Mobile QR Code QR CODE
Export citation EndNote




폴리머 시멘트 슬러리 , 부착강도 , 폴리머 시멘트비 , 양생재령 , 도장두께
polymer cement slurry , bond strength , polymer-cement ratio , curing age , coating thickness

/Resources/kci/JKCI.2013.25.1.073/images/PIC1C13.gif1. 서     론1)

 

Table 1 Experiment factors in this study

Factor

Level

Variables

Specimen number

Cement

 Ordinary portland cement(O), ultra-rapid hardening cement(U)

2

288

Polymer

 St/BA, EVA

2

Polymer-

cement ratio

(P/C, %)

 50, 60, 80, 100

4

Curing age

 3-hour, 1-day, 7-day

3

Coating thickness (µm)

75, 100, 150 ,250

4

이 연구는 무기물인 시멘트와 유기물인 폴리머로 만든 복합도장재인 폴리머 시멘트 슬러리(polymer cement slurry; 이하 PCS)로 도장한 이형철근의 특성에 대한 기존의 연구1-3)를 기초로 하여 도장재로 널리 사용되고 있는 에폭시 도장재에 대한 대체 가능성을 확보하기 위한 일련의 연구이다. 기존의 연구 결과, 에폭시 철근에 비해 인성이 크고, 적절한 접착성과 90° 이상에서도 굽힘이 가능하고, 특히 코스트면에서는 에폭시 도장재의 10~30%의 단가로 상온에서 도장이 가능하다는 결론을 얻었다. 철근에 피복되는 도장재는 시멘트 콘크리트 속에 매립되기 때문에 시멘트계 재료가 유리할 수 있다는 조건하에서, 폴리머를 혼입하지 않고 시멘트계 재료만 사용하면 건조균열로 도장할 수 없기 때문에 폴리머를 복합화하여 얇은 피복두께에도 불구하고 인성 개선으로 도장이 가능한 조건을 만든 것이다. 이러한 시멘트의 인성을 개선시킴과 동시에 강재와의 부착력을 증진시키는 폴리머의 선택이 무엇보다도 중요하다. 또한 시멘트계 재료와 혼입된 폴리머는 시간이 지남에 따라 수분이 증발되면 입자가 서로 응집되어 필림과 같은 형태를 갖는데,4) 이 필림의 탄성계수가 시멘트 콘크리트 보다 매우 작기 때문에 경화과정에서 초기 도장재의 빠른 수화에 의한 조기 강성증진을 위해 조강성시멘트가 필요한 것이다.1,2) PCS의 강성을 부여하기 위해서는 최적 도장두께의 결정이 중요한데, 이형철근의 부착력을 위해서는 가능한 한 얇은 도장두께가 요구되나, PCS를 도장하는 이유가 적절한 방식성능을 확보하는 것이기도 하기 때문에 어느 정도 두께 확보도 중요하다. 그리고 폴리머의 종류와 더불어 시멘트와의 적절한 혼입비가 중요한데, 이는 PCS의 탄성계수를 좌우할 수 있는 요인이기 때문이다.

이 연구는 기존의 많은 연구 결과를 기초로 하여, PCS에 대한 기초적 성능 중 강재에 대한 부착성능을 초기재령에서 폴리머 종류, 시멘트 종류, 폴리머 시멘트비의 배합조건, 도장두께와 도장 후 양생시간에 따라 평가하고자 하였다.

2. 실험계획 및 방법

2.1 실험계획

폴리머 종류 2가지, 시멘트 종류 2가지 및 폴리머 시멘트비 4가지로 변화시켜 PCS를 만든 후, PCS 도장두께를 4종류로 하여 도장하였다. 여기에 양생재령을 3시간, 1일 및 7일로 변경시켜 양생을 실시하였으며 양생한 후 시멘트 콘크리트 속에 도장철근을 매립하여 공시체를 제작하였다. 이 연구에서는 시멘트 종류, 폴리머 종류, 폴리머 시멘트비, 양생재령 및 도장두께가 부착강도에 미치는 영향을 중심으로 평가하고자 하였다. 비교를 위하여 무도장 보통철근 및 에폭시철근에 대한 부착강도 시험도 실시하였다. 이 연구의 실험요인 및 수준은 Table 1과 같다.

2.2 사용재료

2.2.1 시멘트

이 실험에 사용된 시멘트는 보통포틀랜드시멘트와 도장재의 조기 강도발현을 위하여 초조강 시멘트를 사용하였다.

2.2.2 시멘트 혼화용 폴리머

이 실험에 사용한 시멘트 혼화용 폴리머 디스퍼션은 스티렌-부틸 아크릴산 공중합체(St/BA)와 에틸렌 초산 비닐(EVA)을 사용하였으며, 그 성질은 Table 2

Table 2 Properties of polymer dispersions

Type of polymer

Density

(g/cm3, 20℃)

pH

(20℃)

Viscosity

(mPa․s, 20℃)

Solid content

(%)

St/BA

1.04

8.5

574

56.0

EVA

1.07

4.8

1588

47.5

 

Table 3 Mix proportions of PCS

Cement

(g)

Type of polymer

Polymer

(g)

P/C

(%)

W/C

(%)

200

St/BA

200, 240,

320, 400

50, 60,

80, 100

50~100

EVA

 

/Resources/kci/JKCI.2013.25.1.073/images/PIC1C71.gif

/Resources/kci/JKCI.2013.25.1.073/images/PIC1C91.gif

/Resources/kci/JKCI.2013.25.1.073/images/PIC1CB2.gif

(a) Polymer dispersion

(b) Mix with cement

(c) PCS

 

 

 

/Resources/kci/JKCI.2013.25.1.073/images/PIC1CF1.jpg

/Resources/kci/JKCI.2013.25.1.073/images/PIC1D30.jpg

/Resources/kci/JKCI.2013.25.1.073/images/PIC1D41.jpg

(d) Spray coating

(e) Immersion coating

(f) Coated rebar

Fig. 1 Making of PCS and coating process3)

와 같다.

2.2.3 이형철근 및 골재

이형철근은 D19를 사용하였으며, 시멘트 콘크리트용 굵은골재는 20mm 이하 쇄석골재를, 잔골재는 2.5mm 이하 강모래를 사용하였다.

2.3 실험방법

2.3.1 PCS 제조 및 도장

PCS는 2종류의 폴리머를 사용하여 Table 3과 같은 배합비로 제조하였다. 또한 폴리머 시멘트비는 50%, 60%, 80% 및 100%로 정하였으며, 배합에 있어 EVA 배합의 경우 점성이 커 일정량의 첨가수를 혼입하였다. Fig. 1과 같은 도장기구를 이용하여 도장두께 75µm와 100µm는 ±15µm, 도장두께 150µm와 250µm는 ±25µm 범위내에서 정밀도를 확보하였다. 또한 도장두께 75µm와 100µm는 뿜칠도장으로 하였으며, 150µm와 250µm의 비교적 두꺼운 도장두께는 시공성을 위하여 침지도장을 실시하였다. 기존의 연구 결과3)에서 양생재령 3시간에서도 도장 가능성을 확인한 바, 양생재령 1일과 7일의 경우와 달리 도장두께를 75µm와 100µm, 폴리머 시멘트비는 80%와 100%만을 비교 대상으로 하였다.

2.3.2 부착강도 시험용 공시체 제작

Fig. 2

/Resources/kci/JKCI.2013.25.1.073/images/PIC1D52.jpg

/Resources/kci/JKCI.2013.25.1.073/images/PIC1D91.gif

/Resources/kci/JKCI.2013.25.1.073/images/PIC1DC1.gif

/Resources/kci/JKCI.2013.25.1.073/images/PIC1DD1.jpg  /Resources/kci/JKCI.2013.25.1.073/images/PIC1E11.gif

/Resources/kci/JKCI.2013.25.1.073/images/PIC1E41.gif

Fig. 2 Mold and specimen for bond strength3)

 

/Resources/kci/JKCI.2013.25.1.073/images/PIC1E51.png

Fig. 3 Specimen size for bond strength

및 3과 같이 이형철근이 시멘트 콘크리트의 정 중앙에 위치하도록 고정할 수 있는 특수 제작한 형틀을 사용하였다. 또한 부착강도 시험시 도장철근과 시멘트 콘크리트와의 응력-슬립의 관계를 알아보기 위하여 형틀을 낮추어 이형철근의 하단이 시멘트 콘크리트 하단으로 나올 수 있도록 제작하였다. 도장철근의 순수 부착력을 알아보기 위하여 시멘트 콘크리트 매립부분인 150mm 중, 철근 중앙부 75mm만 시멘트 콘크리트와 부착할 수 있도록 매립부 양쪽에 철근을 PVC 파이프로 감쌌다. 그리고 철근의 인장에 의한 시멘트 콘크리트의 인장파괴를 제어하기 위하여 지름 3mm 철근으로 정육면체 골격을 제작하여 시멘트 콘크리트 내부를 보강하였다. 공시체용 시멘트 콘크리트는 시멘트 400kg, 잔골재 745kg, 굵은 골재 925kg, 물 168kg의 단위중량과, 잔골재율 45% 및 물시멘트비 42%로 배합한 목표 압축강도 27MPa로 배합설계 하였다. 이후 건조양생(20±2℃, R.H 50%)을 3시간, 1일 및 7일간 실시한 도장철근을 시멘트 콘크리트 속에 매립하여 시험용 공시체를 제작하였다. 부착강도용 공시체는 제작 후, 20℃ 수중에서 28일간 양생하였으며 비교를 위하여 도장하지 않은 보통철근과 에폭시철근도 사용하여 공시체를 제작하였다.

2.3.3 일단인발 부착강도 시험

소정의 양생을 마친 부착강도용 시멘트 콘크리트 공시체를 Fig. 4

/Resources/kci/JKCI.2013.25.1.073/images/PIC1E81.gif

/Resources/kci/JKCI.2013.25.1.073/images/PIC1EB1.gif /Resources/kci/JKCI.2013.25.1.073/images/PIC1EE1.gif

(a) Test machine

(b) Controller panel and data logger

Fig. 4 Tester for bond strength3)

 

/Resources/kci/JKCI.2013.25.1.073/images/PIC1F8D.gif

Fig. 5 Bond strength of coated rebar according to polymer-  cement ratio of PCS (in order, 75, 100, 150, and 250µm)

와 같은 만능시험기를 이용하여, 일단인발시험을 실시하였다. 철근의 슬립은 철근 하단에 LVDT를 설치하여 데이터로그로 측정하였으며 부착강도는 인장하중을 철근의 주장과 부착길이 곱의 합으로 나누어 산출하였다.

3. 실험 결과 및 고찰

3.1 폴리머 시멘트 비에 따른 도장철근의 부착강도

Fig. 5에는 도장용 PCS의 폴리머 시멘트비에 따른 도장재령 3시간, 1일 및 7일에 있어서의 도장철근의 부착강도를 나타내고 있다. 도장두께 75µm에서, 재령 7일의 최대 부착강도는 폴리머 시멘트비가 감소할수록 높게 나타났는데, 초조강 시멘트와 EVA 사용, 폴리머 시멘트비 80%에서 16.4MPa의 높은 부착강도를 나타냈으며, 이는 도장하지 않은 보통철근에 비해 1.32배, 에폭시철근에 비해 1.38배의 높은 강도이다. 그러나 도장두께 100µm 이상에서는 폴리머 시멘트비의 증감에 따른 부착강도의 일정한 변화는 발견할 수 없었다. 또한 도장두께 100µm의 재령 7일중에서 최대 부착강도는 초조강 시멘트와 EVA 사용, 폴리머 시멘트비 80%에서 18.8MPa의 아주 높은 부착강도를 나타냈다. 재령 1일에 있어서의 부착강도는 도장두께 100µm 이하에서 폴리머 시멘트비에 관계없이 보통철근 및 에폭시철근 보다 높은 부착강도를 나타냈으며, 250µm에서는 모든 폴리머 시멘트비에서 낮은 부착강도를 나타냈다. 기존 연구3)에서 구조용 부착강도를 위한 도장두께를 100µm±50µm 이하를 제안했는데, 도장두께 100µm 이하로 도장한 경우, 도장철근의 부착강도는 보통시멘트를 사용한 경우 낮은 폴리머 시멘트비인 50~60%에서, 초조강 시멘트의 경우 폴리머 시멘트비 80~100%에서 높은 부착강도를 나타냈는데, 보통시멘트의 경우에서도 폴리머 종류에 따라 부착강도의 차이가 그리 크지 않아 기존의 연구 결과1-3)를 종합하면, 보통시멘트의 경우에 있어서도 80%~100%의 높은 폴리머 시멘트비가 유리한 것으로 볼 수 있다. 기존의 연구에서 PCS의 양생재령 1일, 7일, 14일 및 28일의 재령에 따른 연구 결과3)를 기초로 하여, 현장에서 유리하게 적용될 수 있도록 양생재령 3시간에 대한 도장두께 75µm와 100µm, 폴리머 시멘트비 80% 및 100%에 대한 부착강도를 알아보고자 하였다. 재령 3시간에서의 부착강도는 폴리머의 종류와 시멘트 종류에 관계없이 대체적으로 100%의 경우가 80%에 비해 높은 부착강도를 나타냈다. 이는 비교적 도장두께가 작은 100µm 이하에서 폴리머 시멘트비의 증가에 따른 PCS 도장재의 강성에 영향을 미치지 못했으며 오히려 폴리머 고유의 성질인 접착성능이 철근과의 부착력을 개선시켰다고 볼 수 있다.

3.2 폴리머 및 시멘트 종류에 따른 부착강도

Fig. 6

/Resources/kci/JKCI.2013.25.1.073/images/PIC203A.gif

Fig. 6 Bond strength of coated rebar according to type of  polymer of PCS(in order, 75, 100, 150, and 250µm)

에는 PCS 도장재의 폴리머 종류에 따른 도장철근의 부착강도를 나타내고 있다. 거의 모든 도장두께와 양생재령에서 같은 시멘트를 사용한 경우, 최대부착강도는 St/BA 보다 EVA의 경우가 훨씬 높은 부착강도를 나타냈는데, 이는 폴리머 디스퍼션이 시멘트 슬러리 안에서 경화한 후 형성된 폴리머 필림의 강성에 기인한 것이며, 기존의 연구 결과1) EVA의 탄성계수(약 60MPa)가 St/BA 탄성계수(12MPa) 보다 약 5배 큰데, 각 폴리머의 탄성계수와 철근의 상대탄성계수비가 클수록 부착강도가 크게 발휘 된다고 볼 수 있다. St/BA의 경우, 폴리머 시멘트비가 증가할수록, 즉 시멘트 슬러리 속의 폴리머 혼입량이 많을수록 철근과 부착 경계면에서의 이형철근과의 부착강성에 다소 영향을 미친 것으로 볼 수 있다. 그러나 St/BA는 인성이 풍부하여 철근의 굴곡성, 방식성 등에서는 EVA 보다 우수한 것으로 알려져 있다.1,2) EVA의 경우에는 비교적 폴리머 시멘트비가 증가할 수록 물론 탄성계수가 작아지나, 그 정도는 St/BA에 비해 작게 나타났다. 양생재령 3시간 및 1일의 초기재령에서의 도장철근의 부착강도도 폴리머 종류에 따라 약간의 차이는 있으나, 기존의 7일, 14일 및 28일 양생재령의 부착강도3)에 비해 동등이상의 부착강도를 발현한다는 것은 실제 건설현장에서의 사용성에 큰 장점이 될 수 있다. 이 연구에서 사용한 St/BA 폴리머에 비해 EVA 폴리머가 단가면에서 약 30% 저렴해 EVA로 만든 PCS가 성능이 우수하다는 것 또한 경제성에서 유리할 것으로 사료된다. 이 연구에서도 경제성 측면에서 폴리머 시멘트비를 낮추어 PCS의 최적 배합을 도출하려 하였으나, 폴리머 시멘트비 50~60%에서도 부착강도가 높게 발현하는 경우도 있었다. 다만, 기존 연구 결과를 종합하여 볼 때, 부착강도만의 성능 보다는 이형철근의 방식성, 굴곡성과 내약품성 등의 내구성 측면에서는 폴리머 시멘트비가 80% 이상으로 하는 것이 적절하게 평가된다. PCS 도장재의 시멘트 종류에 따른 도장철근의 시멘트 콘크리트에 대한 부착강도는 폴리머의 종류에 따라 차이는 있으나, 이 연구에서 사용된 St/BA 및 EVA에 대한 보통시멘트 및 초조강 시멘트 모두 도장하지 않은 보통철근과 에폭시철근에 비해 높은 부착강도를 나타냈다. 이 높은 부착강도 중에서 초조강 시멘트와 EVA, 보통시멘트와 EVA, 초조강 시멘트와 St/BA, 보통시멘트와 St/BA 순으로 최대부착강도를 발현하였다. 이 연구에서의 시멘트의 역할은 아주 얇은 도장재의 조기강성을 부여하면서 이형철근과 부착력을 높이는데 중요한 결합재로 작용하기 때문이다. 물론 보통시멘트의 경우에도 도장두께 250µm 까지도 5~6시간이면 표면이 경화하여 바로 콘크리트를 타설할 수 있지만, 초조강 시멘트의 경우가 초기에 PCS의 강성을 보다 더 높일 수 있는 결과로 볼 수 있다. 이는 또한 향후 건설현장에서 뿜칠방법으로 도장하여 3시간 이내에 콘크리트를 타설할 수 있다면 시공성면에서 크게 유리할 것이라고 생각된다.

3.3 도장두께에 따른 도장철근의 부착강도

Fig. 7

/Resources/kci/JKCI.2013.25.1.073/images/PIC2115.gif

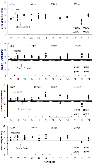
Fig. 7 Bond strength of coated rebar according to polymer type of PCS (in order, O+St/BA, U+St/BA, O+EVA and U+EVA)

에는 PCS 도장재의 도장두께에 따른 도장철근과의 부착강도를 나타내고 있다. 보통시멘트와 St/BA를 사용한 경우, 재령 7일에서 최대부착강도는 75µm, 250µm, 100µm, 150µm 순으로 높게 나타났으며, 재령 1일에서는 75µm, 100µm, 150µm, 250µm 순으로, 그리고 재령 3시간에서는 100µm가 75µm 보다 큰 부착강도를 나타냈다. 보통시멘트와 EVA를 사용한 경우, 재령 1일 도장두께 250µm를 제외하면 도장하지 않은 보통철근과 에폭시철근에 비해 훨씬 높은 부착강도를 나타냈으며, 3가지 재령을 종합하면, 100µm에서 높은 부착강도가 발현되었다. 또한 초조강 시멘트를 사용한 경우, 폴리머 종류 및 재령에 관계없이 100µm에서 가장 높은 부착강도를 나타냈으며, 그 외의 도장 두께에서는 거의 비슷한 결과를 나타냈다. 기존의 연구 결과3)를 종합하면, PCS 도장재로 도장한 이형철근의 부착강도에 영향을 미치는 최대 요인중의 하나가 도장두께라 할 수 있다. 보통 에폭시철근의 에폭시 도장두께는 부착강도와 내구성 면에서 250±50µm를 제안하는데, 보통 에폭시철근의 경우 도장두께가 두꺼울수록 부착강도가 낮아져5) 500µm 정도가 되면 보통철근의 50%에 해당하는 부착강도를 나타내는데,6) 한국콘크리트학회의 에폭시 도막 철근콘크리트의 설계 및 시공지침과 ASTM에서 규정한 부착강도는 보통철근의 부착강도 대비 80% 이상을 제안하고 있다. 이 연구에서는 모든 PCS 배합에서 보통철근 부착강도의 80% 이상을 나타내, 도장철근으로서의 부착강도는 부족함이 없지만, 부착강도 이외의 내구성능을 감안한 배합의 도장두께를 실제 현장에 사용되어야 할 것이다. 이 연구에서 PCS 도장재의 도장두께로서는 부착강도를 감안하면 100µm 정도가 유리하고 더욱이 현장에서의 뿜칠도장을 고려한다면 150µm 이상의 도장두께를 확보하기 위해서는 도장공정의 도장횟수가 늘어나 시공성 면에서 불리할 것으로 본다.

3.4 PCS 도장재의 양생재령에 따른 부착강도

Fig. 8에는 PCS의 양생재령에 따른 도장철근의 부착강도를 나타내고 있다. 보통시멘트와 St/BA 사용 PCS의 도장두께 75µm의 경우, 양생재령 7일, 1일, 3시간 순으로, 도장두께 100µm 경우, 1일, 7일, 3시간 순으로, 또한 150µm와 250µm 경우 양생재령 7일이 1일보다 높은 부착강도를 나타냈다. 특히 양생재령 3시간의 보통시멘트와 EVA를 사용한 도장두께 75µm에서도 도장하지 않은 보통철근과 에폭시철근 보다 동등이상의 부착강도를 나타냈다. 도장두께 100µm에서는 15.6MPa의 높은 부착강도를 나타냈는데, 이는 보통철근의 1.26배, 에폭시철근의 1.31배의 높은 부착강도이다. 또한 초조강 시멘트를 사용한 양생재령 3시간의 경우의 부착강도는 더욱더 강도발현이 커, 재령 1일 이상의 양생재령에 비해 부착강도가 열악하지 않는 결과를 얻을 수 있었다. 이와 같이 양생재령 3시간에서 도장이 가능하다는 것은 현장에서의 시공성 문제에 커다란 장점이 될 수 있으며, 건설현장에서 배근된 철근에 바로 뿜칠도장을 실시한 후 3시간만에 콘크리트를 타설할 수 있다는 것으로 설명될 수 있다.

/Resources/kci/JKCI.2013.25.1.073/images/PIC21F1.gif

Fig. 8 Bond strength of coated rebar according to curing age (in order, O+St/BA, U+St/BA, O+EVA and U+EVA)

/Resources/kci/JKCI.2013.25.1.073/images/PIC22CC.gif

Fig. 9 Bond stress and slip of PCS-coated rebar at coating  thickness of 75 µm

3.5 PCS 도장철근의 부착응력과 슬립

3.5.1 도장두께에 따른 부착응력과 슬립

이 연구에서는 배합종류에 따라 부착강도 시험체를 이용하여 최대 부착응력까지의 부착슬립을 구하였다. Fig. 9와 10에는 대표적으로 양생재령 3시간, 1일 및 7일에 있어서의 도장두께 75µm와 100µm의 PCS 도장철근의 부착응력과 슬립과의 관계를 나타내고 있다. 여기에서 양생재령 3시간을 제외한 1일과 7일의 부착응력-슬립 그래프는 초조강 시멘트를 사용한 경우이다. 양생재령 3시간, 도장두께 75µm에서 부착응력과 슬립과의 관계에서, 보통시멘트, EVA 80%를 제외하면 거의 모든 배합에서 도장하지 않은 보통철근과 에폭시철근에 비해 슬립이 같거나 약간 크게 나타냈으나, 도장두께 100µm에서는 오히려 일부 배합을 제외하면 같은 응력에서 슬립이 작게 나타나, 도장두께가 최종 부착강도에 영향을 미친 것으로 파악할 수 있다. 또한 150µm 이상의 두꺼운 도장두께의 경우 오히려 슬립의 크기가 훨씬 커진 경향을 보였다.

3.5.2 PCS 도장재의 양생재령에 따른 부착응력과 슬립

도장두께 75µm와 100µm인 PCS 도장재의 양생재령에 따른 부착응력과 슬립과의 관계를 보면, 도장두께 75µm에서 양생재령 3시간의 응력-슬립 관계는 양생재령 7일과 유사하게 나타났으며, 오히려 1일 보다 슬립의 크기가 작게 나타났다. 또한 도장두께 100µm에서는 3시간 양생재령에서 양새재령 1일과 7일에 비해 훨씬 슬립이 작게 나타나 부착강도에도 영향을 미친 것으로 볼 수 있다. 이 연구와 기존 연구를 통하여 알 수 있었던 것은 도장두께가 얇은 경우 슬립이 작아 부착강도가 크게 나타나는 일정한 경향을 발견할 수 없었으나, 도장두께가 150µm 이상에서는 슬립이 큰 경우 부착강도가 낮게 나타나 도장두께가 부착강도에 큰 영향을 미친 것으로 파악할 수 있었다.

Fig. 11

/Resources/kci/JKCI.2013.25.1.073/images/PIC23B7.gif

Fig. 10 Bond stress and slip of PCS-coated rebar at coating  thickness of 100 µm

/Resources/kci/JKCI.2013.25.1.073/images/PIC23D7.JPG

/Resources/kci/JKCI.2013.25.1.073/images/PIC23E8.JPG

/Resources/kci/JKCI.2013.25.1.073/images/PIC23F8.JPG

/Resources/kci/JKCI.2013.25.1.073/images/PIC2419.JPG

(a) OPC+St/BA

(b) OPC+EVA

 

 

 

 

/Resources/kci/JKCI.2013.25.1.073/images/PIC2429.JPG

/Resources/kci/JKCI.2013.25.1.073/images/PIC243A.JPG

/Resources/kci/JKCI.2013.25.1.073/images/PIC244A.JPG

/Resources/kci/JKCI.2013.25.1.073/images/PIC245B.JPG

(c) UHS+St/BA

(d) UHS+EVA

 

 

 

 

/Resources/kci/JKCI.2013.25.1.073/images/PIC247B.JPG

/Resources/kci/JKCI.2013.25.1.073/images/PIC248C.JPG

/Resources/kci/JKCI.2013.25.1.073/images/PIC24AC.JPG

/Resources/kci/JKCI.2013.25.1.073/images/PIC24BD.JPG

(e) Uncoated rebar

(f) Epoxy-coated rebar

Fig. 11 Specimen failure at curing age of 7 days, coating thick-ness of 100µm, and P/C 100% after bond strength test

은 PCS 도장철근의 부착강도 시험후 파괴된 시험체를 나타내고 있다. 이 연구와 같이 순수부착강도를 알아보기 위한 방법에서 모든 시험체는 도장하지 않은 보통철근과 에폭시철근과 마찬가지로 철근의 인발에 의한 뽐힘현상이 나타나고 최후에 철근리브에 의한 기계적 부착 내력이 증가하면서 쪼갬 파괴가 일어나 균열이 발생한 것으로 볼 수 있다. 파괴된 후의 PCS 도장재는 찢김현상이 보였으며, 표면에 많은 시멘트 콘크리트가 부착되어 있어 부착력이 개선되었음을 알 수 있었으나, 보통철근 및 에폭시철근은 그러한 흔적을 찾아볼 수 없었다.

4. 결    론

각종 PCS의 배합을 달리하여, 도장철근의 부착강도 개선에 영향을 미치는 초기재령에서의 PCS 도장재 배합에 대한 연구 결과를 정리하면 다음과 같다.

1)폴리머 종류 및 시멘트 종류에 따라 약간의 차이는 있으나, PCS 도장재의 부착강도는 폴리머 시멘트비80%~100%에서 높게 발현되었다.

2)폴리머는 EVA, 시멘트는 초조강 시멘트를 사용한 경우, 동일한 재령, 도장두께, 폴리머 시멘트비에서 대체적으로 높은 부착강도를 나타냈다.

3)도장두께에 따른 도장철근의 부착강도는 양생재령에 따라 약간의 차이가 있으나 100µm에서 높게 나타냈다.

4)PCS 도장두께가 두꺼울수록 응력에 따른 슬립이 크게 나타났으며, 도장두께 100µm 이하에서 보통철근 및 에폭시철근과 비슷한 응력에 대한 슬립을 나타냈다.

5)양생재령에 따른 PCS 도장철근의 부착강도는 도장두께에따라 약간의 차이는 있으나, 양생재령 3시간에 있어서도 양생재령 7일과 동등수준으로 보통철근 및 에폭시철근보다 큰 부착강도를 나타냈다.

6)이 연구에서 목표재령으로 한 초기 양생재령인 3시간에서도 도장두께가 100µm인 경우, 보통철근 및 에폭시철근에 비해 높은 부착강도를 나타낸 결과를 기초로 향후 실제 크기의 구조체 실험을 실시하여 건설현장에서의 적용성을 평가하고자 한다.

Acknowledgements

이 연구는 2011년 정부(교육과학기술부)의 재원으로 한국연구재단의 기초연구사업의 지원을 받아 수행된 연구이다(2011-0003141).

References

1 
1.Jo, Y. K. and Jeong, S. P., “A Study on the Performance Tests of Polymer Cement Slurry-Coated Steels,” Journal of Korean Society of Civil Engineers, Vol. 27, No. 5A, 2007, pp. 759-769.
2 
2.Jo, Y. K., “Tensile Properties and Adhesion of Hybrid- Type Anti-Corrosion Polymer Cement Slurry,” Journal of the Korea Concrete Institute, Vol. 20, No. 5, 2008, pp. 635-642.
3 
3.Jo, Y. K., Park, D. Y., and Jang, G. S., “Effects of Mix Proportions and Coating Thickness on the Bond Strength of Coated Rebar by Polymer Cement Slurry,” Journal of Architectural Institute of Korea, Vol. 27, No. 6, 2011, pp. 107-114.
4 
4.Ohama, Y., Handbook of Polymer-Modified Concrete and Mortars, Noyes Publications, New Jersey, USA, 1995, 225 pp.
5 
5.Choi, O., C., “Bond of Epoxy-Coated Reinforcing Bars,” Proceedings of 1990 AIK Autumn Annual Conference, Vol. 10, No. 2, 1990, pp. 539-542.
6 
6.Yu, T. H., “An Experimental Study for the Bond  Performance of the Epoxy-Coated Reinforcement in Marine Concrete Structures,” Hanyang University, Master’s Thesis, 1996, pp. 34-35.