด 40.6โˆผ65.2 % ๋ฒ”์œ„๋กœ ํ‰๊ท  52.0 % ํ†ต๊ณผ์ „ํ•˜๋Ÿ‰์ด ๊ฐ์†Œํ•˜์˜€๋‹ค. ๋™์ผํ•œ ์น˜ํ™˜์œจ์—์„œ B1 ๊ฒฐ๊ณผ๊ฐ’๊ณผ ๋น„๊ตํ•˜๋ฉด 2.2โˆผ40.1 % ๋ฒ”์œ„๋กœ ํ‰๊ท  28.4 % ์ •๋„ ๋ถ„๋ง๋„ ํ–ฅ์ƒ์— ๋”ฐ๋ฅธ ํ†ต๊ณผ์ „ํ•˜๋Ÿ‰ ๊ฐ์†Œํšจ๊ณผ๊ฐ€ ์žˆ์—ˆ๋‹ค. ๊ฐ•๋„ ๋ฐ ์ด‰์ง„์—ผํ™”๋ฌผ ์ด๋™๊ณ„์ˆ˜ ์‹œํ—˜๊ณผ ๋™์ผํ•˜๊ฒŒ FNS์˜ ํ˜ผ์ž…์— ๋”ฐ๋ฅธ ์„ฑ๋Šฅ๊ฐœ์„  ํšจ๊ณผ๊ฐ€ ํ™•์ธ๋˜์—ˆ๋‹ค. ๋˜ํ•œ ๋ถ„๋ง๋„๊ฐ€ ํ–ฅ์ƒ์— ๋”ฐ๋ฅธ ๋ฉ”์นด๋…ธ์ผ€๋ฏธ์ปฌ ๋ฐ˜์‘ ํšจ๊ณผ์— ๋”ฐ๋ฅธ ํ™œ์„ฑํ™” ํšจ๊ณผ๋„ ํ™•์ธํ•  ์ˆ˜ ์žˆ์—ˆ๋‹ค.

Table 5 Chloride ion permeability based on charge passed

/Resources/kci/JKCI.2017.29.6.633/images/Table_CONCRETE_29_06_12_T5.jpg
Fig. 9

Results of quantities of electric charge passed : (a) B1 series, (b) B2 series

/Resources/kci/JKCI.2017.29.6.633/images/Figure_CONCRETE_29_06_12_F9.jpg

3.3 ๊ฐ•๋„ ๋ฐ ์—ผํ™”๋ฌผ์ด์˜จ ์นจํˆฌ์ €ํ•ญ์„ฑ๋Šฅ ํ‰๊ฐ€

FNS์˜ ์น˜ํ™˜๋น„์œจ์— ๋”ฐ๋ฅธ ๊ฐ•๋„์™€ ์—ผํ™”๋ฌผ์ด์˜จ ์นจํˆฌ์ €ํ•ญ์„ฑ๋Šฅ์„ ์ข…ํ•ฉ์ ์œผ๋กœ ํ‰๊ฐ€ํ•˜๊ธฐ ์œ„ํ•ด OPC ์ธก์ •๊ฐ’์„ ๊ธฐ์ค€์œผ๋กœ ๊ฐ•๋„์˜ ๊ฒฝ์šฐ ์ฆ๊ฐ€ํ•˜๋Š” ๋น„์œจ์„ ์ด‰์ง„์—ผํ™”๋ฌผ ์ด๋™๊ณ„์ˆ˜ ๋ฐ ํ†ต๊ณผ์ „ํ•˜๋Ÿ‰์€ ๊ฐ์†Œํ•˜๋Š” ๋น„์œจ์„ ์–‘(+)์œผ๋กœ ๋‚˜ํƒ€๋‚ธ ์„ฑ๋Šฅ๊ฐœ์„ ์œจ๊ณผ FNS์น˜ํ™˜์œจ๊ณผ์˜ ๊ด€๊ณ„๋ฅผ Fig. 10์— ๋‚˜ํƒ€๋‚ด์—ˆ๋‹ค. ์ตœ์ ๋น„์œจ์€ 4๊ฐ€์ง€ ์‹œํ—˜๊ฒฐ๊ณผ์— ๋”ฐ๋ฅธ ์„ฑ๋Šฅ๊ฐœ์„ ์œจ์˜ ํ‰๊ท ๊ฐ’์œผ๋กœ ํŒ๋‹จํ•˜์˜€๋‹ค. B1์˜ ๊ฒฝ์šฐ 28์ผ ๊ฐ•๋„๋Š” ์น˜ํ™˜์œจ 30 % ์ •๋„๊นŒ์ง€๋Š” ๊ฐœ์„ ํšจ๊ณผ๊ฐ€ ์žˆ์œผ๋‚˜ ๊ทธ ์ดํ›„๋กœ๋Š” ๊ฐ์†Œํ•˜์˜€๋‹ค. ๋ฐ˜๋ฉด ์—ผํ™”๋ฌผ ์ด์˜จ ํ†ต๊ณผ์ „ํ•˜๋Ÿ‰๊ณผ ์ด๋™๊ณ„์ˆ˜๋Š” ์น˜ํ™˜์œจ 40โˆผ50 %๊นŒ์ง€ ๊ฐœ์„ ํšจ๊ณผ๊ฐ€ ์žˆ๋Š” ๊ฒƒ์œผ๋กœ ๋‚˜ํƒ€๋‚ฌ๋‹ค. ๊ฐ•๋„์™€ ๋‚ด๊ตฌ์„ฑ์„ ์ข…ํ•ฉ์ ์œผ๋กœ ํ‰๊ฐ€ํ•˜๋ฉด ์น˜ํ™˜๋น„์œจ 20โˆผ30 % ๋ฒ”์œ„์—์„œ ์„ฑ๋Šฅ๊ฐœ์„  ํšจ๊ณผ๋ฅผ ๊ฐ€์žฅ ๊ทน๋Œ€ํ™” ํ•  ์ˆ˜ ์žˆ๋Š” ๊ฒƒ์œผ๋กœ ๋‚˜ํƒ€๋‚ฌ๋‹ค. B2์˜ ๊ฒฝ์šฐ์—๋Š” ๊ฐ•๋„์™€ ์—ผํ™”๋ฌผ์ด์˜จ ์นจํˆฌ์ €ํ•ญ์„ฑ๋Šฅ ๋ชจ๋‘ FNS ํ˜ผ์ž…์— ๋”ฐ๋ผ ๋ชจ๋“  ์น˜ํ™˜์œจ ๋ฒ”์œ„ ๋‚ด์—์„œ ๊ฐœ์„ ๋˜๋Š” ํšจ๊ณผ๊ฐ€ ์žˆ์—ˆ๋‹ค. ์ „์ฒด์ ์œผ๋กœ๋Š” 40 % ๋ฒ”์œ„๊นŒ์ง€ ๊ฐœ์„ ์œจ์ด ์ฆ๊ฐ€๋˜์—ˆ์œผ๋ฉฐ 50 %์—์„œ๋Š” ๋‹ค์†Œ ๊ฐ์†Œ๋˜๋Š” ๊ฒฝํ–ฅ์„ ๋ณด์˜€๋‹ค. ๊ฐ•๋„์™€ ๋‚ด๊ตฌ์„ฑ์„ ์ข…ํ•ฉ์ ์œผ๋กœ ํ‰๊ฐ€ํ•˜๋ฉด ์น˜ํ™˜๋น„์œจ 30โˆผ40 % ๋ฒ”์œ„์—์„œ ๊ฐ€์žฅ ๊ฐœ์„ ์œจ์ด ํ–ฅ์ƒ๋˜๋Š” ๊ฒƒ์œผ๋กœ ํ‰๊ฐ€๋˜์—ˆ๋‹ค.

Fig. 10

Relationship between FNS replacement ratio and improvement ratio : (a) B1 series, (b) B2 series

/Resources/kci/JKCI.2017.29.6.633/images/Figure_CONCRETE_29_06_12_F10.jpg

4. ๊ฒฐ    ๋ก 

๋ณธ ์—ฐ๊ตฌ์—์„œ๋Š” ๋ถ„๋ง๋„๊ฐ€ ๋‹ค๋ฅธ ๋‘ ๊ฐ€์ง€ FNS์ธ B1 ๋ฐ B2์˜ ์น˜ํ™˜์œจ์„ ๋ณ€ํ™”์‹œ์ผœ ์ง„๋™์ „์•• ๋ฐฉ์‹์œผ๋กœ ์ œ์ž‘ํ•œ ๋ชจ๋ฅดํƒ€๋ฅด ์‹œํŽธ์œผ๋กœ ์žฌ๋ น์— ๋”ฐ๋ฅธ ๊ฐ•๋„ ๋ฐ ์—ผํ™”๋ฌผ ์นจํˆฌ์ €ํ•ญ์„ฑ๋Šฅ ์‹œํ—˜์„ ์ˆ˜ํ–‰ํ•˜์˜€๋‹ค. ์‹œํ—˜์„ ํ†ตํ•œ ํ‰๊ฐ€๊ฒฐ๊ณผ์˜ ๋ถ„์„์„ ํ†ตํ•ด ๋„์ถœ๋œ ๊ฒฐ๋ก ์€ ๋‹ค์Œ๊ณผ ๊ฐ™๋‹ค.

1)ํœจ๊ฐ•๋„๋Š” ์žฌ๋ น 28์ผ์„ ๊ธฐ์ค€์œผ๋กœ ๋ถ„๋ง๋„ 3,560 cm2/g์ธ B1 ์‚ฌ์šฉ ์‹œ ์น˜ํ™˜์œจ 30 %๊นŒ์ง€ 11.9โˆผ24.8 % ๋ฒ”์œ„๋กœ ์ฆ๊ฐ€ํ•˜์˜€์œผ๋ฉฐ ์ตœํ™˜์œจ 20 %์—์„œ ์ตœ๋Œ€๊ฐ’์„ ๋‚˜ํƒ€๋‚ด์—ˆ๋‹ค. ๋ถ„๋ง๋„ 4,840 cm2/g์ธ B2 ์‚ฌ์šฉ ์‹œ์—๋Š” ์น˜ํ™˜์œจ 50 %๊นŒ์ง€ 4.8โˆผ19.8 %๋กœ ์ฆ๊ฐ€ํ•˜์˜€๊ณ  40 %์—์„œ ์ตœ๋Œ€๊ฐ’์„ ๋‚˜ํƒ€๋‚ด์—ˆ๋‹ค. ๋˜ํ•œ ๋™์ผํ•œ ์น˜ํ™˜์œจ์˜ B1๊ณผ ๋น„๊ตํ•˜๋ฉด ํ‰๊ท  90.9 %๋กœ ํœจ๊ฐ•๋„๊ฐ€ ์ฆ๊ฐ€ํ•˜์˜€๋‹ค.

2)์••์ถ•๊ฐ•๋„๋Š” ์žฌ๋ น 28์ผ์„ ๊ธฐ์ค€์œผ๋กœ B1 ์‚ฌ์šฉ ์‹œ ์น˜ํ™˜์œจ 20 %๊นŒ์ง€ 2.3โˆผ15.8 % ๋ฒ”์œ„๋กœ OPC์™€ ๋น„๊ตํ•ด์„œ ์ฆ๊ฐ€ํ•˜์˜€์œผ๋ฉฐ 20 %์—์„œ ์ตœ๋Œ€๊ฐ’์„ ๋‚˜ํƒ€๋‚ด์—ˆ๋‹ค. B2 ์‚ฌ์šฉ ์‹œ์—๋Š” ์น˜ํ™˜์œจ 50 %๊นŒ์ง€ 14.9โˆผ31.1 % ๋ฒ”์œ„๋กœ ์ฆ๊ฐ€ํ•˜์˜€๊ณ  ์น˜ํ™˜์œจ 40 % ๋ฒ”์œ„์—์„œ ์ตœ๋Œ€๊ฐ’์„ ๋‚˜ํƒ€๋‚ด์—ˆ๋‹ค. ๋˜ํ•œ ๋™์ผํ•œ ์น˜ํ™˜์œจ์˜ B1๊ณผ ๋น„๊ตํ•˜๋ฉด 9.0โˆผ88.9 % ๋ฒ”์œ„๋กœ ํ‰๊ท  44.3 % ์ •๋„ ์••์ถ•๊ฐ•๋„๊ฐ€ ์ฆ๊ฐ€ํ•˜์˜€๋‹ค.

3)์ด‰์ง„์—ผํ™”๋ฌผ ์ด์˜จ ์ด๋™๊ณ„์ˆ˜๋Š” ์žฌ๋ น 28์ผ์„ ๊ธฐ์ค€์œผ๋กœ B1 ์‚ฌ์šฉ ์‹œ 11.5โˆผ37.2 % ๋ฒ”์œ„๋กœ OPC์™€ ๋น„๊ตํ•ด์„œ ๊ฐ์†Œํ•˜์˜€์œผ๋ฉฐ ์น˜ํ™˜์œจ 30 %์—์„œ ์ตœ์†Œ๊ฐ’์„ ๋‚˜ํƒ€๋‚ด์—ˆ๋‹ค. B2 ์‚ฌ์šฉ์‹œ์—๋Š” 21.8โˆผ63.6 % ๋ฒ”์œ„๋กœ ๊ฐ์†Œํ•˜์˜€๊ณ  ์น˜ํ™˜์œจ 40%์—์„œ ์ตœ์†Œ๊ฐ’์„ ๋‚˜ํƒ€๋‚ด์—ˆ๋‹ค. ๋˜ํ•œ ๋™์ผํ•œ ์น˜ํ™˜์œจ์˜ B1์™€ ๋น„๊ตํ•˜๋ฉด 4.7โˆผ45.8 % ๋ฒ”์œ„๋กœ ํ‰๊ท  19.6 % ์ •๋„ ์ด๋™๊ณ„์ˆ˜๊ฐ€ ๊ฐ์†Œํ•˜์˜€๋‹ค.

4)์—ผํ™”๋ฌผ ์ด์˜จ ํ†ต๊ณผ์ „ํ•˜๋Ÿ‰์€ ์žฌ๋ น 28์ผ์„ ๊ธฐ์ค€์œผ๋กœ B1 ์‚ฌ์šฉ ์‹œ OPC์™€ ๋น„๊ตํ•ด์„œ 21.6โˆผ42.0 % ๋ฒ”์œ„๋กœ ๊ฐ์†Œํ•˜์˜€๊ณ  ์น˜ํ™˜์œจ 40 %์—์„œ ์ตœ์†Œ๊ฐ’์„ ๋‚˜ํƒ€๋‚ด์—ˆ๋‹ค. B2 ์‚ฌ์šฉ ์‹œ์—๋Š” OPC ๋Œ€๋น„ 40.6โˆผ65.2 % ๋ฒ”์œ„๋กœ ๊ฐ์†Œํ•˜์˜€๊ณ , ์น˜ํ™˜์œจ 40 %์—์„œ ์ตœ์†Œ๊ฐ’์„ ๋‚˜ํƒ€๋‚ด์—ˆ๋‹ค. ๋˜ํ•œ ๋™์ผํ•œ ์น˜ํ™˜์œจ์˜ B1๊ณผ ๋น„๊ตํ•˜๋ฉด 21.8โˆผ54.7 % ๋ฒ”์œ„๋กœ ํ‰๊ท  28.4 % ์ •๋„ ํ†ต๊ณผ์ „ํ•˜๋Ÿ‰์ด ๊ฐ์†Œ๋˜์—ˆ๋‹ค.

5)๊ฐ•๋„ ๋ฐ ์—ผํ™”๋ฌผ์ด์˜จ ์นจํˆฌ ์„ฑ๋Šฅ ํ‰๊ฐ€์‹œํ—˜์—์„œ ๋ถ„๋ง๋„๊ฐ€ ํฐ B2๊ฐ€ B1์— ๋น„ํ•ด ์„ฑ๋Šฅ์ด ํ–ฅ์ƒ๋˜๋Š” ํšจ๊ณผ๊ฐ€ ์žˆ์—ˆ์œผ๋ฉฐ ์ดˆ๊ธฐ์žฌ๋ น์—์„œ ๊ทธ ํšจ๊ณผ๊ฐ€ ๋” ํฐ ๊ฒƒ์œผ๋กœ ๋‚˜ํƒ€๋‚ฌ๋‹ค. ์ด๋ฅผ ํ†ตํ•ด ๋ถ„๋ง๋„ ์ฆ๊ฐ€์— ๋”ฐ๋ฅธ ๋ฉ”์นด๋…ธ์ผ€๋ฏธ์ปฌ ๋ฐ˜์‘์˜ ์˜ํ•œ ํ™œ์„ฑํ™” ํšจ๊ณผ๋ฅผ ํ™•์ธํ•  ์ˆ˜ ์žˆ์—ˆ๋‹ค.

6)๋ถ„๋ง๋„ 3,560 cm2/g์ธ B1 FNS๋ฅผ ์‚ฌ์šฉ ์‹œ ์ตœ์  ์‹œ๋ฉ˜ํŠธ ์น˜ํ™˜๋น„์œจ์€ 20โˆผ30 % ๋ฒ”์œ„์˜€์œผ๋ฉฐ, ๋ถ„๋ง๋„ 4,840 cm2/g์ธ B2 FNS ์‚ฌ์šฉ ์‹œ ์ตœ์  ์‹œ๋ฉ˜ํŠธ ์น˜ํ™˜๋น„์œจ์€ 30โˆผ40 % ๋ฒ”์œ„์ธ ๊ฒƒ์œผ๋กœ ๋‚˜ํƒ€๋‚ฌ๋‹ค.

Acknowledgements

์ด ๋…ผ๋ฌธ์€ ์ƒ๋ช…๋Œ€ ๊ต๋‚ด ์—ฐ๊ตฌ๋น„ ์ง€์›์— ์˜ํ•ด ์ด๋ฃจ์–ด์กŒ์œผ๋ฉฐ ์ด์— ๊ฐ์‚ฌ๋“œ๋ฆฝ๋‹ˆ๋‹ค.

References

1 
ASTM C 1202 (2010) Standard Test Method for Electrical Indication of Concreteโ€™s Ability to Resist Chloride Ion Penetration, ASTM International, 4, 1-6.Google Search
2 
City of Seoul (2014) Seoul Statistical Year Book.Google Search
3 
KS F 4042 (2007) Polymer Modified Cement Mortar for Main-tenance in Concrete Structure, Korean Industrial Standards, 1-15.Google Search
4 
KS F 4402 (2016) Vibrated and Rolled Reinforced Concrete Pipe, Korean Industrial Standards, 1-13.Google Search
5 
KS F 4403 (2016) Reinforced Spun Concrete Pipes, Korean Industrial Standards, 1-39.Google Search
6 
Kwon, S. J., Yoon, Y. S., Park, S. M., and Kim, H. J. (2016) Evaluation of Durability Performance of Fly Ash Blended Concrete due to Fly Ash Replacement with Tire Derived Fuel Ash. Journal of the Korea Concrete Institute 28(6), 647-653. (In Korean)DOI
7 
Ministry of Agriculture, Food and Rural Affairs (2011) Technical Development and Products for Agricultural Utilization from Ferro-Nickel Slag, Technical Report of MIFAFF.Google Search
8 
Ministry of Environment (2014) Sewer Statistics.Google Search
9 
NT Build 492 (1999) Concrete, Mortar and Cement-base Repair Materials : Chloride Migration Coefficient from Non-Steady- State Migration Experiments, Nordtest Method.Google Search
10 
Park, S. H., Chu, Y. S., Song, H., Lee, J. K., and Seo, S. K. (2013) Fabrication of Mg(OH)2 from Ferro-nickel Slag. Journal of the Korean Institute of Resources Recycling 22(1), 42-47. (In Korean)DOI
11 
Park, S. S. (2017) Corrosion-Resisting Performance Evaluation of Concrete Mixed with Fly-Ash. Journal of the Korea Institute for Structural Maintenance and Inspection 21(1), 117-125. (In Korean)Google Search
12 
Sarja, A. and Vesikari, E. (1994) Durability Design of Concrete Structures, Report of RILEM Technical Committee 130-CSL. E&FN, London. 28-52.Google Search
13 
Sereenen, O. (2013) A Study on the Utilization of Mechanically Activated Ferro-nickel Slag, a Thesis for the Degree of Doctor of Philosophy, Suncheon National University.Google Search
14 
Song, H. W., Kwon, S. J., Lee, S. W., and Byun, K. J. (2003) A Study on Resistance of Chloride Ion Penetration in Ground Granulated Blast-Furnace Slag Concrete. Journal of the Korea Concrete Institute 15(3), 400-408. (In Korean)DOI
15 
Zhang, T. and Gjร˜rv, O. E. (1994) An Electrochemical Method for Accelerated Testing of Chloride Diffusivity in Concrete. Cement and Concrete Research 24(8), 1534-1548.DOI