문도영
(Do Young Moon)
1*iD
이강진
(Kang Jin Lee)
2
-
경성대학교 토목공학과 교수
(Professor, Department of Civil Engineering, Kyungsung University, Busan 48434, Rep.
of Korea)
-
경성대학교 토목공학과 석사과정
(Graduate Student, Department of Civil Engineering, Kyungsung University, Busan 48434,
Rep. of Korea)
Copyright © 2026 Korea Concrete Institute(KCI)
핵심용어
강섬유, 레올로지 특성, 전자기장, 정렬
Keywords
steel fiber, rheological property, magnetic field, alignment
1. 서 론
강섬유 보강 콘크리트(steel fiber reinforced concrete, SFRC) 또는 몰탈(SFRM)은 전통적인 시멘트 기반 재료에 비해
우수한 인성, 파괴에너지, 균열 제어 성능을 가진다. 그러나 그 성능은 단순히 섬유의 혼입량만으로 결정되지 않고, 섬유의 배향도(orientation
factor)와 분포상태에 크게 의존한다는 사실이 많은 연구에서 보고되었다(Blanco et al. 2016;
Barros and Sena Cruz 2001;
Ferrara et al. 2007;
Kang and Kim 2012;
Medeghini et al. 2022;
Zhang et al. 2023). 무작위로 분포된 섬유보다 일정한 방향으로 정렬된 섬유가 거시적 기계적 성능을 향상시킬 수 있음을 고려할 때, 섬유의 배향을 제어할 수 있는 기술은
학문적·실무적으로 매우 중요한 의미가 있다. 이러한 배경에서 최근 전자기장(electromagnetic field)을 활용하여 섬유를 인위적으로 정렬(alignment)
시키려는 시도가 이루어지고 있다(Mu et al. 2015;
Michels and Gams 2016;
Ferrández et al 2019;
Hajforoush et al. 2020;
Javahershenas et al. 2021;
Kang et al. 2021;
Lee and Moon 2023). 전자기장은 주로 솔레노이드 코일(solenoid coil)을 통해 발생시키며, 발생하는 전자기력은 권선수와 인가 전류의 크기에 비례한다. 점성유체로서의
시멘트 몰탈 내부에 존재하는 강섬유가 정렬되기 위해서는, 전자기력에 의해 발생하는 회전 토크(rotational torque)가 몰탈의 점도 특성에
기반하는 저항 모멘트를 상회해야 한다. 그러므로 섬유의 정렬 가능성과 효율은 전자기장의 세기뿐 아니라 몰탈의 레올로지 특성과 밀접하게 연계된다.
강섬유보강 시멘트계 재료의 레올로지 특성은 단순히 작업성(workability)과 펌핑성(pumpability)에 영향을 줄 뿐 아니라 혼입된 섬유의
분산성, 공극 구조 형성, 나아가 경화 후 재료의 기계적·내구적 성능에도 큰 영향을 미친다. 레올로지 특성을 정량화하기 위해 다양한 유체 모델이 제시되어왔다.
대표적으로 Bingham 모델은 항복강도와 소성점도를 이용해 시멘트계 재료의 유동 거동을 설명하며, Herschel–Bulkley 모델은 비선형 점도
특성을 반영할 수 있다(Banfill 1991;
Banfill 2005). 그러나 이러한 모델들은 재료가 외부 물리적 자극인 전자기장의 영향에 의한 특수한 거동을 충분히 설명하기 어렵다. 전자기장 하에서 강섬유 보강 몰탈의
레올로지 변화에 대해 Kang et al. (2021)은 선도적 연구를 수행하였다. 이들은 전자기장을 가한 조건에서 몰탈의 항복강도와 점도를 측정하였으나, 해석에는 Bingham 모델을 적용하는 데 그쳤다.
즉, 전자기장 조건에서 발생하는 비선형적 유동 거동을 충분히 설명하지 못했으며, 전자기력에 의해 관찰된 특수한 stick-flow 현상에 대하여 이론적
접근이 부족하였다. 그러나 중요한 발견은 일부 실험에서는 모래의 일부를 스틸슬래그로 치환한 경우, 강섬유와 스틸슬래그 입자가 상호작용하면서 칼럼 구조(column
structure)가 형성되는 현상을 육안으로 확인한 것이다. 이러한 구조는 전자기력에 의해 유도되는 입자-섬유 간의 집합체적 거동으로서, 몰탈의
점도 특성과 흐름 저항에 큰 영향을 미치는 것으로 추론되었으나, 이에 대한 정량적 검증은 아직 이루어지지 않았다.
본 연구에서는 전자기장 하에서 강섬유 보강 몰탈의 레올로지 특성 변화를 실험적으로 분석하고, 전자기력에 의해 유도되는 stick–flow 거동을 규명하고자
하였다. 특히 전자기장 인가 시 나타나는 비선형 유동 특성을 기존의 Bingham 모델로는 충분히 설명할 수 없다는 점에 주목하였다. 전자기장 하에서
측정된 점도 분포를 기반으로 강섬유 정렬에 필요한 유효 전자기력을 평가하였다. 본 연구에서 전자기장 인가는 솔레노이드(solenoid)를 이용하여
구현하였다. 솔레노이드는 코일에 전류를 인가함으로써 내부에 비교적 균일한 자기장을 형성하는 장치로 솔레노이드에 의해 형성된 자기장은 몰탈 내부에 혼입된
강섬유에 회전 토크를 부여하며, 이 토크가 몰탈의 점도에 기인한 저항 모멘트를 상회할 경우 강섬유의 배향이 유도될 수 있다. 이 과정에서 몰탈의 레올로지
특성은 섬유 정렬 가능성과 요구되는 전자기력 수준을 결정하는 핵심 요소로 작용한다. 본 연구의 결과는 전자기장을 활용한 강섬유 배향 제어 기술의 적용
시, 요구되는 자기장 강도를 합리적으로 산정하기 위한 기초 자료로 활용될 수 있을 것으로 기대된다.
2. 실 험
2.1 실험개요
본 연구에서는 강섬유보강 몰탈과 일반 몰탈의 레올로지 거동을 실험하였다. 측정장비는 Brookfield DV3T를 사용하였다. 전자기장이 레올로지
거동에 미치는 영향을 확인하기 위하여 동일한 몰탈에 대하여 전자기장 노출 전(EMF OFF)과 후(EMF ON)에 대한 레올로지 거동을 관찰·비교하였다.
모든 실험은 EMF OFF 상태에서 먼저 레올로지 측정을 수행한 후, 동일 시편에 대해 일정 시간 경과 후 EMF ON 조건에서 측정을 수행하도록
실험 순서를 통일하였다.
일반 몰탈과 강섬유보강 몰탈의 배합표는 Table 1과 같다. 사용된 강섬유의 길이는 16.3 mm, 직경은 0.2 mm로서 형상비는 81.5이다. 섬유 단부는 직선으로 된 강섬유이며, 제조자로부터
받은 자료에 의하면 강섬유의 인장강도는 1,500 MPa이다. 강섬유의 혼입비는 0.25 %Vol.이다.
Table 1 Mix proportion of mortars
|
ID
|
Cement (kg/m3)
|
Water (kg/m3)
|
Sand (kg/m3)
|
Steel fiber (kg/m3, %Vol.)
|
Comp. Strength (MPa)
|
|
Mean±std.
|
Mean±std.
|
|
NM (Normal mortar)
|
477
|
200
|
620
|
-
|
21.86±3.06
|
29.11±4.06
|
|
SFRM (Steel fiber reinforced mortar)
|
477
|
200
|
620
|
20, 0.25
|
24.80±3.52
|
34.80±5.27
|
2.2 솔레노이드 제작
전자기장 발생을 위하여 솔레노이드를 제작하였다. 코일을 감기 위한 보빈은 플라스틱 원통형으로서 3D 프린터로 제작하였다. 원통의 높이는 0.15 m이며,
내경과 외경은 각각 0.075 m와 0.080 m이다. 그러나 전자기장의 노출 특성에 따른 영향을 조사하기 위하여 코일의 권선수와 감는 위치를 달리하여
총 3개의 솔레노이드를 제작하였다(Fig. 1). 각 솔레노이드의 저항, 인가전류 및 계산된 전자기력은 Table 2와 같다. S1은 전 높이에 걸쳐 연속적으로 권선된 단일 솔레노이드로서 비교적 연속적이고 균일한 자기장을 형성하며, S2와 S3는 권선이 상·하 또는
상·중·하로 분할되어 배치된 구조로, 자기장이 공간적으로 분산되어 인가되는 조건이다.
Fig. 1 Photographs of the three solenoids
Table 2 Details of winding of coils and inducted current and calculated magnetic flux
density for each solenoid
|
ID
|
Number of coils
|
Number of turns
|
Resistivity (Ω)
|
Applied AC Volt (V)
|
Current
(A)
|
Calculated magnetic flux density(G)
|
|
Solenoid 1, S1
|
1
|
1500
|
15
|
30
|
2
|
251
|
|
Solenoid 2, S2
|
2
|
1,500
|
Top 750
|
10
|
20
|
2
|
126
|
|
bottom 750
|
10
|
20
|
2
|
126
|
|
Solenoid 3, S3
|
3
|
1,500
|
top 500
|
5
|
10
|
2
|
84
|
|
middle 500
|
5
|
10
|
2
|
84
|
|
bottom 500
|
5
|
10
|
2
|
84
|
2.3 전자기장
3개의 솔레노이드에 각 권선으로부터 측정된 저항치와 인가된 전압, 전류, 식 (1)로부터 계산된 전자기력은 Table 2와 같다.
여기서, $B$는 자기 플럭스 밀도(G), $N$은 권선수, $I$는 인가전류(A), $l$은 솔레노이드 높이(m)로서 0.15 m이다.
2.4 실험방법 및 변수
배합된 몰탈을 Fig. 2와 같이 아크릴 재질의 주문 제작된 원통에 담고, 원통을 솔레노이드에 삽입하여 상단에 걸치도록 하였다. 레올로지 측정장치의 베인을 몰탈에 충분히 담기도록
높이를 조절하였다. 시멘트계 재료는 전단 이력에 따라 유동 특성이 달라지므로, 측정의 재현성을 확보하기 위해 본격적인 실험 전 Fig. 3과 같이 pre-shear cycle을 적용하였다. 이는 시편 내 응집 구조를 균일하게 붕괴시켜 모든 시험을 동일한 초기 조건에서 시작하도록 하기
위함이다. 이 과정 후 본격적으로 레올로지를 측정하였으며, 변형률 속도에 따른 전단강도를 5초에 1회씩 총 13회 취득하였다.
실험변수는 강섬유보강 유무, 솔레노이드의 종류, 전자기장 유무로서 실험체의 구분은 Table 3과 같다. Table 3과 같이 일반 몰탈(NM)과 강섬유보강 몰탈(SFRM)에 대하여 실험하였으며, EMF ON과 EMF OFF는 각각 솔레노이드에 스위치를 On과 Off를
의미한다. 솔레노이드는 S1, S2 및 S3로 구분하였다. Fig. 4는 실험 전경을 나타내고 있다.
Table 3 Test specimens IDs
|
Mixture
|
Solenoid
|
EMF OFF
|
EMF ON
|
|
NM (Normal mortar)
|
S1
|
NM_S1_OFF
|
NM_S1_ON
|
|
S2
|
NM_S2_OFF
|
NM_S2_ON
|
|
S3
|
NM_S3_OFF
|
NM_S3_ON
|
|
SFRM (Steel fiber reinforced mortar)
|
S1
|
SFRM_S1_OFF
|
SFRM_S1_ON
|
|
S2
|
SFRM_S2_OFF
|
SFRM_S2_ON
|
|
S3
|
SFRM_S3_OFF
|
SFRM_S3_ON
|
Fig. 2 Acrylic inner form
3. 실험결과
3.1 NM
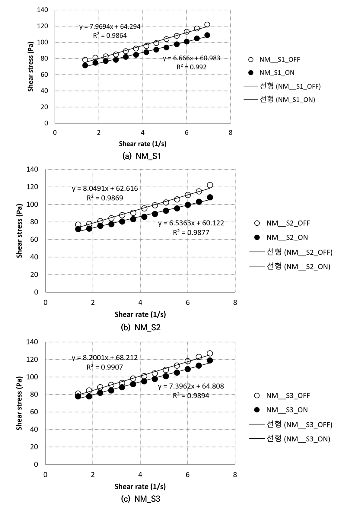
Fig. 5는 일반 몰탈 NM의 전단속도에 따른 전단응력 측정결과를 보여주고 있다. S1의 경우, EMF OFF와 ON 모두 전단속도 증가에 따라 전단응력이
직선적으로 증가하였다. ON에서는 동일 전단속도에서 전단응력이 OFF 대비 전반적으로 낮게 나타났다. S2 역시 전단응력–전단속도 관계가 뚜렷한 선형성을
보였다. ON에서의 전단응력은 OFF보다 지속적으로 낮게 분포하였으며, 특히 고전단 구간에서 그 차이가 다소 확대되는 경향을 보였다. S3도 동일한
경향을 나타내었다. 일반 모르타르(NM)의 전단응력–전단속도 관계를 EMF ON/OFF 조건에서 비교한 결과, 세 가지 솔레노이드(S1, S2, S3)
모두에서 전단속도의 증가에 따라 전단응력이 거의 선형적으로 증가하는 경향을 보였다. 이는 모든 EMF 조건에서 일반 몰탈이 Bingham 유체 거동을
잘 따르는 것을 보여준다. 그러므로 Bingham 선형모델에 근거하여 항복전단응력과 점도를 계산하였으며, 그 결과를 Table 4에 나타내었다. 또한 전자기장의 영향에 의한 차이를 정량적 분석하기 위하여 Eq. (2)와 같이 변화율을 계산하였다.
Table 4와 같이 S1, S2 및 S3 솔레노이드의 전단응력과 점도는 5.15 %, 16.36 %, 3.98 %와 18.79 %, 5.88 %와 7.14 %
감소하는 것으로 나타났다. NM은 전자기장에 반응할 수 있는 자성 또는 전기적 활성 물질을 포함하지 않으므로, EMF 인가에 따른 직접적인 영향은
배제할 수 있다. 그럼에도 불구하고 본 연구에서 관찰된 항복전단응력 및 점도의 감소는, EMF OFF 실험 이후 약 10분의 대기 시간 동안 진행된
미세한 구조 변화와 더불어, 이후 재유동 과정에서의 전단 이력 차이에 의해 발생한 구조 붕괴 효과에 기인한 것으로 해석된다. 특히 시멘트계 재료는
반복 전단 조건에서 겉보기 점도와 동적 항복응력이 감소할 수 있는 틱소트로피적 거동을 보이는 것으로 알려져 있으며, 이러한 특성은 본 연구의 NM
실험 결과와 정성적으로 일치한다(Wallevik 2009).
Fig. 5 Shear rate vs shear stress curves for normal mortar
Table 4 Yield stress and viscosity estimated based on Bingham model for normal mortar
|
EMF OFF
|
$\tau_{0}$ (Pa)
|
$\mu$ (Pa·s)
|
$R^{2}$
|
$\Delta\tau_{0}$ (On/Off, %)
|
$\Delta\mu$ (On/Off, %)
|
|
NM_S1_OFF
|
64.294
|
7.9694
|
0.986
|
—
|
—
|
|
NM_S1_ON
|
60.983
|
6.6660
|
0.992
|
-5.15
|
-16.36
|
|
NM_S2_OFF
|
62.616
|
8.0491
|
0.987
|
—
|
—
|
|
NM_S2_ON
|
60.122
|
6.5363
|
0.988
|
-3.98
|
-18.79
|
|
NM_S3_OFF
|
71.268
|
7.1119
|
0.995
|
—
|
—
|
|
NM_S3_ON
|
67.080
|
6.6043
|
0.986
|
-5.88
|
-7.14
|
3.2 SFRM
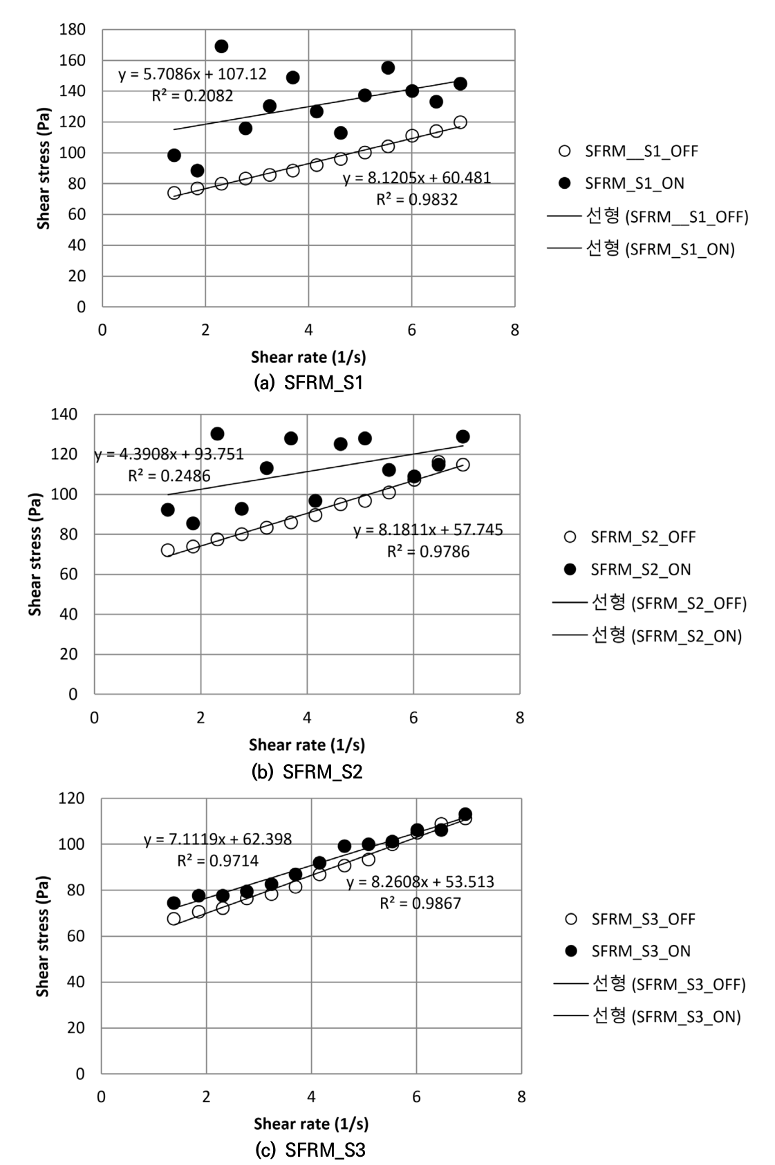
Fig. 6은 강섬유보강 몰탈 SFRM의 전단속도에 따른 전단응력 측정결과를 보여주고 있다. S1, S2와 S3 모두의 경우에 OFF는 NM과 같이 전단속도
증가에 따라 선형적인 증가를 나타내고 있다. NM과 같이 Bingham 유체의 거동에 잘 부합되는 것을 알 수 있다. 이는 Table 5에 제시된 높은 수치의 결정계수로부터 확인할 수 있다. Bingham 모델로부터 평가된 SFRM의 항복응력과 점도를 NM과 비교해보면, 강섬유 보강
모르타르(SFRM)는 항복응력이 약 5~25 % 감소하고 점도는 약 1~15 % 증가하는 경향을 보였다. 이러한 결과는 강섬유가 미세한 공극이나 계면
불연속을 유발하여 초기 전단 저항(항복응력)을 약화시키는 반면, 유동 과정에서 섬유-매트릭스 및 섬유-섬유 간의 기계적 간섭과 충돌로 인해 내부 마찰이
증가하기 때문이다. 따라서 강섬유 혼입 시 항복응력은 감소하거나 큰 변화가 없고 점도는 증가한다는 기존 연구들의 보고와도 일치하며(Banfill 2006;
Ferrara et al. 2007;
Wallevik 2009), 본 연구의 결과에서도 이러한 일반적 경향을 확인할 수 있다.
그러나 EMF ON 조건에서는 이러한 경향과는 다른 특이한 결과가 관찰되었다. SFRM은 EMF 인가 시 전단응력–전단속도 곡선이 더 이상 선형성을
유지하지 못하고, stick–flow 현상으로 인한 불규칙한 변동성을 나타내어 전형적인 Bingham 유체 거동과는 뚜렷하게 구분되었다. 실제로 Bingham
모델을 적용한 경우, NM 및 SFRM의 OFF 조건에서는 결정계수($R^{2}$)가 0.98 이상으로 높아 우수한 적합도를 보였으나, SFRM의
ON 조건에서는 $R^{2}$가 유의하게 저하되는 결과가 나타났다. 이는 EMF ON 상태에서 강섬유가 자기장 방향에 직각으로 배열되려는 외적인 힘을
받아 자기장 유도 섬유 배향(magnetic-field-induced fiber orientation)이 발생하고, 이로 인해 흐름 차단 효과(flow
obstruction effect)가 나타난 결과로 해석된다. 또한 EMF의 지속성이 큰 S1에서 가장 심하게 이러한 현상이 관찰되며, 반대의 경우인
S3에서는 이러한 현상이 크게 약화되는 것을 확인하였다.
Fig. 6 Shear rate vs shear stress curves for steel fiber-reinforced mortar
Table 5 Yield stress and viscosity estimated based on Bingham model for steel fiber-reinforced
mortar
|
EMF OFF
|
$\tau_{0}$ (Pa)
|
$\mu$ (Pa·s)
|
$R^{2}$
|
$\Delta\tau_{0}$ (SFRM/NM, %)
|
$\Delta\mu$ (SFRM/NM, %)
|
|
SFRM_S1_OFF
|
60.481
|
8.1205
|
0.9832
|
-5.9
|
1.90
|
|
SFRM_S1_ON
|
107.118
|
5.7086
|
0.2082
|
—
|
—
|
|
SFRM_S2_OFF
|
57.745
|
8.1811
|
0.9786
|
-7.8
|
1.64
|
|
SFRM_S2_ON
|
93.751
|
4.3908
|
0.2486
|
—
|
—
|
|
SFRM_S3_OFF
|
53.513
|
8.2608
|
0.9867
|
-24.9
|
16.15
|
|
SFRM_S3_ON
|
62.398
|
7.1119
|
0.9714
|
—
|
—
|
4. 강섬유 정렬을 위한 소요전자기력 고찰
식 (3)과 식 (4)는 몰탈에 혼입된 강섬유에 작용하는 전자기장(EMF)에 의한 힘 $f_{m}$과 이에 저항하려는 저항력인 $f_{r}$을 나타내고 있다(Lee and Moon 2023). 두 힘의 평형관계로부터 강섬유의 정렬에 소요되는 전자기력을 유도할 수 있으며, 식 (4)와 같이 전자기력 $B$는 점도 $\mu$의 루트승에 비례함을 알 수 있다.
전자기장(EMF) 하에서 강섬유의 정렬을 위한 소요 전자기력 $B$는 SFRM의 전자기장 하에서의 SFRM의 점도 특성 $\mu_{ON}$에 근거하여
결정되어야 함을 알 수 있다. 그러나 $\mu_{ON}$은 EMF의 인가 시 stick–flow 거동이 발생하여 단일한 값으로 특정되지 않고 분포를
나타내므로, 본 연구에서는 $\mu_{ON}$ 중에서 p50(중앙값)을 강섬유 정렬을 위한 유효점도 $\mu_{ON,eff}$로 정의하고 식 (6)과 같이 산정하였다.
결과적으로 식 (4)로부터 전자기장 하에서 강섬유정렬을 위해 소요되는 전자기력비 $B_{req} (\%)$는 식 (7)을 통해 결정할 수 있다.
각 솔레노이드에 대한 소요 전자기력비는 Table 6에 정리하였다. 분석 결과, 모든 솔레노이드 조건(S1, S2, S3)에서 EMF ON 시 유효 점도가 OFF 조건 대비 크게 증가하는 것으로 나타났다.
S1의 경우 유효 점도비가 약 3.76으로 가장 크게 나타났으며, 이에 따라 강섬유 정렬을 위해 요구되는 자기 플럭스 밀도는 OFF 조건 대비 약
1.94배, 즉 약 194 % 증가하는 것으로 평가되었다. S2와 S3 역시 각각 점도비 3.31 및 2.67을 보였으며, 이에 상응하는 자기 플럭스
밀도 증가율은 각각 약 182 %와 163 %로 산정되었다. 전장에서 서술한 자기장 방향에 직각으로 배향되려는 강섬유의 거동으로 인해 유동 경로를
가로막는 흐름 차단 효과(flow obstruction effect)로 인해 강섬유 정렬을 위해서 상대적으로 큰 전자기력이 필요하게 된다. 특히 S1은
전자기장이 연속적으로 인가되는 조건으로, 강섬유에 작용하는 전자기력이 지속적으로 유지되면서 소요전자기력이 가장 크게 필요한 것으로 평가되는 반면,
S2 및 S3에서는 전자기장이 시간적·공간적으로 분산되어 인가됨에 따라 섬유에 의한 흐름 차단 효과가 상대적으로 완화되었고, 이에 따라 소요전자기력의
증가율 또한 S1에 비해 낮게 평가되었다. 이는 강섬유 정렬을 위한 전자기장 적용 시, 자기장의 크기뿐만 아니라 인가 방식 역시 유동 저항과 밀접하게
연관됨을 시사한다. 종합하면, Table 6의 결과는 강섬유 정렬에 필요한 소요전자기력을 EMF OFF 상태의 재료 물성만을 기준으로 산정하는 것은 부적절하며, 전자기장 인가로 인해 발생하는
유효 점도의 증가, 즉 섬유 배향에 따른 유동 저항 증대를 반드시 고려해야 함을 보여준다. 이러한 효과를 고려하지 않을 경우, 실제 공정에서 요구되는
자기장 강도를 상당히 과소평가할 가능성이 있다.
Table 6 Required magnetic flux density for aligning of steel fibers in mortar
|
Solenoid
|
$\mu_{OFF}$ (Pa·s)
|
$\mu_{ON,eff}$ (Pa·s)
|
$r = \mu_{ON,eff} / \mu_{OFF}$
|
$\sqrt{r}$
|
$B_{req}$ (%)
|
|
S1
|
8.1205
|
30.5435
|
3.76
|
1.94
|
194
|
|
S2
|
8.1811
|
27.0563
|
3.30
|
1.82
|
182
|
|
S3
|
8.2608
|
22.0539
|
2.66
|
1.63
|
163
|
5. 결 론
본 연구에서는 전자기장 하에서 강섬유 보강 몰탈의 레올로지 특성을 실험적으로 규명하고, 이를 바탕으로 강섬유 정렬에 요구되는 소요 전자기력을 평가하였다.
특히 전자기장 인가로 인해 발생하는 비선형 유동 거동과 유동 저항 증가 현상에 주목하여 그 원인을 해석적으로 분석하였다. 이상의 연구 결과로부터 도출된
주요 결론은 다음과 같다.
1) 일반 몰탈(NM)은 전자기장 인가 여부와 관계없이 전단응력–전단속도 관계가 선형적으로 유지되었으며, 모든 솔레노이드 조건에서 Bingham 모델에
대해 높은 결정계수($R^{2} \approx 0.98$ 이상)를 나타내었다. 이는 본 연구에서 적용한 전자기장이 일반 몰탈의 레올로지 거동에는 유의미한
영향을 미치지 않음을 의미하며, NM이 강섬유 보강 몰탈의 거동을 비교·해석하기 위한 안정적인 기준 재료임을 확인시켜 준다.
2) 강섬유 보강 몰탈(SFRM)은 EMF OFF 조건에서는 일반 몰탈과 유사하게 Bingham 유체 거동을 따랐으나, EMF ON 조건에서는 전단응력–전단속도
관계의 선형성이 붕괴되며 불규칙한 변동성을 동반한 stick–flow 거동이 뚜렷하게 관찰되었다. 이에 따라 EMF ON 조건의 SFRM에서는 Bingham
모델의 결정계수가 현저히 저하되어, 기존의 선형 점도 모델로는 전자기장 하에서의 유동 거동을 적절히 설명하기 어려움을 확인하였다.
3) 전자기장 인가 시 발생한 stick–flow 거동은 강섬유가 자기장 방향에 직각으로 배향되면서 유동 경로를 국부적으로 차단하는 섬유 유도 흐름
차단 효과(flow obstruction effect)에 기인한 것으로 해석된다. 이로 인해 전단 과정에서 섬유–매트릭스 및 섬유–섬유 간의 기계적
간섭이 반복적으로 발생하며, 전단응력이 일정하게 증가하지 못하고 부착(stick)과 이탈(flow)이 교대로 나타나는 비선형 유동 특성이 유발된다.
4) 이러한 stick–flow 거동으로 인해 전자기장 하에서의 점도는 단일한 대표값으로 정의되기 어렵고 분포 형태로 나타났으며, 본 연구에서는 점도
분포의 중앙값(p50)을 전자기장 하 유효 점도 $\mu_{ON,eff}$로 정의하였다. 유효 점도를 기준으로 분석한 결과, 모든 솔레노이드 조건에서
EMF ON 시 점도는 OFF 조건 대비 약 2.7~3.8배 증가하는 것으로 나타나, 전자기장이 강섬유 보강 몰탈의 유동 저항을 실질적으로 크게 증대시킴을
확인하였다.
5) 유효 점도를 기반으로 강섬유 정렬에 요구되는 소요 전자기력을 평가한 결과, 자기 플럭스 밀도는 EMF OFF 상태를 기준으로 약 1.6~1.9배
증가하는 것으로 산정되었다. 특히 전자기장이 연속적으로 인가되는 S1 조건에서 가장 큰 증가율을 보였으며, 이는 전자기장 인가 방식이 강섬유 배향
과정에서의 stick–flow 거동 및 유동 저항과 밀접하게 연관됨을 시사한다. 따라서 강섬유 정렬을 위한 전자기력 산정 시, EMF OFF 상태의
재료 물성만을 기준으로 하는 접근은 소요 전자기력을 과소평가할 가능성이 크다.
6) 본 연구의 결과는 전자기장을 이용한 강섬유 배향 제어 기술의 설계 시, 전자기력뿐 아니라 전자기장 인가로 인한 레올로지 변화 효과를 반드시 고려해야
함을 보여준다.
감사의 글
이 성과는 정부(과학기술정보통신부)의 재원으로 한국연구재단의 지원을 받아 수행된 연구임(RS-2023-NR076828).
References
Banfill P. F. G., 1991, Rheology of Fresh Cement and Concrete, Engineering, Materials
Science

Banfill P. F. G., 2005, The Rheology of Fresh Mortar-A Review, In 6th Brazilian and
1st International Symposium on Mortar Technology, pp. 73-82

Barros J. A. O., Sena Cruz J., 2001, Fracture Energy of Steel Fiber-Reinforced Concrete,
Mechanics of Composite Materials and Structures, Vol. 8, No. 1, pp. 29-45

Blanco A., Pujadas P., de la Fuente A., Cavalaro S. H. P., Aguado A., 2016, Influence
of the type of fiber on the structural response and design of FRC slabs, Journal of
Structural Engineering, Vol. 142, No. 9, pp. 04016054

Ferrández D., Saiz P., Morón C., Dorado M. G., Morón A., 2019, Inductive Method for
the Orientation of Steel Fibers in Recycled Mortars, Construction and Building Materials,
Vol. 222, pp. 243-253

Ferrara L., Park Y. D., Shah S. P., 2007, A Method for Mix-Design of Fiber-Reinforced
Self-Compacting Concrete, Cement and Concrete Research, Vol. 37, No. 6, pp. 957-971

Hajforoush M., Kheyroddin A., and Rezaifar O., 2020, Investigation of Engineering
Properties of Steel Fiber Reinforced Concrete Exposed to Homogeneous Magnetic Field,
Construction and Building Materials, Vol. 252, pp. 119064

Javahershenas F., Gilani M. S., and Hajforoush M., 2021, Effect of Magnetic Field
Exposure Time on Mechanical and Microstructure Properties of Steel Fiber-Reinforced
Concrete (SFRC), Journal of Building Engineering, Vol. 35, pp. 101975

Kang D., Moon D., and Kim W., 2021, Changes in Rheological Properties of Mortars with
Steel Slags and Steel Fibers by Magnetic Field, Materials, Vol. 14, No. 14, pp. 4005

Kang S. T., and Kim J. K., 2012, Investigation on the Flexural Behavior of UHPCC Considering
the Effect of Fiber Orientation Distribution, Construction and Building Materials,
Vol. 28, No. 1, pp. 57-65, (In Korean)

Lee G., and Moon D., 2023, Effect of Aligned Steel Fibers by a Solenoid on Flexural
Fracture Behavior, Journal of the Korea Institute for Structural Maintenance and Inspection,
Vol. 27, No. 6, pp. 193-200, (In Korean)

Medeghini F., Guhathakurta J., Tiberti G., Simon S., Plizzari G. A., and Mark P.,
2022, Steered Fiber Orientation: Correlating Orientation and Residual Tensile Strength
Parameters of SFRC, Materials and Structures, Vol. 55, No. 10, pp. 251

Michels J., and Gams M., 2016, Preliminary Study on The Influence of Fibre Orientation
in Fibre Reinforced Mortars, Gradevinar, Vol. 68, No. 8, pp. 645-655

Mu R., Qiu X., Zhao Q., and Li H., 2015, Aligned Steel Fibre Reinforced Cement-Based
Composites (I): Orientation Control of Steel Fibres, Jianzhu Cailiao Xuebao (Journal
of Building Materials), Vol. 18, No. 2, pp. 208-213

Wallevik J. E., 2009, Rheological Properties of Cement Paste: Thixotropic Behavior
and Structural Breakdown, Cement and Concrete Research, Vol. 39, No. 1, pp. 14-29

Zhang P., Wang C., Gao Z., and Wang F., 2023, A Review on Fracture Properties of Steel
Fiber Reinforced Concrete, Journal of Building Engineering, Vol. 67, pp. 105975
