Mobile QR Code QR CODE
Export citation EndNote




UHPC, 인장강도, 균열폭, 섬유형상비, 섬유방향성
UHPC, tensile strength, crack width, fiber aspect ratio, fiber orientation

  • 1. 서 론

  • 2. 섬유 인발특성에 기반한 인장거동 모델

  • 3. 해석결과 및 분석

  •   3.1 해석변수

  •   3.2 해석결과

  •   3.2.1 섬유 방향성분포 변화의 영향

  •   3.2.2 섬유 길이, 직경 및 형상비 변화의 영향

  •   3.3 고찰 및 분석

  • 4. 결 론

1. 서    론

초고성능 콘크리트(Ultra-High Performance Concrete, 이하 UHPC)는 재료의 최적화된 입도구성을 통해 소요 단위수량 및 물결합재비를 매우 낮게 하여, 압축강도가 200 MPa에 달하는 매우 높은 강도특성을 나타내는 특징을 가진다(Richard and Cheyrezy 1995; Bonneau et al. 1997; Jungwirth and Muttoni 2004; Park et al. 2005; Graybeal and Davis 2008). 고성능감수제의 도움으로 매우 낮은 물결합재비에서도 유동성이 매우 좋기 때문에 별도의 다짐이 없이도 시공이 가능한 자기충전성을 나타낸다. 높은 압축강도를 나타내는 콘크리트는 보다 취성적인 파괴 특성과 상대적으로 작은 인장강도가 효율적인 활용을 제한하는 장애요인으로 작용한다. 이러한 문제점을 보완하는 가장 효율적인 방법 중의 하나가 콘크리트 내 불연속 섬유를 혼입하여 보강하는 방법이다. 섬유혼입에 의한 인장거동 향상 메커니즘은 주로 섬유의 인발저항 거동에 의해 지배를 받게 되는데, 섬유 인발특성은 매트릭스의 강도 및 탄성계수와, 섬유의 형상비, 기하학적 형상, 인발력 작용 방향에 대한 섬유의 경사각, 탄성계수, 혼입률 등에 의해 영향을 받으며, 또한 매트릭스와 섬유 사이의 계면특성에 의해서도 영향을 받는다(Stang and Shah 1986; Mandel et al. 1987; Kim et al. 1994; Li et al. 2002; Lee and Lee 2004; Kim 2010). 섬유의 인발거동 특성이 좋을 경우에는 매트릭스에 균열이 발생한 후에 균열면에서 가교저항을 하는 섬유들이 추가적인 인장저항력을 부담하여 균열폭 증가와 함께 저항 인장응력 범위가 더 증가하는 변형률경화거동을 보이는 반면, 섬유의 인발거동 특성이 좋지 않을 경우에는 균열 이후 균열면 내 섬유들이 작용 인장력을 효율적으로 부담하지 못하고 더 이상 추가적인 인장저항을 하지 못하는 변형률연화거동을 보이게 된다. 따라서 섬유보강 콘크리트의 인장거동을 정확히 이해하기 위해서는 섬유의 인발거동 특성을 먼저 파악하는 것이 중요하다.

최근 UHPC와 관련한 연구가 국내에서도 활발하게 진행되면서, 국내에서 일반적으로 적용하는 배합구성 및 재료특성을 고려하여 UHPC의 제조 및 활용을 위한 시방 및 구조설계 지침이 마련되는 데까지 이르렀다(KCI 2012; KCI 2016). 두 지침에서 정의한 UHPC는 거의 동일한 배합과 재료특성을 가지며, 물결합재비 0.2에 설계기준 압축강도 180 MPa의 UHPC를 대상으로 하고 있다. 섬유보강은 주로 직경 0.2 mm에 길이가 16 mm 및 20 mm인 직선형 강섬유 두 종류를 혼합하여 사용하는 경우로 하고 있으며, 20 mm 섬유 1.0 vol.%에 16 mm 섬유 0.5 또는 1.0 vol.% 사용하는 경우가 일반적이다. KCI(2012) 구조설계지침에서 제시된 일반적인 배합구성은 Table 1과 같다. 이러한 배합구성과 섬유특성을 가지는 UHPC에 대해 구조설계에 반영할 수 있는 재료의 인장연화곡선을 Fig. 1과 같이 이선형 곡선으로 제시하고 있으며, 균열발생인장강도(/Resources/kci/JKCI.2017.29.6.581/images/PIC56B8.gif) 9.5 MPa, 인장강도(/Resources/kci/JKCI.2017.29.6.581/images/PIC56F8.gif) 13.0 MPa, 인장강도에 도달 시의 인장균열폭(/Resources/kci/JKCI.2017.29.6.581/images/PIC5708.gif) 0.3 mm, 인장응력이 더 이상 존재하지 않는 상태의 균열폭(/Resources/kci/JKCI.2017.29.6.581/images/PIC5719.gif) 5.3 mm의 특성값을 제시하고 있다. 하지만 앞서 언급한 바와 같이 섬유보강 콘크리트의 인장거동특성은 매트릭스의 특성이 변하거나 사용 섬유가 변경되게 되면 자연적으로 달라진다. 최근에는 다양한 섬유의 사용 가능성과 여러 종류의 섬유를 조합하여 사용하는 경우에 대해서도 검토가 되고 있다. 다양한 섬유의 조건에 대해 각기 다른 인장거동 특성을 나타낼 경우, 그때마다 관련 구조설계 지침을 제‧개정하는 것은 비합리적이며, 따라서 이러한 섬유의 조건 변화를 고려한 좀 더 일반화된 인장거동특성 모델을 제시할 필요가 있을 것이다.

Table 1 General mix proportion of UHPC (KCI 2012)

/Resources/kci/JKCI.2017.29.6.581/images/Table_CONCRETE_29_06_06_T1.jpg
Fig. 1

Bilinear tension softening curve of UHPC

/Resources/kci/JKCI.2017.29.6.581/images/Figure_CONCRETE_29_06_06_F1.jpg

따라서 이 논문에서는 그러한 연구의 일환으로 UHPC에서 직선형 강섬유의 직경 및 길이 변화, 균열면 내 섬유분포 특성의 변화에 따른 인장거동특성의 변화를 섬유의 인발거동 모델에 기반하여 해석적으로 살펴보고자 하였으며, 균열발생인장강도, 인장강도 및 그때의 균열폭 값을 중심으로 변화의 경향을 살펴보았다.

2. 섬유 인발특성에 기반한 인장거동 모델

Li et al.(1991)은 섬유보강 시멘트 복합체의 균열 발생 이후 균열면에 놓인 섬유들의 인장저항거동을 Fig. 2와 같이 놓인 섬유의 인발거동에 기반하여 제시하였다. 이 인장저항거동 모델은 균열면 내에 존재하는 모든 섬유의 초기 매립길이, 섬유의 경사각을 확률론적 분포로 고려하여, 섬유가 인발되는 과정에서 슬립변위 변화에 따른 섬유의 인발저항력을 섬유의 초기 매립길이(/Resources/kci/JKCI.2017.29.6.581/images/PIC5739.gif), 섬유의 경사각(/Resources/kci/JKCI.2017.29.6.581/images/PIC575A.gif), 슬립변위(/Resources/kci/JKCI.2017.29.6.581/images/PIC577A.gif)의 함수로 제시하였으며, 그 결과로부터 균열 이후 섬유들의 인장저항거동을 인발저항응력(/Resources/kci/JKCI.2017.29.6.581/images/PIC578A.gif)과 슬립변위(/Resources/kci/JKCI.2017.29.6.581/images/PIC578B.gif)의 관계로 나타내었다. 식 (1)은 Li et al.(1991)이 제시한 모델식을 나타낸 것이다.

Fig. 2

Pullout of single inclined fiber with embedded length /Resources/kci/JKCI.2017.29.6.581/images/PIC579C.gif and inclined angle /Resources/kci/JKCI.2017.29.6.581/images/PIC57AD.gif

/Resources/kci/JKCI.2017.29.6.581/images/Figure_CONCRETE_29_06_06_F2.jpg

/Resources/kci/JKCI.2017.29.6.581/images/PIC57AE.gif  (1)

여기서, /Resources/kci/JKCI.2017.29.6.581/images/PIC57CE.gif/Resources/kci/JKCI.2017.29.6.581/images/PIC57CF.gif는 각각 섬유의 매립길이와 경사각에 대한 확률밀도함수를 나타내며, 3차원 상에서 임의분포에 대해서 각각 /Resources/kci/JKCI.2017.29.6.581/images/PIC57D0.gif/Resources/kci/JKCI.2017.29.6.581/images/PIC57E1.gif 값을 가진다. 그리고 /Resources/kci/JKCI.2017.29.6.581/images/PIC57E2.gif/Resources/kci/JKCI.2017.29.6.581/images/PIC57E3.gif는 각각 섬유의 길이와 직경을 나타낸다.

Kang and Kim(2011)은 Li et al.(1991)의 모델에 압축강도 200 MPa의 UHPC에 대해 직경 0.2 mm, 길이 13 mm의 직선형 강섬유를 혼입하였을 때 강섬유의 인발거동을 적용하여 UHPC에서의 균열 이후 인장거동 모델을 제시한 바 있다. 섬유보강 복합체의 균열 발생 직후 인장거동을 나타내기 위하여 섬유의 인발거동과 함께 매트릭스의 인장연화거동을 함께 고려하였다. 이 때 사용한 인발거동 특성은 Lee et al.(2010)의 연구결과를 반영하였다. 이들 연구결과는 Kang and Kim (2011)의 연구에서 사용한 섬유 및 매트릭스와 동일한 조건으로 다양한 인발 경사각에 대한 인발실험결과를 토대로 제시된 것이다. Kang and Kim(2011)이 제안한 UHPC 인장거동 모델은 여러 가지 섬유의 길이에 대한 실험결과와의 비교, 직접인장거동을 고려한 휨거동의 예측결과와 실험결과와의 비교 등을 통해 충분히 그 유효성이 입증되었다(Kang and Kim 2012; Kwon et al. 2012; Yoo et al. 2017). 최근 Choi et al.(2016)의 연구에서는 두 종류의 이상의 하이브리드 섬유보강 UHPC에서도 적용이 가능하며, 섬유의 인발특성을 좀 더 효율적으로 고려할 수 있도록 수정된 UHPC 인장거동 모델을 제시하였다.

이 연구에서는 Choi et al.(2016)의 모델에 근거하여 강섬유의 직경 및 길이 변화, 균열면 내 섬유분포 특성의 변화에 따른 인장거동특성의 변화를 해석적으로 살펴보았다.

균열 이후 인장거동은 매트릭스의 인장연화거동과 균열면에서 저항하는 섬유들의 인발거동의 조합으로 나타낼 수 있으며, Choi et al.(2016)의 인장거동 모델에서 매트릭스의 인장연화곡선은 식 (2)와 같은 지수함수로 나타내었다.

/Resources/kci/JKCI.2017.29.6.581/images/PIC57F3.gif (2)

여기서, /Resources/kci/JKCI.2017.29.6.581/images/PIC57F4.gif는 매트릭스의 인장강도(MPa)를 나타내고, /Resources/kci/JKCI.2017.29.6.581/images/PIC5805.gif는 상수로서 이론적으로 /Resources/kci/JKCI.2017.29.6.581/images/PIC5806.gif의 값을 가진다. /Resources/kci/JKCI.2017.29.6.581/images/PIC5826.gif는 파괴에너지(Nm/㎡)를 나타내고, /Resources/kci/JKCI.2017.29.6.581/images/PIC5827.gif는 균열변위(mm)를 나타낸다.

섬유의 인발거동을 나타내는 데 적용한 섬유의 인발저항력에 대한 함수는 Lee et al.(2010)이 제시한 섬유의 인발거동 모델을 적용하여 나타내었다. 이 인발거동 모델 역시 직선형 강섬유를 대상으로 하고 있으며, 섬유의 길이와 직경의 영향, 그리고 섬유의 인발 경사각을 함수에서 고려하고 있기 때문에, 이 연구에서 분석하고자 하는 강섬유의 변화 조건에 대해서도 여전히 유효하게 적용이 가능하다. Lee et al.(2010)의 인발거동 모델에서는 인발과정을 섬유와 매트릭스 사이가 완전히 부착된 상태에서의 탄성거동영역, 일부 계면이 떨어지는 부분부착상태의 거동영역, 그리고 완전히 부착이 떨어진 후 뽑혀져 나오는 과정인 계면 비부착 인발거동영역으로 나누어서 나타내고 있으며, 각각의 영역에 대한 상세한 모델식은 관련 참고문헌(Lee et al. 2010)에서 볼 수 있다. 이 연구에서 인발거동을 나타내기 위하여 적용한 모델식 내 여러 변수들의 값은 Table 2와 같다.

Table 2 The parameters for the pullout model by Lee et al. (2010)

/Resources/kci/JKCI.2017.29.6.581/images/Table_CONCRETE_29_06_06_T2.jpg

인장거동에 대한 섬유의 방향분포 특성의 영향을 분석해보기 위해서는 가상으로 다양한 섬유분포 특성을 나타낼 수 있어야 하는데, 이를 위해서는 섬유분포에 대한 확률밀도함수를 수식으로 나타낼 필요가 있다. Xia et al.(1995)은 아래 식 (3)과 같은 형태로 섬유분포를 나타낼 수 있는 함수를 정의한 바 있으며, 이 함수를 이 연구에서 사용하였다.

/Resources/kci/JKCI.2017.29.6.581/images/PIC5838.gif (3)

여기서, /Resources/kci/JKCI.2017.29.6.581/images/PIC5858.gif/Resources/kci/JKCI.2017.29.6.581/images/PIC5859.gif는 섬유분포함수의 형상을 결정하는 계수로서, 1/2 이상의 값을 가지며, /Resources/kci/JKCI.2017.29.6.581/images/PIC586A.gif는 0에서 /Resources/kci/JKCI.2017.29.6.581/images/PIC586B.gif 사이의 값을 가진다.

UHPC의 초기균열발생강도(/Resources/kci/JKCI.2017.29.6.581/images/PIC586C.gif)에 대한 강섬유의 형상비 및 방향성 분포의 영향은 다음 식 (4)를 이용하여 분석하고자 하였다.

/Resources/kci/JKCI.2017.29.6.581/images/PIC587C.gif (4)

위 식에서 /Resources/kci/JKCI.2017.29.6.581/images/PIC588D.gif는 매트릭스의 인장강도를 나타내고, /Resources/kci/JKCI.2017.29.6.581/images/PIC589D.gif는 매트릭스의 인장파괴가 일어날 때의 섬유에 작용하는 평균응력을 나타낸다. /Resources/kci/JKCI.2017.29.6.581/images/PIC589E.gif/Resources/kci/JKCI.2017.29.6.581/images/PIC58BF.gif는 각각 매트릭스와 섬유의 부피비를 나타내며, /Resources/kci/JKCI.2017.29.6.581/images/PIC58C0.gif/Resources/kci/JKCI.2017.29.6.581/images/PIC58C1.gif는 섬유의 길이계수와 방향성계수를 의미한다. /Resources/kci/JKCI.2017.29.6.581/images/PIC58D1.gif은 아래의 식 (5)와 같이 표현된다(Cox 1952).

/Resources/kci/JKCI.2017.29.6.581/images/PIC58E2.gif (4)

위 식에서 /Resources/kci/JKCI.2017.29.6.581/images/PIC58E3.gif은 매트릭스의 전단탄성계수, 섬유의 탄성계수 및 섬유의 혼입률의 함수로 주어지며, 강섬유의 형상비 및 방향분포의 변화에 따른 영향은 받지 않는다. /Resources/kci/JKCI.2017.29.6.581/images/PIC58F4.gif는 다음 식 (5)를 사용하여 계산하였다.

/Resources/kci/JKCI.2017.29.6.581/images/PIC5904.gif (5)

3. 해석결과 및 분석

3.1 해석변수

앞에서 설명한 바와 같은 UHPC에 대한 인장거동 모델을 이용하여 섬유의 길이 및 직경, 섬유의 방향성분포 변화가 인장거동에 미치는 영향을 살펴보았다. 해석에서 고려한 섬유의 길이는 13, 15, 20, 25, 30 mm이며, 섬유의 직경은 0.2, 0.3, 0.4 mm를 해석에서 고려하였다. 그리고 섬유의 방향성 분포 변화는 식 (3)으로 표현된 Xia et al.(1995)의 이변수 함수모델에서 지수 /Resources/kci/JKCI.2017.29.6.581/images/PIC5905.gif, /Resources/kci/JKCI.2017.29.6.581/images/PIC5916.gif 값을 0.5에서 4.0까지 0.5씩 변화시켜가며 고려하였다. 이 함수를 식 (1)의 인발저항응력-슬립변위 관계를 구할 때, 그리고 식 (5)의 섬유방향성계수를 구할 때 사용하였다. 섬유의 혼입률은 2 vol.%로 일정하게 적용하였다.

매트릭스의 인장연화곡선 및 UHPC의 초기균열강도를 구하기 위해서는 매트릭스의 인장강도를 먼저 구해야 하는데, UHPC 직접인장거동에 대한 선행연구(Kang and Kim 2011)에서 균열이 발생하는 시점의 인장변형률을 약 235 /Resources/kci/JKCI.2017.29.6.581/images/PIC5917.gif 정도로 평가하고 있으므로, 이 값을 이용하여 인장강도를 산정하였다.

3.2 해석결과

3.2.1 섬유 방향성분포 변화의 영향

섬유 방향성분포의 영향에 대한 거동 해석은 섬유 직경 0.2 mm, 길이 13 mm로 섬유의 형상을 일정하게 하고, 섬유의 방향성분포를 총 64가지 경우로 변화시키며 수행하였다.

Fig. 3은 초기균열발생강도에 섬유방향성분포가 미치는 영향을 나타낸 것으로, 섬유방향성계수 값과 초기균열발생강도의 관계로 나타내었다. 섬유방향성계수가 0.1에서 0.9 사이에서 변화하는 동안 초기균열발생강도는 약 10.4에서 11.2 MPa로 그 변화가 10 %를 넘지 않는 것으로 나타났다. 섬유방향성 분포 변화에 따른 섬유의 인발저항거동은 몇 가지 경우에 대해서 나타내면 Fig. 4와 같으며, 섬유방향성 분포 변화가 섬유의 인발저항거동에 크게 영향을 미치고 있음을 볼 수 있다.

Fig. 3

First cracking strength vs. fiber orientation coefficient

/Resources/kci/JKCI.2017.29.6.581/images/Figure_CONCRETE_29_06_06_F3.jpg
Fig. 4

Tensile bridging curves with different fiber orientation distributions

/Resources/kci/JKCI.2017.29.6.581/images/Figure_CONCRETE_29_06_06_F4.jpg

Figs. 5와 6은 64가지 경우의 해석결과를 섬유방향성계수와 인장강도, 섬유방향성계수와 최대응력에서의 균열폭의 관계로 나타낸 것이다. Fig. 5를 살펴보면 섬유방향성계수가 0.4 이하인 경우에는 초기균열강도와 인장강도가 동일한 값으로 균열이후 곧바로 응력이 감소하는 변형률연화거동을 나타내게 되고, 섬유방향성계수가 0.4 이상일 경우에 초기균열발생 이후 변형률 증가와 함께 인장응력이 증가하는 변형률경화거동을 얻을 수 있는 것으로 나타났다. UHPC에서 섬유의 방향성 분포특성은 구조물의 기하학적 형상 및 타설방법 등에 따라 크게 영향을 받는다(Ferrara et al. 2011; Kang et al. 2011; Kang et al. 2014). 따라서 구조물 제작 시에 이러한 영향을 충분히 고려하거나, 그렇지 못할 경우에는 설계 인장강도를 결정할 때 이러한 영향을 고려할 필요가 있을 것으로 판단된다. KCI(2012 & 2016)에서 제시한 UHPC 구조설계지침에서는 이러한 섬유방향성분포의 영향을 포함한 다양한 재료적 변동요인을 포괄적으로 고려한 재료저감계수를 도입하여 그 값을 0.8로 하여 적용하고 있다. Fig. 6은 섬유방향성계수와 인장강도 도달 시의 균열폭의 관계를 나타낸 것인데, 길이 13 mm의 섬유를 사용한 경우 균열폭은 0.15 mm에서 0.2 mm 정도를 예상할 수 있지만, 이 값도 섬유방향성 분포에 영향을 받는 것으로 나타났다. 섬유방항성계수 값으로 0.4에서 0.6 정도 사이에서는 균열폭 0.15에서 0.2 mm를 보이지만, 그 이상의 섬유방향성계수 값에서는 균열폭이 감소하는 경향을 보이고 있다.

Fig. 5

Variation of tensile strength according to fiber orien-tation coefficient

/Resources/kci/JKCI.2017.29.6.581/images/Figure_CONCRETE_29_06_06_F5.jpg
Fig. 6

Variation of crack width at peak load according to fiber orientation coefficient

/Resources/kci/JKCI.2017.29.6.581/images/Figure_CONCRETE_29_06_06_F6.jpg

3.2.2 섬유 길이, 직경 및 형상비 변화의 영향

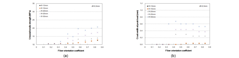
섬유 길이와 직경의 조합에, 섬유의 방향성분포 변화를 식 (3)의 /Resources/kci/JKCI.2017.29.6.581/images/PIC5927.gif, /Resources/kci/JKCI.2017.29.6.581/images/PIC5928.gif 값에 대해 0.5에서 2.5까지 0.5 단위의 값들의 조합으로 나타내었으며, 이를 통해 총 135가지 경우에 대해 해석을 수행한 결과는 섬유직경에 따라 Fig. 7에서 Fig. 9로 나누어 나타내었다. 인장강도의 경우, 동일한 섬유직경에 대해 섬유의 길이가 증가할수록 인장강도와 인장강도 도달 시의 균열폭이 모두 증가하는 경향을 쉽게 확인할 수 있다. 섬유직경 0.2 mm인 경우에 대해 나타낸 Fig. 7을 살펴보면, 모든 섬유길이에 대해서 섬유방향성계수 값의 증가에 따라 인장강도는 대략 선형적으로 증가하는 경향을 보이는 반면, 인장강도 도달 시의 균열폭은 특정한 섬유방향성 계수값 이상일 때 거의 일정한 값의 균열폭을 보이는 것으로 나타났다. 이와 같은 경향은 섬유직경 0.3 mm, 0.4 mm에 대한 결과를 나타낸 Figs. 8과 9에서도 동일하게 관찰할 수 있다.

Fig. 7

Effect of fiber length and fiber orientation on (a) tensile strength and (b) crack width at peak load for df=0.2 mm

/Resources/kci/JKCI.2017.29.6.581/images/Figure_CONCRETE_29_06_06_F7.jpg
Fig. 8

Effect of fiber length and fiber orientation on (a) tensile strength and (b) crack width at peak load for df=0.3 mm

/Resources/kci/JKCI.2017.29.6.581/images/Figure_CONCRETE_29_06_06_F8.jpg
Fig. 9

Effect of fiber length and fiber orientation on (a) tensile strength and (b) crack width at peak load for df=0.4 mm

/Resources/kci/JKCI.2017.29.6.581/images/Figure_CONCRETE_29_06_06_F9.jpg

섬유의 길이와 섬유방향성 계수 변화에 따른 인장강도의 변화폭을 살펴보면 섬유직경 0.2 mm의 경우 인장강도의 범위가 최소 10.5 MPa 정도에서 최대 30.5 MPa 정도까지 매우 크게 나타났으며, 인장강도의 변화 범위는 섬유직경이 0.3 mm, 0.4 mm로 증가함에 따라 크게 줄어드는 것으로 나타났다. 인장강도 도달 시의 균열폭을 비교해 보면 섬유직경 0.2 mm의 경우 균열폭이 최대 1.0 mm까지도 발생하며, 섬유길이에 따른 변화 범위도 매우 크게 나타난 반면, 섬유직경 0.3 mm와 0.4 mm에서는 각각 최대 균열폭이 0.6 mm와 0.4 mm 정도로 변화 범위가 줄어드는 것으로 나타났다.

한편, 일반적으로 섬유의 기하학적 형상에 따른 섬유보강 콘크리트의 역학적 특성값은 섬유의 길이와 직경에 모두 영향을 받기 때문에, 섬유형상비(aspect ratio, 섬유의 직경에 대한 길이의 비)의 함수로 나타내는 것이 일반적이다. 따라서 이 논문에서도 섬유형상비 변화에 따른 초기균열발생강도, 인장강도 및 그 때의 균열폭을 비교해 보았으며, 그 결과는 Fig. 10에서 Fig. 12로 나타내었다. 동일한 섬유형상비에 대해 각각의 값의 변동폭은 섬유방향성 분포에 따른 영향을 나타낸다고 볼 수 있다.

Fig. 10은 섬유형상비에 변화에 따른 초기균열발생강도의 변화를 나타낸 것으로 앞서 3.2.1절의 섬유 방향성분포 변화의 영향에서 언급한 바와 같이 강도의 변화폭이 크지 않다. 양호한 섬유방향성 분포를 통해 얻을 수 있는 최대 초기균열발생강도만을 비교했을 때 섬유형상비 변화에 따른 초기균열발생강도의 변화가 거의 없는 것으로 나타났다. 특히 섬유형상비 60 이상에서는 거의 일정한 강도값을 보이며, 60 이하에서는 형상비가 작을수록 강도가 조금 줄어드는 경향을 볼 수 있다.

Fig. 10

First cracking strength vs. aspect ratio of fiber

/Resources/kci/JKCI.2017.29.6.581/images/Figure_CONCRETE_29_06_06_F10.jpg

Fig. 11은 섬유형상비에 따른 인장강도의 변화를 나타낸 것으로, 섬유형상비가 증가할수록 최대 인장강도가 선형적으로 증가하는 경향을 볼 수 있으나, 섬유형상비 60을 기준으로 선형의 기울기가 변화는 경향을 확인할 수 있었다. 또한 동일한 섬유형상비에 대해서 인장강도의 변화는 섬유방향성 분포의 영향으로 볼 수 있는데, 섬유형상비가 증가함에 따라 그 영향 범위가 커지는 것을 볼 수 있으며, 섬유형상비를 아무리 증가시키더라도 섬유방향성 분포가 좋지 못하면 변형률경화거동과 그로 인한 인장강도의 증가 효과를 얻지 못함을 의미한다.

Fig. 13

Uniaxial tensile strength vs. aspect ratio of fiber

/Resources/kci/JKCI.2017.29.6.581/images/Figure_CONCRETE_29_06_06_F13.jpg

Fig. 12은 인장강도에 도달 시의 균열폭을 섬유의 형상비와의 관계로 나타낸 것인데, 섬유형상비 60 이하에서는 균열폭이 0.1 mm 이하로 매우 작은 값을 보이고 있다. 이 결과는 섬유형상비 60 이하에서는 섬유 방향성분포에 크게 상관없이 변형률경화거동을 얻기가 힘들며, 따라서 인장강도의 향상도 크게 기대하기 힘듦을 의미한다. 섬유형상비 60 이상에서는 균열폭이 선형적으로 증가하는 것을 볼 수 있으나, 이것은 섬유방향성 분포가 인장변형률거동을 일으킬 만큼 좋을 경우에만 나타나는 결과이다.

Fig. 12

Crack width at peak load vs. aspect ratio of fiber

/Resources/kci/JKCI.2017.29.6.581/images/Figure_CONCRETE_29_06_06_F12.jpg

3.3 고찰 및 분석

이상의 해석결과를 토대로 섬유형상비 및 섬유방향성계수를 고려한 합리적인 인장강도 및 그 때의 균열폭에 관한 모델식을 검토해 보았다. 일반적으로 섬유보강 시멘트 복합체의 인장강도 증가 효과에 관한 기존 모델식은 대부분 다음과 같은 식의 형태로 나타내어진다.

/Resources/kci/JKCI.2017.29.6.581/images/PIC5939.gif  (6)

/Resources/kci/JKCI.2017.29.6.581/images/PIC594A.gif  (7)

/Resources/kci/JKCI.2017.29.6.581/images/PIC594B.gif (8)

위 식에서 /Resources/kci/JKCI.2017.29.6.581/images/PIC594C.gif는 섬유보강 시멘트 복합체의 인장강도, /Resources/kci/JKCI.2017.29.6.581/images/PIC595C.gif는 보강섬유의 인장강도, 그리고 /Resources/kci/JKCI.2017.29.6.581/images/PIC596D.gif는 섬유와 매트릭스 사이의 부착강도를 나타낸다.

식 (6)∼(8)에서 보는 바와 같이 섬유보강 시멘트 복합체의 인장강도는 매트릭스와 섬유의 부피비를 고려하여 각각의 강도특성과 관련한 변수들의 선형함수로 나타내고 있는 것이 일반적이다. 하지만 이 연구에서 살펴본 바에 따르면, 섬유의 방향성분포에 따라서도 영향을 크게 받으며, 또한 섬유의 형상비가 어느 임계값 이상인 경우에 섬유방향성분포에 따른 영향이 뚜렷하게 나타나는 것으로 확인되었다. 이러한 결과를 고려할 때 다음과 같은 형태의 인장강도 모델식이 좀 더 합리적이라고 판단된다.

/Resources/kci/JKCI.2017.29.6.581/images/PIC596E.gif (9)

여기서, /Resources/kci/JKCI.2017.29.6.581/images/PIC596F.gif/Resources/kci/JKCI.2017.29.6.581/images/PIC5980.gif의 선형함수로 나타낼 수 있으며, /Resources/kci/JKCI.2017.29.6.581/images/PIC5981.gif는 형상비가 임계형상비 이상인 경우에 값을 가지고, 그 이하에서는 값을 가지지 않는 함수로 나타낼 수 있다. 이 논문에서 다룬 UHPC의 경우에 대한 해석결과를 살펴보면 임계형상비 값은 약 60 정도인 것으로 나타났다.

인장강도 도달 시 균열폭(/Resources/kci/JKCI.2017.29.6.581/images/PIC5991.gif)은 섬유방향성계수(/Resources/kci/JKCI.2017.29.6.581/images/PIC5992.gif)가 임계값 이하인 경우에는 변형률경화거동을 전혀 나타내지 못하여 최초 균열 발생과 함께 바로 연화거동을 보이는 것으로 나타났으며, 임계값 이상인 경우에는 섬유방향성계수 값의 변화에 민감하지 않은 것으로 나타났다. 반면에 균열폭의 크기는 섬유의 형상비에 크게 영향을 받는 것으로 나타났으며, 따라서 인장강도 도달 시의 균열폭은 섬유형상비의 함수로 나타내는 것이 타당하다고 판단된다.

4. 결    론

이 연구에서는 UHPC에 대하여 직선형 강섬유의 직경 및 길이 변화, 균열면 내 섬유분포 특성의 변화에 따른 인장거동특성의 변화를 섬유의 인발거동 모델에 기반하여 해석적으로 평가하고자 하였다. 인장거동특성으로 초기균열발생강도와 인장강도 및 그때의 균열폭을 살펴보았으며, 그 결과는 다음과 같다.

1)섬유 직경 0.2 mm, 길이 13 mm로 섬유의 형상을 일정하게 하고, 섬유의 방향성분포를 달리 하였을 때, 초기균열발생강도 변화는 10 % 이내로 나타났다. 인장강도는 섬유방향성계수가 0.4 이상에서 변형률경화거동과 강도향상이 일어났으며, 인장강도 도달 시의 균열폭도 섬유방향성계수에 따라 다르게 나타났다.

2)동일한 섬유혼입률에서 섬유의 직경(0.2, 0.3, 0.4 mm)과 길이(13, 15, 20, 25, 30 mm)에 따른 인장거동특성에서는 직경이 작을수록, 그리고 길이가 길수록 인장강도 및 균열폭이 증가하는 것으로 나타났다. 이와 함께 섬유방향성 분포도 함께 고려했을 때에는 인장강도는 모든 섬유 직경과 길이에 대해 섬유방향성계수에 대략 선형적인 관계를 가지는 반면, 균열폭은 섬유의 직경 및 길이에 따라 특정 섬유방향성계수 이상일 때 변형률경화거동과 함께 나타나며 섬유방향성계수 값에 따른 영향은 거의 없는 것으로 나타났다.

3)섬유형상비를 이용한 인장강도 및 균열폭 변화를 살펴보았을 때, 섬유형상비 60 이상에서 선형적으로 증가하는 경향을 보였으며, 섬유방향성분포의 영향은 인장강도에 대해서는 섬유형상비가 클수록 변화범위가 더 크게 나타난 반면, 균열폭은 변형률경화거동을 나타낼 수 있는 분포이면 거의 영향을 미치지 않는 것으로 나타났다.

4)이상의 해석결과를 바탕으로 섬유방향성분포를 함께 고려할 수 있는 새로운 인장강도 모델식을 제시하였으며, 균열폭도 임계섬유방향성계수와 함께 섬유형상비의 함수로 나타내는 것이 타당함을 제시하였다.

Acknowledgements

이 논문은 2015학년도 대구대학교 학술연구비 지원에 의해 이루어졌으며, 이에 감사드립니다.

References

1 
Bonneau, O., Lachemi, M., Dallaire, E., Dugat, J., and Aitcin, P. C. (1997) Mechanical Properties and Durability of Two Industrial Reactive Powder Concrete. ACI Materials Journal 94, 286-290.Google Search
2 
Choi, M. S., Kang, S. T., Lee, B. Y., Koh, K. T., and Ryu, G. S. (2016) Improvement in Predicting the Post-Cracking Tensile Behavior of Ultra-High Performance Cementitious Composites Based on Fiber Orientation Distribution. Materials 2016(9), 829.DOI
3 
Cox, H. L. (1952) The Elasticity and Strength of Paper and Other Fibrous Materials. British Journal of Applied Physics 3(3), 72-79.DOI
4 
Ferrara, L., Ozyurt, N., and di Prisco, M. (2011) High Mechanical Performance of Fibre Reinforced Cementitious Composites: The Role of “Casting-Flow Induced” Fiber Orientation. Materials and Structures 44, 109-128.DOI
5 
Graybeal, B. and Davis, M. (2008) Cylinder or Cube: Stregnth Testing of 80 to 200 MPa (116 to 29 ksi) Ultra-High- Performance-Fiber-Reinforced Concrete. ACI Materials Journal 105, 603-609.Google Search
6 
Jungwirth, J. and Muttoni, A. (2004) Structural Behavior of Tension Members in Ultra High Performance Concrete. In Proceedings of the International Symposium on Ultra High Performance Concrete, Kassel, Germany, 13-15 September 2004. 535-546.Google Search
7 
Kang, S. T. and Kim, J. K. (2011) The Relation between Fiber Orientation and Tensile Behavior in an Ultra High Performance Fiber Reinforced Cementitious Composites (UHPFRC). Cement and Concrete Research 41, 1001-1014.DOI
8 
Kang, S. T. and Kim, J. K. (2012) Investigation on the Flexural Behavior of UHPCC considering the Effect of Fiber Orientation Distribution. Construction and Building Materials 28, 57-65.DOI
9 
Kang, S. T., Lee, B. Y., Kim, J. K. and Kim, Y. Y. (2011) The Effect of Fibre Distribution Characteristics on the Flexural Strength of Steel Fibre-Reinforced Ultra High Strength Concrete. Construction and Building Materials 25, 2450-2457.DOI
10 
Kang, S. T., Ryu, G. S., Koh, K. T., and Kim, S. Y. (2014) Comparison of Flexural Tensile Behaviors with Different Filling Directions in Producing UHPCC Flexural Member. Journal of the Korean Society of Civil Engineers 34(2) 447-455. (In Korean)DOI
11 
Kim, D. J. (2010) Influence of Number of Twist on Tensile Behavior of High Performance Fiber Reinforced Cementitious Composites with Twisted Steel Fibers. Journal of the Korea Concrete Institute 22(4), 575-583. (In Korean)DOI
12 
Kim, M. H., Kim, J. M., and Nam, S. I. (1994) An Experimental Study on the Development and Application of Steel Fiber Reinforced Concrete. Journal of the Korea Concrete Institute 6(1), 142-151.Google Search
13 
Korea Concrete Institute (2012) The Structural Design Guideline of Ultra-High Performance K-UHPC. Seoul: Korea Concrete Institute.Google Search
14 
Korea Concrete Institute (2016) The Structural Design Guideline of the Fiber Reinforced SUPER Concrete. Seoul: Korea Concrete Institute.Google Search
15 
Kwon, S. H., Kang, S. T., Lee, B. Y., and Kim, J. K. (2012) The Variation of Flow-Dependent Tensile Behavior in Radial Flow Dominant Placing of Ultra High Performance Fiber Reinforced Cementitious Composites (UHPFRCC). Construction and Building Materials 33, 109-121.DOI
16 
Lee, H. H. and Lee, H. J. (2004) Characteristic Strength and Deformation of SFRC Considering Steel Fiber Factor and Volume Fraction. Journal of the Korea Concrete Institute 16(6), 759-766. (In Korean)DOI
17 
Lee, Y., Kang, S. T., and Kim, J. K. (2010) Pullout Behavior of Inclined Steel Fiber in an Ultra-High Strength Cementitious Matrix. Construction and Building Materials 24(10), 2030-2041.DOI
18 
Li, V. C., Wang, Y., and Backer, S. (1991) A Micromechanical Model of Tension-Softening and Bridging Toughness of Short Random Fiber Reinforced Brittle Matrix Composites. Journal of the Mechanics and Physics of Solids 39, 607-625.DOI
19 
Li, V. C., Wu, C., Wang, S., Ogawa, A., and Saito, T. (2002) Interface Tailoring for Strain-Hardening Polyvinyl Alcohol- Engineered Cementitious Composites (PVA-ECC). ACI Materials Journal 99(5), 463-472.Google Search
20 
Mandel, J., Wei, S., and Said, S. (1987) Studies of the Properties of the Fiber-Matrix Interface in Steel Fiber Reinforced Mortar. ACI Materials Journal 84, 101-109.Google Search
21 
Park, J. J., Koh, K. T., Kang, S. T., and Kim, S. W. (2005) Influence of Constitute Factor on the Compressive Strength of Ultra-High Strength Steel Fiber Reinforced Cementitious Composites. Journal of the Korea Concrete Institute 17(1), 35-41. (In Korean)DOI
22 
Richard, P. and Cheyrezy, M. (1995) Composition of Reactive Powder Concrete. Cement and Concrete Research 25, 1501-1511.DOI
23 
Stang, H. and Shah, S. P. (1986) Failure of Fiber-Reinforced Composites by Pull-out Fracture. Journal of Materials Science, 21, 953-957.DOI
24 
Xia, M., Hamada, H., and Maekawa, Z. (1995) Flexural Stiffness of Injection Molded Glass Fiber Reinforced Thermoplastics. International Polymer Processing 10(1), 74-81.DOI
25 
Yoo, D. Y., Kang, S. T., Banthia, N., and Yoon, Y. S. (2017) Nonlinear Finite Element Analysis of Ultra-High-Performance Fiber-Reinforced Concrete Beams. International Journal of Damage Mechanics 26(5), 735-757.DOI