์ ํ์ญ
(Hyun-Seop Shin)
1*iD
๊น์ฑ์ฑ
(Sung-Wook Kim)
2iD
๋ฌธ์ฌํ
(Jae-Heum Moon)
1
๊น์์ฐ
(Won-Woo Kim)
3
-
ํ๊ตญ๊ฑด์ค๊ธฐ์ ์ฐ๊ตฌ์ ๊ตฌ์กฐ์ฐ๊ตฌ๋ณธ๋ถ ์ฐ๊ตฌ์์
(Research Fellow, Department of Structural Engineering Research, KICT, Goyang 10223,
Rep. of Korea)
-
ํ๊ตญ๊ฑด์ค๊ธฐ์ ์ฐ๊ตฌ์ ๊ตฌ์กฐ์ฐ๊ตฌ๋ณธ๋ถ ์ ์์ฐ๊ตฌ์์
(Senior Research Fellow, Department of Structural Engineering Research, KICT, Goyang
10223, Rep. of Korea)
-
ํ๊ตญ๊ฑด์ค๊ธฐ์ ์ฐ๊ตฌ์ ๊ตฌ์กฐ์ฐ๊ตฌ๋ณธ๋ถ ์ ์์ฐ๊ตฌ์
(Research Specialist, Department of Structural Engineering Research, KICT, Goyang 10223,
Rep. of Korea)
Copyright ยฉ Korea Concrete Institute(KCI)
ํค์๋
๋น์ด์์ ํญ๋ฐ, ํฌ๊ธฐํจ๊ณผ, ํญ๋ฐ๊ฑฐ๋, ์ ํ์์ํด์, ALE ํด์๊ธฐ๋ฒ
Keywords
non-ideal explosion, size effect, explosive behavior, FE analysis, ALE method
1. ์ ๋ก
๊ตญ๊ฐ ์ฃผ์ ์์ค๋ฌผ์ ๋ฐฉํญ์ฑ๋ฅ(blast-resistance)์ด ์ ์ ํ์ง์ ๋ํ ๊ฒ์ฆ์ ์ํด์๋ ์คํ์ ์ธ ๋ฐฉ๋ฒ์ด ํ์ํ์ง๋ง, ๋ณ์๋ถ์์ ์ํ ๋ฐ๋ณต์คํ์
ํญ๋ฐ์คํ์ ์ํ์ฑ ๋ฐ ๋์ ๋น์ฉ ๋ฌธ์ ๋ฑ์ผ๋ก ์ ํ์ ์ธ ๊ฒฝ์ฐ๊ฐ ๋ง๋ค. ์ด์ ๋นํด ์์นํด์์ ๋ฐฉ๋ฒ์ ์ปดํจํฐ ํ๋์จ์ด ๋ฐ ์ํํธ์จ์ด๊ฐ ๋น์ฝ์ ์ผ๋ก ๋ฐ์ ํ
๊ฒ์ ํ์
์ด ๊ฒฐ๊ณผ ์์ธก ๋ฐ ์ํฅ์ธ์ ๋ถ์ ๋ฑ์ ๋ณด์กฐ์๋จ์ผ๋ก์ ๊ฑฐ์ ํ์์ ์ผ๋ก ์ฌ์ฉ๋๊ณ ์๋ค(Tham 2009). ํนํ, ๊ณ์ธก์ด ์ฝ์ง ์์ ๊ทผ๊ฑฐ๋ฆฌ ํญ๋ฐ์คํ(Rigby et al. 2020)์ด๋ ํญ์ฝ์์ ๊ฒฐ์ ์ ์ํด ๋ฐ๋ณต์คํ(Sanchidrian et al. 2015)์ด ํ์ํ ๊ฒฝ์ฐ ํด์์ ๋ฐฉ๋ฒ์ ํ์ฉ๋๋ ๋์ฑ ํฌ๋ค.
ํด์๊ฒฐ๊ณผ์ ์ ํ๋์๋ ์ ํ์์๋ชจ๋ธ๊ณผ ๊ด๋ จ๋ ๋ง์ ์ธ์๋ค์ด ์ํฅ์ ๋ฏธ์น๊ฒ ์ผ๋, ์๊ฐ์ ์ผ๋ก ์ฆ๊ฐํ์๋ค ๊ฐ์ํ๋ ํญ๋ฐ๊ฑฐ๋์ ์ค์ ์ ๊ฐ๊น๊ฒ ๋ชจ์ฌํ ์ ์๋
์ ์ ํ ํญ์ฝ๋ชจ๋ธ์ ์ ์ฉํ๋ ๊ฒ ๋ํ ํด์๊ฒฐ๊ณผ์ ์ ํ๋๋ฅผ ํฅ์์ํฌ ์ ์๋ ๊ธฐ๋ณธ์กฐ๊ฑด์ ํด๋นํ๋ค. ๋์ฑ์ด ์ด ํญ์ฝ๋ชจ๋ธ์ ์ฌ์ฉ๋ ํญ์ฝ ๊ณ ์ ์ ํญ๋ฐ ํน์ฑ์
๊ณ ๋ คํ ์ ์์ด์ผ ํ๋ค(Johansson 2011; Kittel et al. 2016; Yi et al. 2020). ์๋ก์ ํญ์ฝ์ ๋น๊ตํ ๋ ๊ธฐ์ค ํญ์ฝ์ผ๋ก ์ฌ์ฉ๋๋ TNT (trinitrotoluene)๋ ๋งค์ฐ ๋์ ์๋์ง๋ฅผ ์ผ์์ ๋ฐ์ฐํ๋ ์ด์์ ํญ๋ฐ(ideal
explosion) ํน์ฑ์ ๊ฐ๋ ํญ์ฝ์ด๋ค. ์ด์ ๋นํด ๋ฏผ๊ฐ๋ถ์ผ์์ ์์
์ฉ ๋๋ ๋ฐฉํญ๊ตฌ์กฐ ํญ๋ฐ์คํ ๋ฑ(Choi et al. 2019; Shin et al. 2024) ์ฐ๊ตฌ๊ฐ๋ฐ ๋ชฉ์ ์ผ๋ก ๋ง์ด ์ฌ์ฉ๋๊ณ ์๋ ANFO (Ammonium Nitrate Fuel Oil)์ ์๋ฉ์ ผ(emulsion) ๊ณ์ด์ ํญ์ฝ๋ค์ ๋น์ด์์
ํญ๋ฐ(non-ideal explosion) ํน์ฑ์ ๋ํ๋ด๋ ๋ํ์ ํญ์ฝ๋ค์ด๋ค. ์ด๋ค ํญ์ฝ์ ํญ๋ฐํ ๋์ ํํ๋ฐ์ ๋ฐ ์๋์ง ๋ฐ์ฐ์ด ์๋์ ์ผ๋ก ๊ธด ์๊ฐ์
๊ฑธ์ณ ์ผ์ด๋๋ฉฐ, ํญ๋ฐ์กฐ๊ฑด์ ๋ฐ๋ผ ํญ๊ต์๋(detonation velocity, ์์ ์ด์์ ์ถฉ๊ฒฉํ๊ฐ ๋ฐ์ํ๋ ํญ๋ฐ์์ ํ์ ์ ํ์๋)๊ฐ ๋ณํํ๋ ํน์ฑ์
๊ฐ๋๋ค. ANFO์ ๊ฒฝ์ฐ ์๋ฉ์ ผ ํญ์ฝ๋ณด๋ค ๋ฐ์์๋(reaction rate, ํํ๋ฐ์์ผ๋ก ์ธํ ๋ฌผ์ง ์ฑ์์ ๋ณํ์๋) ๋ฐ ํญ๊ต์๋๊ฐ ์ข ๋ ๋ฎ์ผ๋ฉฐ,
๋น์ด์์ ํญ๋ฐ ํน์ฑ์ด ๋ ๋๋ ทํ ๊ฒ์ผ๋ก ์๋ ค์ ธ ์๋ค(Stimac et al. 2021).
๊ด๋ จ ์ฐ๊ตฌ๋ฌธํ(Johansson 2011; Stimac et al. 2021; Bohanek et al. 2023)์ ๋ฐ๋ฅด๋ฉด, ๋น์ด์์ ํญ๋ฐ์ ๊ฒฝ์ฐ ํฌ๊ธฐํจ๊ณผ(size effect ๋๋ diameter effect)๋ผ๊ณ ํ์ฌ ํญ์ฝ์ ์ง๊ฒฝ ํฌ๊ธฐ ๋๋ ํญ์ฝ์ ๋ด๋ ์ฉ๊ธฐ์
ํน์ฑ ๋ฑ ํญ๋ฐ์กฐ๊ฑด์ ๋ฐ๋ผ ํญ์ฝ์ ์ฑ๋ฅ๊ณผ ๊ด๋ จ๋ ํญ๊ต์๋(detonation velocity)๊ฐ ๋ณํํ๋ค๊ณ ๋์ด ์๋ค. ์ด์ ๋ํ ์์ธ์ ํญ๊ต์๋๊ฐ
๋น๊ต์ ๋๋ฆฌ๊ณ , ์ด๋ก ์ธํด ๋ฐฉ์ฌ(radial) ๋ฐฉํฅ์ผ๋ก ๋ฐ์ฐํ๋ ๋ฌผ์ง ํ๋ฆ์ด ์๋์ง ์์ค๋ก ์ด์ด์ง๊ธฐ ๋๋ฌธ์ด๋ผ๊ณ ์๋ ค์ ธ ์๋ค. ๊ทธ๋ฌ๋, ํํ๋ฐ์๊ณผ ๋ฐ์ ํ๊ฒ
๊ฒฐํฉ๋ ํญ๋ฐ๊ฑฐ๋์ ๋ฐฉํญ๊ตฌ์กฐ(blast-resistant structure) ๊ด๋ จ ์ฐ๊ตฌ์(ํํ๋ฐ์์ ๊ฒฐ๊ณผ๋ก์ ๋ฐ์ํ ๋์ ์๋ ฅ์ด ์ถฉ๊ฒฉํ์ ํํ๋ก์ ๊ตฌ์กฐ๋ฌผ์
๋ฏธ์น๋ ์ํฅ์ ๋ํด ๊ด์ฌ์ด ์๋)๊ฐ ๋ฒ์ฉ์ ์ธ ์ ํ์์๋ฐฉ๋ฒ์ ์ํด ์ญํ์ ๊ด์ ์์ ๊ฒํ ํ ์ฐ๊ตฌ๋ ๋ง์ง ์๋ค. ํญ๊ต์๋์ ๋ณํ์ ๋ํ ์ฐ๊ตฌ(Johansson 2011; Stimac et al. 2021; Bohanek et al. 2023)๋ ๋ค์ ์์ผ๋, ์ง๊ฒฝ ํฌ๊ธฐ์ ๋ณํ๊ฐ ์ด๋ค ์์ธ์ ์ํฅ์ ๋ฏธ์ณ ๊ฒฐ๊ณผ์ ์ผ๋ก ํญ๊ต์๋๊ฐ ๋ณํํ์๋์ง๋ฅผ ์ญํ์ ์ธ ๊ด์ ์์ ๊ตฌ์ฒด์ ์ผ๋ก ์ค๋ช
ํ๋ ์ฐ๊ตฌ๋ ๋ง์ง
์๋ค. ์๋ฅผ ๋ค์ด, Bohanek et al. (2023)์ ์ํ๋ฉด, โ์ง๊ฒฝ ํฌ๊ธฐ์ ๋ฐ๋ผ ํญ์ฝ์ ๋ฐ์์๋(reaction rate)์ ํฝ์ฐฝ๋ฅ (expansion strain)์ ์ํธ๊ด๊ณ๊ฐ ๋ฌ๋ฆฌ ๋ํ๋์ ํญ๋ฐ๊ฑฐ๋์
์ฐจ์ด๊ฐ ๋ํ๋๋คโ๋ผ๊ณ ์ธ๊ธํ๊ณ ์๋ค. ๊ทธ๋ฌ๋, ์ง๊ฒฝ์ ๋ณํ๊ฐ ์์ ๋ ์ธ์์ ๊ตฌ์ฒด์ ์ผ๋ก ์ด๋ค ์ํฅ์ ์ฃผ๋์ง์ ๋ํ ๋ถ์์ ์์ด์, ํญ๊ต์๋ ๋ฐ ๊ธฐํ
๋ค๋ฅธ ํญ๋ฐ๊ฑฐ๋์ ๋ณํ์ ์ด๋ค ์ฐ๊ด์ฑ์ด ์๋์ง๋ฅผ ์ดํดํ๊ธฐ๊ฐ ์ฉ์ดํ์ง ์๋ค. ์ฌ๊ธฐ์, ๋ฐ์์๋๋ ํํ๋ฐ์์ผ๋ก ์ธํด ๋น๋ฐ์(unreacted) ๋ฌผ์ง์ด ๋ถ์ฐ๋ฌผ(reaction
products) ํํ๋ก ๋ณํ๋๋ ์๋๋ฅผ ๋ปํ๋๋ฐ, ์ด๋ ๋น์ด์์ ํญ๋ฐ๊ฑฐ๋์ ํน์ ํ๊ณ ์ค๋ช
ํ๋๋ฐ ์ฌ์ฉ๋๋ ์ค์ํ ์์ธ๋ค ์ค์ ํ๋์ด๋ค(Johansson 2011; Kittel et al. 2016; Yi et al. 2020).
๋ํ, Sanchidrian et al. (2015)์ ์ํ๋ฉด, ๋น์ด์์ ํญ๋ฐ ํน์ฑ์ ๊ฐ๋ ํญ์ฝ์ ํญ๋ฐ์กฐ๊ฑด์ ๋ฐ๋ผ ๊ฑฐ๋์ ์๋นํ ์ฐจ์ด๋ฅผ ๋ํ๋ธ๋ค๊ณ ์ค๋ช
ํ๊ณ ์๋ค. ์ด๋ก ์ธํด ๋ถ์๊ณผ์ ์์ ๋ฐ์ํ ์ ์๋
์ด๋ ค์ด ์ ์ ๋ค์๊ณผ ๊ฐ๋ค. ์ง๊ฒฝ์ ๋ณํ, ํญ์ฝ ์ผ์ด์ค์ ์ฌ๋ฃ๋ฌผ์ฑ ๋ณํ ๋ฑ์ ๋น๋กฏํด ๊ธฐํ ์ด๋ค ๊ฒฝ๊ณ์กฐ๊ฑด๋ค์ ๋ณํ๊ฐ ์์ด์ ๊ธฐ์กด๊ณผ ๋ค๋ฅธ ํญ๋ฐ๊ฑฐ๋์ ๋ณด์ด์ง๋ง,
์ด์ ๋ํ ์คํ ๋ฐ์ดํฐ๋ ์ฐธ๊ณ ์๋ฃ๊ฐ ์๋ ๊ฒฝ์ฐ์๋ ํด์์์ ๊ณ์ฐ๋ ํญ๋ฐ์๋ ฅ์ด ์ ์ ํ์ง, ํญ๊ต์๋ ์ฆ๊ฐ ๋ฑ์ ๋ํ ๊ตฌ์ฒด์ ์ธ ์์ธ์ ๋ฌด์์ธ์ง ๋ฑ์ ๋ํด
๋ถ์์ด ์ฝ์ง ์์ ์ ์๋ค. ๊ฒฐ๊ณผ์ ์ผ๋ก ๊ตฌ์กฐ์ฒด์ ๋ํ ๋ฐฉํญํด์ ๊ณผ์ ์์ ํญ๋ฐํ์ค์ด ์ ์ ํ๊ฒ ๊ณ์ฐ๋์ด ์ ์ฉ๋์๋์ง๋ฅผ ์ ์ ์๊ฒ ๋๋ฏ๋ก, ๊ตฌ์กฐ์ฒด์ ์๋ต
๋ํ ์ณ๊ฒ ์์ธกํ๊ธฐ๊ฐ ์ด๋ ค์ธ ์ ์๋ค.
์ด ์ฐ๊ตฌ์์๋ ๋น์ด์์ ํญ๋ฐ ํน์ฑ์ ๋ํ๋ด๋ ANFO ํญ์ฝ์ ๋ํ ์ค๋ฆฐ๋ ํญ๋ฐ์คํ(cylinder test, Bohanek et al. 2023)์ ALE (Arbitrary-Lagrangian-Eulerian) ํด์๊ธฐ๋ฒ(LSTC 2020; Abedini et al. 2020)์ ์ฌ์ฉํ ์ ํ์์๋ฐฉ๋ฒ์ผ๋ก ํด์ํ์๋ค. ์ค๋ฆฐ๋ ์ง๊ฒฝ๊ณผ ๊ฐ์ ํญ๋ฐ์กฐ๊ฑด(๊ฒฝ๊ณ์กฐ๊ฑด)์ ๋ณํ๊ฐ ํฝ์ฐฝ๋ฅ (์ฒด์ ๋ณํ๋ฅ ), ๋ฐ์์๋ ๋ฐ ๊ธฐํ ๊ด๋ จ ์ธ์์ ๋ฏธ์น๋
์ํฅ, ๊ฒฐ๊ณผ์ ์ผ๋ก ํญ๊ต์๋(์ดํ, ํญ์)๋ ํญ๋ฐ์๋ ฅ(์ดํ, ํญ์) ๋ณํ์ ์ด๋ป๊ฒ ์ฐ๊ด๋๋์ง ๋ฑ์ ๋ถ์ํ์๋ค. ์ด๋ฅผ ํตํด ๋น์ด์์ ํญ๋ฐ์ ๊ฒฝ์ฐ์์ ํน์ง์ ์ผ๋ก
๋ํ๋๋ ์ค๋ฆฐ๋ ์ง๊ฒฝ ํฌ๊ธฐ์ ๋ฐ๋ฅธ ํญ๋ฐ๊ฑฐ๋์ ๋ณํ๋ฅผ ์ญํ์ ๊ด์ ์์ ์ดํดํ๊ณ , ์ฃผ์ ์ํฅ์ธ์ ๊ฐ์ ์ํธ๊ด๊ณ๋ฅผ ์์นํด์ ์๋ฅผ ํตํด ๊ตฌ์ฒด์ ์ผ๋ก ํ์ธํด
๋ณด๊ณ ์ ํ์๋ค. ๋ํ, ๋ค๋ฅธ ๊ฒฝ๊ณ์กฐ๊ฑด์ ๊ฐ๋ ํญ๋ฐ์ ํด์์๋ ์ผ๋ถ ์ฐธ๊ณ ํ ์ ์๋ ์ผ๋ จ์ ๋ถ์๋ฐฉ์(๋ถ์๊ณผ์ )์ ๋ชจ์ ๋ฐ ๊ฒํ ํด ๋ณด๊ณ ์ ํ์๋ค. ์ด์
๊ฐ์ ์ฐ๊ตฌ๋ฅผ ํตํด ์ป์ ์ ์๋ ํญ๋ฐํ์ค์ ๋ํ ๋ถ์๊ณผ์ ์ ๊ตฌ์กฐ์ฒด์ ์๋ต ๋ฐ ๋ฐฉํญ์ฑ๋ฅ์ ์ค์ ์ ๋ ๊ฐ๊น๊ฒ ์์ธกํ๊ธฐ ์ํด ์ ํ๋์ด์ผ ํ ์ฌํญ์ด๋ค. ์๋ฅผ
๋ค์ด, ๋ฏผ๊ฐ๋ถ์ผ ํญ๋ฐ์คํ์์๋ ANFO์ ๊ฐ์ ๋น์ด์์ ํญ์ฝ์ด ์ข
์ข
์ฌ์ฉ๋๋๋ฐ, ์คํ ์ด๊ธฐ์กฐ๊ฑด(ํญ์ฝ ์ค์น์กฐ๊ฑด)์ด ์ผ๋ถ ๋ค๋ฅด๊ฑฐ๋ ์ฐธ๊ณ ํ ๋งํ ์ฐ๊ตฌ์๋ฃ๊ฐ
๋ถ์กฑํ ํญ์ฝ์ด ์ฌ์ฉ๋๋ ๊ฒฝ์ฐ๊ฐ ์๋ค. ์ผ๋ จ์ ์ ํ์์ํด์ ๊ณผ์ ์ค ์ค๋น๋จ๊ณ๋ก์์ ํญ๋ฐ๊ฑฐ๋์ ๋ํ ์ฌ์ ๋ถ์์ ํ์ค ๋ชจ๋ธ๋ง ๋ฐ ๊ตฌ์กฐ์ฒด์ ์ข ๋ ์ ์ ํ
ํ์ค์ ์ ์ฉํ๊ธฐ ์ํด ํ์ํ ๊ณผ์ ์ด๋ผ๊ณ ์ฌ๋ฃ๋๋ค.
2. ์ฃผ์ ์ํฅ์ธ์ ๋ฐ ํด์์ ๊ณ ๋ ค๋ฐฉ๋ฒ
2.1 ํญ๋ฐ์๋ ฅ ๋ฐ ๋ฐ์์๋
์ผ๋ฐ์ ์ผ๋ก ์ด์์ ํญ๋ฐ(ideal explosion)์ Chapman-Jouguet ๋ชจ๋ธ(Jouguet 1905) ๋ฐ ZND(Zelหdovich-von Neumann- Dรถring) ๋ชจ๋ธ(Zeldovich 1940)์ ๊ทผ๊ฐ์ผ๋ก ํ์ฌ ์ค๋ช
๋๊ณ ์๋ค. Fig. 1์ ZND ๋ชจ๋ธ์ ์ค๋ช
ํ๋ ๊ฒ์ผ๋ก ํญ๋ฐ์ด ์ผ์ด๋ ๋ ์ด๋ค ๋จ์ผ ํญ์ฝ์ ๋ฌผ์ง์ ๋ฐ์ ๋ฐ ๋ณํ์ ๊ฐ๋
ํ์ ๋ฏธ๋ฐ์ ํญ์ฝ ๊ตฌ๊ฐ(unreacted explosive
zone), ํํ๋ฐ์์ด ์ง์ค์ ์ผ๋ก ์ผ์ด๋๋ ๋ฐ์๊ตฌ๊ฐ(reaction zone), ํํ๋ฐ์์ ๊ฒฐ๊ณผ๋ก์ ์๊ธฐ๋ ๋ถ์ฐ๋ฌผ ์์ฑ ๊ตฌ๊ฐ(detonation products
zone) ๋ฑ 3๊ฐ์ ์์ญ์ผ๋ก ๊ตฌ๋ถ๋๋ค.
์ด์์ ํญ๋ฐ์ ๊ฒฝ์ฐ, ๋ฐ์๊ตฌ๊ฐ์ด ์ฐจ์งํ๋ ๊ณต๊ฐ์ ๊ธธ์ด๊ฐ ๋ฌด์๋ ์ ๋๋ก ์งง์ผ๋, ๋น์ด์์ ํญ๋ฐ์ ๊ฒฝ์ฐ ํํ๋ฐ์์ด ๋น๊ต์ ๊ธด ์๊ฐ ๋์์ ์ผ์ด๋๊ณ , ๋ฐ์๊ตฌ๊ฐ์ด
์ฐจ์งํ๋ ๊ณต๊ฐ์ ๊ธธ์ด๋ ๋ฌด์๋ ์ ์๋ค(Minchinton 2015). ์ด๋ฌํ ๋ชจ๋ธ์ ๋
ผ๋ฆฌ ์ ๊ฐ์ ๊ทผ๊ฐ์ผ๋ก ํ์ฌ ๋ค์ํ ํญ๋ฐ๊ฑฐ๋์ ๋ํด ์คํ์ ๋ถ์์ด ํ์ํ ๊ฒฝ์ฐ Fig. 2์ ๊ฐ์ ์ค๋ฆฐ๋ ํญ๋ฐ์คํ์ด ์ค์๋๋ค. ์๋ก์ ์๋ ฅ-ํฝ์ฐฝ ๊ฑฐ๋์ด๋ ์๋ ฅํ์ ์ ํ์๋์ ์ธก์ ์ด ๋ํ์ ์ธ๋ฐ, Fig. 2๋ ํญ๊ต์๋๋ฅผ ์ธก์ ํ๋ ์คํ์ ๋ํ ๊ฐ๋
๋์ด๋ค.
Fig. 1. The ZND detonation model (Minchinton 2015)
Fig. 2. Schematic diagram of a cylinder test
์์ ๊ฐ์ ์ด์ ๋ก ๋น์ด์์ ํญ๋ฐ์ ํด์ํ ๋์๋ ๋ฐ์๊ตฌ๊ฐ์ ๊ณ ๋ ค๊ฐ ํ์ํ๋ฐ, ์ด์ ๋ํ ์ ํฉํ ํด๊ฒฐ๋ฐฉ๋ฒ์ ํ๋๋ก์ I & G (Ignition and
Growth) ๋ชจ๋ธ์ด ์ ์ฉ๋ ์ ์๋ค(Lee and Tarver 1980). ์ด ๋ชจ๋ธ์์๋ ๋ฏธ๋ฐ์ ๊ตฌ๊ฐ, ํํ๋ฐ์์ด ์๋ฃ๋ ๊ตฌ๊ฐ์์ ๋ฐ์ํ๋ ํญ๋ฐ์๋ ฅ $P_e$ ๋ฐ $P_p$๋ฅผ ์ (1) ๋ฐ ์ (2)์ ๊ฐ์ด ๋ณ๋์ ์ํ๋ฐฉ์ ์(equation of state, EOS)์ผ๋ก ์ ์ํ๊ณ ์๋ค. ๊ทธ๋ฆฌ๊ณ , ๋ฏธ๋ฐ์ ๊ตฌ๊ฐ์์ ํํ๋ฐ์์ด ์๋ฃ๋์ด ๋ถ์ฐ๋ฌผ์ด ์์ฑ๋๋
๊ตฌ๊ฐ์ผ๋ก์ ์ฒ์ด(transition) ์๋๋ ์ (3)๊ณผ ๊ฐ์ ์์ โ๋ฐ์ ์๋์โ(reaction rate equation)์ ์ํด ์กฐ์ ๋๋ค(Johansson 2011; Kittel et al. 2016; Yi et al. 2020). ์๋ฅผ ๋ค์ด, ๋ฐ์์๋๊ฐ ๋์ผ๋ฉด ํํ๋ฐ์ ๋ฐ ๋ถ์ฐ๋ฌผ์ด ์์ฑ๋๋ ๊ณผ์ ์ด ๋น ๋ฅด๊ณ , ํญ์์ด ๋๊ฒ ๋ํ๋๋ ๋ฑ์ ์ด์์ ํญ๋ฐ์ ๊ทผ์ ํ๊ฒ ๋๊ณ , ๋ฐ๋์ ๊ฒฝ์ฐ์๋
๋น์ด์์ ํญ๋ฐ์ ์ํ๋ ํน์ฑ์ด ์ง๋ฐฐ์ ์ผ๋ก ๋ฐํ๋๋ค. ์ฌ๊ธฐ์, ๋ฐ์์๋๋ ํญ์๊ณผ ๋น๋ก๊ด๊ณ์ ์๋ค(Bohanek et al. 2023). Minchinton(2015) ๋ํ ๋ฐ์์๋๋ ์๋์ง ๋ฐฉ์ถ์จ(release rate)์ ๋ฐ์ํ๋ ๋ฌผ๋ฆฌ๋์ผ๋ก์ ๋ฐ์์๋๊ฐ ๋์ผ๋ฉด ํญ์์ด ์ฆ๊ฐํ๋ค๊ณ ์ค๋ช
ํ๊ณ ์๋ค. ์ (1)~(3)์์ $P$, $V$ ๋ฐ $T$๋ ์๋ ฅ, ์๋๋ถํผ(relative volume) ๋ฐ ์จ๋์ด๊ณ , $r_1$, $r_2$, $r_3$, $r_5$, $r_6$,
$a_p$, $b_p$, $xp_1$, $xp_2$ ๋ฐ $g_p$๋ ์ฌ๋ฃ์์์ด๋ค. $\lambda$๋ ๋ ๊ตฌ๊ฐ์ด ๊ฐ๊ฐ ์ฐจ์งํ๋ ๋ถํผ๋ฅผ ๊ฒฐ์ ํ๋ ๋ณ์๋ก์
volume fraction์ด๋ผ๊ณ ํ๋ค. $\rho_0$ ๋ฐ $\rho$๋ ์ด๊ธฐ ๋ฐ ๊ณ ๋ ค ์์ ์ ๋ฐ๋, $a$, $b$, $c$, $d$, $G$,
$I$, $x$, $y$๋ ์ฌ๋ฃ์์์ด๋ค.
ํญ๋ฐํด์์ JWL (Jones-Wilkins-Lee, Lee et al. 1968) ๋ชจ๋ธ์ด ๋จ๋
์ผ๋ก ์ฌ์ฉ๋๋ ๊ฒฝ์ฐ๋ ์๋๋ฐ, ์ด ๊ฒฝ์ฐ์๋ I & G ๋ชจ๋ธ๊ณผ ๋ฌ๋ฆฌ ๋ฐ์์๋๋ฅผ ๊ณ ๋ คํ์ง ์๊ฒ ๋๋ค. ์ฃผ๋ก TNT(trinitrotoluene)๋
PETN(pentaerythritol tetranitrate)๊ณผ ๊ฐ์ด ํญ๋ฐ์๋์ง๋ฅผ ๊ฑฐ์ ์ผ์์ ๋ฐฉ์ถํ๋ ํน์ฑ์ ๊ฐ๋ ์ด์์ ํญ์ฝ์ ํด์์ ๋ง์ด ์ฌ์ฉ๋๊ณ
์๋ค(Johansson 2011; Kittel et al. 2016; Yi et al. 2020). ๋ฐ์์๋๋ฅผ ๊ณ ๋ คํ์ฌ ๋น์ด์์ ํญ๋ฐ์ ํด์ํด์ผ ํ๋ ์ด ์ฐ๊ตฌ์์๋ I & G ๋ชจ๋ธ์ด ์ฌ์ฉ๋์๋ค.
2.2 ๋ฐ์๋ฌผ์ง์ ๋ถํผ ๋ณํ
Bohanek et al. (2023) ๋ฐ Minchinton(2015)์ ์ํ๋ฉด, ๋ฐ์๊ตฌ๊ฐ(Fig. 1 ์ฐธ์กฐ)์์์ ํํ๋ฐ์์ ์ํด ์ด๊ธฐ ์๋ ฅํ๋ฅผ ๋ฅ๊ฐํ๋ ์๋ ฅํ๊ฐ ์์ฑ๋์ด์ผ ์๋ ฅํ๊ฐ ์ฑ์ฅํ๊ฒ ๋๊ณ ํญ์์ด ์ด๋ก ์์ ์๋์ ๊ทผ์ ํ๊ฒ ๋๋ค๊ณ ํ๊ณ ์๋ค.
๊ทธ๋ฌ๋, ํญ์์ด ๋๋ฆฐ ๋น์ด์์ ํญ๋ฐ์์๋, ์๋ ฅํ ํ์ธก์ ๋ํ๋๋ ํฌ๋ฐํ(rarefaction)๋ก ๋ฌผ์ง์ด ํฝ์ฐฝํ๋ ํจ๊ณผ๊ฐ ํด์๋ก ํญ๋ฐ์๋ ฅ์ด ๋จ์ด์ง๊ฒ
๋๊ณ ์๋ ฅํ ์ฑ์ฅ์ด ์ ํด๋๋ฏ๋ก, ์ด๋ก ์์ ํญ์์ ๋๋ฌํ์ง ๋ชปํ๊ฒ ๋๋ค. ๊ด๋ จ ์ฐ๊ตฌ๋ค์์ ์ด๋ค ์ผ์ ์ ์ ํด์ง ๊ณต๊ฐ์ ์ฐจ์งํ๊ณ ์๋ ํญ์ฝ ๋ฌผ์ง์ ํฝ์ฐฝ
๋ฐ ์์ถ๊ณผ ๊ฐ์ ๋ถํผ ๋ณํ๋ ์ด๊ธฐ ๋ถํผ($Vo$)์ ๋ํ ๊ณ ๋ ค ์์ ์์์ ๋ถํผ($V$)๋ก ์ ์๋๋ ์๋๋ถํผ(relative volume, $V/Vo$)์
๊ฐ๋
์ ์ฌ์ฉํ์ฌ ๊ณ ๋ ค๋๊ณ ์๋ค. ์ด ์ฐ๊ตฌ์์๋ ์๋๋ถํผ์ ํฌ๊ฒ ๋ค๋ฅด์ง ์์ผ๋, ์ญํ๋ถ์ผ์์ ๋ง์ด ์ฌ์ฉ๋๊ณ ์๋ ์ฒด์ ๋ณํ๋ฅ (volumetric strain)๋ก
๋ถํผ ๋ณํ๋ฅผ ๊ฒํ ํ์๋ค.
์์ ๊ฐ์ ๋น์ด์์ ํญ๋ฐ ๋ฐ ๊ด๋ จ ์ธ์์ ๋ํ ์ฌํญ๋ค์ ๊ณ ๋ คํ์ ๋, ํญ์ฝ์ ์ง๊ฒฝ ํฌ๊ธฐ์ ๊ฐ์ ๊ฒฝ๊ณ์กฐ๊ฑด(ํญ๋ฐ์กฐ๊ฑด)์ ๋ฐ๋ฅธ ๋ฐ์์๋์ ์ฒด์ ๋ณํ๋ฅ ์ ๋ณํ,
๊ทธ๋์ ํญ์์ด๋ ํญ์๊ณผ ๊ฐ์ด ํญ๋ฐ ๊ฒฐ๊ณผ๋ก์ ๋ํ๋๋ ๊ฑฐ๋๊ณผ์ ์ฐ๊ด์ฑ์ ๊ฒํ ํด ๋ณด๋ ๊ฒ์ด ํ๋์ ํด์๊ณผ์ ์ผ๋ก์์ ์๋ฏธ๊ฐ ์์ ๊ฒ์ผ๋ก ์ฌ๋ฃ๋์๋ค. ๋น์ด์์
ํญ๋ฐ์์ ๋๋ ท์ด ๋ํ๋๋ ํฌ๊ธฐํจ๊ณผ(size effect, ๊ฐ๋
์ ๋ํด์๋ ์๋ ์ฐธ์กฐ)๋ฅผ ๋น๋กฏํด ๊ธฐํ ๋ค์ํ ํญ๋ฐ๊ฑฐ๋์ ๊ธฐ๋ณธ์ ๋ฉ์ปค๋์ฆ์ ์ข ๋ ๊ตฌ์ฒด์ ์ผ๋ก
๊ฒํ ํ ์ ์์ ๊ฒ์ผ๋ก ๋ณด์๋ค. ์๋ฅผ ๋ค์ด, ๊ธฐ์กด๊ณผ ๋ค๋ฅธ ์ด๋ค ํญ๋ฐ์กฐ๊ฑด์ ๋ํด ์์นํด์ํ ๊ฒฐ๊ณผ์์ ํญ์/ํญ์์ ๋ณํ๊ฐ ์๋ค๋ผ๊ณ ๊ฐ์ ํด ๋ณธ๋ค. ๋ฐ์์๋์
์ฒด์ ๋ณํ๋ฅ (๋ถํผํฝ์ฐฝ๋ฅ )์ด ํญ์/ํญ์์ ์ฆ๊ฐ์ ์ ๋ฆฌํ ๊ฒฝ์ฐ์ธ์ง, ๋๋ ๋ถ๋ฆฌํ ๊ฒฝ์ฐ์ธ์ง์ ๋ํด ๊ฒํ ํจ์ผ๋ก์จ ์ฃผ์ด์ง ์กฐ๊ฑด์ ๋ํ ํญ๋ฐ๊ฑฐ๋์ ๋ฉ์ปค๋์ฆ์ ์ข
๋ ๊ตฌ์ฒด์ ์ผ๋ก ์ดํดํ ์ ์์ ๊ฒ์ด๋ค.
3. ํด์๋ชจ๋ธ
3.1 ํด์์กฐ๊ฑด ๋ฐ ๋ชจ๋ธ๋ง ๋ฐฉ๋ฒ
ANFO ํญ์ฝ์ ํญ๋ฐ๊ฑฐ๋ ๋ถ์์ ์ํ ํด์๋ชจ๋ธ์ ํ ์ฐ๊ตฌ์์ ์ํ๋ ์ค๋ฆฐ๋ ํญ๋ฐ์คํ(Bohanek et al. 2023, Fig. 3 ์ฐธ์กฐ)์ ์ฐธ๊ณ ํ์ฌ ์์ฑ๋์๋ค. ์ค๋ฆฐ๋ ํญ๋ฐ์คํ(cylinder test)์ ํญ๋ฐ ์์ฑ๋ฌผ์ ์๋ ฅ-ํฝ์ฐฝ ํน์ฑ, ํญ๋ฐ์๋์ง ๋ฐ ํญ๊ต์๋ ๋ฑ์ ๊ดํ ์ฐ๊ตฌ๋ฅผ
์ํด ํ์ํ๋ค. ํญ๋ฐ์๋ ฅ์ ๊ณ์ฐํ๋ ๋ฐ ์ฌ์ฉ๋๋ ์ํ๋ฐฉ์ ์์ ๊ณ์๋ฅผ ๊ฒฐ์ ํ๊ธฐ ์ํด์๋ ์ด ํญ๋ฐ์คํ์ด ํํด์ง๊ณ ์๋ค. ์ ๋ฌธํ์๋ฃ์ ๋ฐ๋ฅด๋ฉด ์ง์ฐ์๋ชจ๋๊ณผ
์ฐ๋ฃ์ ๊ฐ 94.6:5.4์ ๋น์จ๋ก ํผํฉ๋์ด ํญ์ฝ์ด ์ ์กฐ๋์๋ค. ๋ฐ๋๋ 0.8 g/cm3์ด๋ค. ํญ์ฝ์ ๋ด๊ธฐ ์ํด ์ฌ์ฉ๋ PVC(polyvinyl chloride) ์ค๋ฆฐ๋์ ๋ด์ธก ์ง๊ฒฝ์ 71 mm, 104 mm, 119 mm ๋ฐ 154
mm ๋ฑ ์ด 4์ข
๋ฅ์ด๊ณ , ์ด ์ค์์ ์ด ์ฐ๊ตฌ์ ํด์์ ํฌํจ๋ ๊ฒ์ 71 mm(L=700 mm), 104 mm(L=1000 mm) ๋ฐ 154 mm(L=1,000
mm)์ด๋ค. PVC ์ค๋ฆฐ๋์ ๋๊ป๋ 2~3 mm์ธ ๊ฒ์ผ๋ก ๋์ด ์๋๋ฐ, ๋ณธ ์ฐ๊ตฌ์ ํด์ ๋ชจ๋ธ์์๋ 3 mm๋ก ๊ฐ์ ํ์๋ค. ANFO ํญ์ฝ์ ๊ธฐํญ์ ์ํด
์ ํญ์ฝ์ด ์ฌ์ฉ๋๋๋ฐ, ์ฐธ๊ณ ํ ์คํ์์๋ ANFO ๋์ ์๊ด์์ด 20 g์ PETN์ด ์ฌ์ฉ๋๋ค. ์ฌ๊ธฐ์, ์ ํญ์ฝ(PETN) ์ฌ์ฉ๋์ Bohanek et al. (2023)์ ์ฐ๊ตฌ์๋ ๋ํ๋ ์๋ฏ์ด ์ด๋ก ์ ํญ๊ต์๋์ ํ์ถ ์์ ์ ์ํฅ์ ์ฃผ์ง๋ง, ๊ทธ ํฌ๊ธฐ์๋ ํฐ ์ํฅ์ ์ฃผ์ง ์๋๋ค. ๋ณธ ์ฐ๊ตฌ์์๋ ์ธ๋ถ์ ์ธ ํญ๋ฐ๊ฑฐ๋์ ๋ณํ๋ฅผ
์์๋ณด๋ ๊ฒ๋ณด๋ค๋ ์ค๋ฆฐ๋ ์ง๊ฒฝ ํฌ๊ธฐ๋ฅผ ๋ณ์๋ก ํ์ ๋ ๊ฒํ ๋ ์ ์๋ ํฌ๊ธฐํจ๊ณผ๋ฅผ ๊ฒํ ํด ๋ณด์๋ค. ๊ทธ๋ฆฌ๊ณ , ์ด๋ฅผ ํตํด ๋ค๋ฅธ ์ฐ๊ตฌ์์๋ ์ฐธ๊ณ ํ ์ ์๋
์ผ๋ จ์ ๋ถ์๊ณผ์ ๋ด์ง๋ ๋ถ์๋ฐฉ๋ฒ์ ๋ชจ์ํ๋๋ฐ ๋ชฉ์ ์ด ์๊ธฐ ๋๋ฌธ์ ์ ํญ์ฝ ๋์ ๋ณํ์ ๋ํด์๋ ๋ณ๋๋ก ๊ฒํ ํ์ง ์์๋ค. ํํธ, ์ฐธ๊ณ ํ ์คํ์์๋ ํญ์์
์ค๋ฆฐ๋ ์ค์์์ ์ธก์ ํ๊ณ ์์ผ๋ฉฐ, ๋ณธ ์ฐ๊ตฌ์์๋ ์ด๋ฅผ ํด์๊ฒฐ๊ณผ์ ๋น๊ตํ์ฌ ์ ํ์์ ๋ชจ๋ธ์ ๊ฒ์ฆํ์๋ค.
ํด์์ ์ฌ์ฉ๋๋ ALE(Arbitrary-Lagrangian-Eulerian) ํด์๊ธฐ๋ฒ์ ๊ตฌ์กฐ์ฒด์ ์ฃผ์์ ๊ณต๊ธฐ๋ ๋ฌผ ๊ฐ์ ์ ์ฒด ๊ฐ์ ์ํธ์์ฉ์ ํด์ํ๋๋ฐ
์ฌ์ฉ๋๊ณ ์์ผ๋ฉฐ, ํญ์ฝ ๋ํ ๊ฐ์ ๊ธฐ๋ฒ์ผ๋ก ๋ชจ๋ธ๋ง ๋๋ค. ์ผ๋ฐ์ ์ผ๋ก ALE ํด์๊ธฐ๋ฒ์์๋ ํญ์ฝ๊ณผ ์ ์ฒด๋ ์ค์ผ๋ฌ๋ฆฌ์(eulerian) ๊ธฐ๋ฒ์ผ๋ก ๋ชจ๋ธ๋ง
๋๋ฉฐ, ๊ตฌ์กฐ์ฒด๋ ๋ผ๊ทธ๋์ง์(lagrangian) ๊ธฐ๋ฒ์ผ๋ก ๋ชจ๋ธ๋ง ๋๋ค(Abedini et al. 2020; LSTC 2020; Kim et al. 2024).
์ค๋ฆฐ๋ ํญ๋ฐ ํด์์ ํ๋ ๋ณธ ์ฐ๊ตฌ์์๋ ์์ ๊ฐ์ ํด์๊ธฐ๋ฒ์ด ์ฌ์ฉ๋์๋ค. ์ฌ์ฉ๋ ์ ํ์์ํ๋ก๊ทธ๋จ์ LS-DYNA(LSTC 2020)์ด๋ค. ์ ํญ์ฝ์ ์ ํ๋ JWL ๋ชจ๋ธ์ ๋จ๋
์ผ๋ก ์ฌ์ฉํ๋ ๊ฒฝ์ฐ์์์ ๋์ผํ ๋ฐฉ๋ฒ์ ์ํ๋ค. PETN ํญ์ฝ์์ ANFO๋ก์ ์ ๋ฌ์ ์ถฉ๊ฒฉํ๋ก ์ธํ ๋ฐ๋๋
๋ถํผ์ ๋ณํ์ ์ํ๋ค. ๋ํ, ํญ์ฝ(eulerian ๋ชจ๋ธ)๊ณผ PVC(lagrangian ๋ชจ๋ธ) ์ฌ์ด์๋ ๋ณ๋๋ก ์ถ๊ฐ๋๋ ์ธํฐํ์ด์ค ์กฐ๊ฑด์ ๋ถ์ฌํ์๋ค(ALE_COUPLING_
NODAL_CONSTRAINT). ANFO ํญ์ฝ๊ณผ ์ ํญ์ฝ(PETN)์์ ๋ฐ์ํ๋ ํญ๋ฐ์๋ ฅ์ ๊ณ์ฐ์ ๊ฐ๊ฐ I & G ์ํ๋ฐฉ์ ์๊ณผ JWL ์ํ๋ฐฉ์ ์์ด
์ฌ์ฉ๋์๋ค. I & G ์ํ๋ฐฉ์ ์์ ์์ 2.1์ ์์ ๊ฒํ ๋ ๋ฐ์ ๊ฐ์ด ๋น์ด์์ ํญ๋ฐ ํน์ฑ์ ๊ฐ๋ ํญ์ฝ์ ํญ๋ฐ์๋ ฅ ๊ณ์ฐ์ ์ฌ์ฉ๋๊ณ ์๋ค. ํญ์ฝ์ ๋ํ
์ฌ๋ฃ๋ชจ๋ธ์ ANFO์ ๊ฒฝ์ฐ ํญ์ฝ์ ๋ฐ๋($\rho$=0.8 g/cm3)๋ก ์ ์๋๊ณ , ์ ํญ์ฝ์ ๊ฒฝ์ฐ๋ ๋ฐ๋($\rho$= 1.75 g/cm3), ํญ์($D$=8,210 m/s), C-J(Chapman-Jouguet) ํญ๋ฐ์๋ ฅ($P_{cj}$=4.52ร104 MPa) ๋ฑ์ ์ํด ์ ์๋๋ค. ANFO ํญ์ฝ๊ณผ ์ ํญ์ฝ์ ์ํ๋ฐฉ์ ์(EOS)์ ์ ์๋ฅผ ์ํด ์
๋ ฅ๋ ์์๋ Stimac et al. (2021), Jayasinghe et al. (2017), Lee and Tarver (1980), Johansson(2011) ๋ฑ์ ์ฐ๊ตฌ๋ฅผ ์ฐธ๊ณ ํ์ผ๋ฉฐ, Table 1์ ๋ํ๋ธ ๋ฐ์ ๊ฐ๋ค.
Table 1. Coefficients of the equation of state (EOS) for explosives
|
EOS type
|
Coefficients
|
I & G
(ANFO)
|
$r_1$
(MPa)
|
$r_2$
(MPa)
|
$r_3$
(MPa/K)
|
$r_5$
|
$r_6$
|
|
1.5E5
|
-2.0E3
|
0
|
11.0
|
15.0
|
$a_p$
(MPa)
|
$b_p$
(MPa)
|
$xp_1$
|
$xp_2$
|
$g_p$
(MPa/K)
|
|
1.518E5
|
7.15E2
|
5.0
|
1.0
|
0.29
|
$I$
(1/ms)
|
$G$
|
$a$
|
$b$
|
$c$
|
|
1.0E4
|
15
|
0.2
|
0.22
|
0.22
|
|
$d$
|
$x$
|
$y$
|
|
|
|
0.67
|
4.0
|
0.9
|
|
|
JWL
(PETN)
|
$A$
(MPa)
|
$B$
(MPa)
|
$R_1$
|
$R_2$
|
$\omega$
|
|
6.17E5
|
1.69E4
|
4.4
|
1.2
|
0.25
|
ํญ์ฝ์ ๋ด๊ณ ์๋ ์ค๋ฆฐ๋ ํํ์ PVC ํ๋ธ ๋ชจ๋ธ์ ์ฌ์ฉ๋ ์ฌ๋ฃ๋ชจ๋ธ์ ๋ฐ๋(1.367 g/cm3), ์ ๋จ ํ์ฑ๊ณ์(1,150 MPa), ํญ๋ณต๊ฐ๋(37.8 MPa)๋ก ์ ์๋๋ค. ๋ํ, ์๋ ฅ๊ณ์ฐ์ ์ฌ์ฉ๋ ์ํ๋ฐฉ์ ์์ ์ถฉ๊ฒฉํ์ค์ ๋ฐ๋ solid ์์์
์๋ ฅ ๊ณ์ฐ์ ์ ํฉํ Gruneisen EOS์ด๋ค(Yi et al. 2018). ์ด์ ๊ด๋ จ๋ ์
๋ ฅ ์์๋ Table 2์ ๋ํ๋ธ ๋ฐ์ ๊ฐ๋ค.
Table 2. Coefficients of the equation of state (EOS) for a polyvinyl chloride tube
|
Coeff. of EOS
|
Coeff. values
|
|
Elastic sound speed C (m/s)
|
2,314
|
|
Material constant S1, S2, S3
|
1.469, 0, 0
|
|
Grรผneisen parameter $\gamma_0$
|
0.4
|
|
Volume correction coeff. $A$
|
0
|
|
Initial relative volume $V_0$
|
1.0
|
์์ ๊ฐ์ ๋ฐฉ๋ฒ์ผ๋ก ๋ชจ๋ธ๋ง๋ ํญ์ฝ ๋ชจ๋ธ์ Fig. 4์ ๋ํ๋ด์๋ค. ANFO ํญ์ฝ์ ๋ํ ํด์ ๋
ผ๋ฌธ(Price and Ghee 2009; Sanchidrian et al. 2015; Bohanek et al. 2023)์ ์ฐธ๊ณ ํ๋ฉด, ๋ฐ์๊ตฌ๊ฐ์ ๊ธธ์ด๋ฅผ ๊ณ ๋ คํ์ ๋ 1 mm์ ๋ฉ์ฌ ํฌ๊ธฐ๊ฐ ์ ๋นํ๋ฉฐ, ์ด๋ณด๋ค ๋ ๋ฐฐ ์ ๋ ์ปค๋ ํ์ฉ๋ ์์ค์ด๋ผ๊ณ ๋์ด ์๋ค. ๋ณธ ์ฐ๊ตฌ์ ํด์๋ชจ๋ธ๋
์ด์ ๊ฐ์ ์ฐ๊ตฌ๋ฅผ ์ฐธ๊ณ ํ์ฌ ์๋ฅผ ๋ค์ด, ์ค์๋ถ ๋ฉ์ฌ์ ๊ฒฝ์ฐ 1 mm ๋ด์ธ๋ก ์ ํ์๋ค. ์๋ก์ ๋ด์ธก ์ง๊ฒฝ 154 mm ํญ์ฝ ์ค๋ฆฐ๋์ ๋ํ ํด์๋ชจ๋ธ์
ํญ์ฝ์ 11,945,472๊ฐ์ ALE solid ์์, ํญ์ฝ์ ๋ด๊ณ ์๋ PVC ํ๋ธ์ 1,447,936๊ฐ์ ์ผ๋ฐ solid ์์๊ฐ ์ฌ์ฉ๋์ด ์ด 13,393,408๊ฐ์
solid ์์๊ฐ ์ฌ์ฉ๋์๋ค. ๋ํ, ๋ฉ์ฌ๋ ์ด 13,682,617๊ฐ์ ์ ์ ์ผ๋ก ๊ตฌ์ฑ๋์๋ค. ์์ ๊ฐ์ ๋ชจ๋ธ๋ง ๋ฐฉ๋ฒ์ ์๋ ฅํ์ ๊ด๋ จ๋ ํญ์ฝ ๋ด์ ํญ๋ฐ๊ฑฐ๋์
ํด์ํ๋ ๋ฐ ์์ด ์ฌ์ฉ๋๋ ๋ฐฉ๋ฒ์ผ๋ก Fan et al. (2025), Johansson (2011) ๋ฑ์ ์ฐ๊ตฌ๋ฅผ ์ฐธ์กฐํ ์ ์๋ค.
Fig. 4. Finite element analysis model
3.2 ํด์๋ชจ๋ธ์ ์ ํฉ์ฑ ๊ฒํ
3.1์ ์์์ ๊ฐ์ ๋ชจ๋ธ์ด ์ด ์ฐ๊ตฌ์ ๋ชฉ์ ์ ์ ํฉํ์ง ๊ฒํ ํ๊ธฐ ์ํด Fig. 6๊ณผ ๊ฐ์ด ํด์์ ์ํด ๊ณ์ฐ๋ ์๋ ฅํ ์๋(โSimulationโ)๋ฅผ Bohanek et al. (2023)์ ์ํ ์คํ๊ฒฐ๊ณผ(โCylinder Testโ) ๋ฐ ํด์๊ฒฐ๊ณผ(โAutodynโ)์ ๋น๊ตํ์๋ค. ๋๋ ทํ ๊ฑฐ๋ ์ฐจ์ด๋ฅผ ๋ณด์ด๋ 71 mm ๋ฐ 154 mm
ํญ์ฝ ์ค๋ฆฐ๋์ ๋ํด์ ์๋ก์จ ๋ํ๋ด์๊ณ , ๋ชจ๋ ํญ์์ ๋ํ ๋น๊ต๊ฒฐ๊ณผ๋ฅผ ์ค์ฐจ์จ๊ณผ ํจ๊ป ํ๋ก ์์ฝํด ๋์๋ค. ์ฌ๊ธฐ์, ์๋ ฅํ ์๋๋ ์๋ ฅํ์ ๊ตฌ๊ฐ๋ณ ์ด๋๊ฑฐ๋ฆฌ
๋ฐ ์์์๊ฐ์ผ๋ก๋ถํฐ ๊ณ์ฐ๋ ๊ฐ์ด๋ค. ์๋ฅผ ๋ค์ด, Fig. 5์์์ ๊ฐ์ด ์๋ ฅํ๊ฐ ์ ํํด ๊ฐ ๋ ๊ตฌ๊ฐ๋ณ ์๋๋ฅผ ๊ตฌํ๋ค. ์๋ ฅํ ์๋ ๋น๊ต ๊ทธ๋ํ์ x์ถ์ ์ ํญ์ฝ์ ์ ํ์์น(์ค๋ฆฐ๋ ์ด์
๋ถ)๋ก๋ถํฐ ๋จ์ด์ง ๊ฑฐ๋ฆฌ,
y์ถ์ ํญ์(ํญ๊ต์๋)์ ํฌํจํ๋ ๊ฐ๋
์ผ๋ก ๋์ ์๋ฏธ์์ ์๋ ฅํ ์๋(Pressure-wave Velocity)๋ก ์ ์ํ์๋ค.
Fig. 5. Propagation of pressure wave (154 mm cylinder)
Fig. 6. Comparisons of pressure wave velocity
Fig. 6์์ ๊ทธ๋ํ์ ์ ์ฒด์ ์ธ ๊ฒฝํฅ์ ๋ณด๋ฉด, ์์์ ์์๋ ์ ํญ์ฝ(booster)์ ํญ๋ฐ๋ก ๋ฐ์ํ ์ถฉ๊ฒฉํ๋ก ์ธํด ๋์ ์๋๋ฅผ ๋ํ๋ด๋ค๊ฐ, ANFO ํญ์ฝ ๋ด
์ฝ 100 mm ๋ด์ธ์ ๊ฑฐ๋ฆฌ์ ์ด๋ฅด๊ธฐ๊น์ง ๊ธ๊ฒฉํ ๊ฐ์๋ ๊ฐ์ ๋ณด์ด๊ณ ์๋ค. ๊ทธํ ์ผ์ ํ ์๋(ํญ๊ต์๋)์ ์๋ ดํ๋ ๊ฑฐ๋์ ๋ํ๋ด๊ณ ์๋ค. Table 3 ๋ฐ Fig. 6์ ๋น๊ต์์ ์ง๊ฒฝ 71 mm ํญ์ฝ์ ๊ฒฝ์ฐ ์คํ๊ฐ ๊ธฐ์ค์ผ๋ก ์ฝ 1,190 m/s์ ๋น๊ต์ ๋ฎ์ ํญ์์ ๋ณด์ด๊ณ ์์ผ๋, ์ง๊ฒฝ 154 mm ํญ์ฝ์์๋ 100
mm ๋ถ๊ทผ์์ ๋ํ๋ ์ต์ ์๋๋ก๋ถํฐ ์ ์ฐจ ์ฆ๊ฐํ์ฌ ์คํ๊ฐ ๊ธฐ์ค์ผ๋ก ์ฝ 3,620 m/s์ ํญ์์ ๋๋ฌํ ๊ฒ์ผ๋ก ๋ํ๋ฌ๋ค(์ง๊ฒฝ๋ณ๋ก ์๋ก ๋ค๋ฅธ ํญ์์
๋ํ๋ด๋ ๊ฒ์ ํฌ๊ธฐํจ๊ณผ์ ์ํ ๊ฒ์ผ๋ก ์ดํ ์ํฅ์ธ์ ๋ถ์์์ ๊ฒํ ). ํด์์์ ๊ณ์ฐ๋ ํญ์๊ณผ ์คํ์์ ๋ํ๋ ํญ์์ ์ฐจ์ด๋ฅผ ๊ฒํ ํด ๋ณด๋ฉด, ํญ์ฝ ์ค๋ฆฐ๋์
์ง๊ฒฝ ํฌ๊ธฐ ์(์ค๋ฆ์ฐจ์)์ผ๋ก 7.6 %, 6.8 %, 4.1 %์ ๊ฐ๋ค.
Table 3. Comparison of detonation velocity with results from Bohanek et al. (2023)
|
Diameter (mm)
|
Detonation velocity (m/s)
|
Error (%)
|
|
Simulation
|
Tests
|
|
71
|
1,280 (0.34)
|
1,190 (0.33)
|
7.6
|
|
104
|
2,683 (0.71)
|
2,880 (0.79)
|
6.8
|
|
154
|
3,771 (1.00)
|
3,620 (1.00)
|
4.1
|
์ฐธ๊ณ ๋ก์ ์ง๊ฒฝ 104 mm ๋ฐ 154 mm ์ค๋ฆฐ๋์ ํญ๊ต์๋์ ๋ํด ๋ค๋ฅธ ์ฐ๊ตฌ๊ฒฐ๊ณผ(Stimac et al. 2021)๋ฅผ ์ฐธ์กฐํ๋ฉด, ๊ฐ๊ฐ 2,850 m/s์ 3,680 m/s๋ก์ ์ด ์ฐ๊ตฌ์ ํด์๊ฒฐ๊ณผ์์ ์ฐจ์ด๋ ๊ฐ๊ฐ 5.8 % ๋ฐ 2.5 %๋ก์ ๋ง์ฐฌ๊ฐ์ง๋ก 10 % ๋ฏธ๋ง์
์ค์ฐจ๋ฅผ ๋ํ๋ด๊ณ ์๋ค. Fig. 6์ Bohanek et al. (2023)์ ์ฐ๊ตฌ๊ฒฐ๊ณผ์ ๋น๊ต์์ ์ด๊ธฐ ๊ตฌ๊ฐ์ ์ฝ๊ฐ์ ์ฐจ์ด๊ฐ ๋ณด์ด๊ธด ํ๋, ํญ๊ต์๋์ ๋ํด ๋ ๊ธฐ์กด ์ฐ๊ตฌ์์ ๋น๊ต ๊ฒฐ๊ณผ๋ฅผ ๊ณ ๋ คํ ๋ ์ด ์ฐ๊ตฌ์ ํด์๋ชจ๋ธ ๋ฐ ๊ฒฐ๊ณผ๊ฐ
์ด๋ ์ ๋ ํ๋น์ฑ์ด ์๋ ๊ฒ์ผ๋ก ํ๋จ๋๋ค.
๋น๊ต ๊ฒฐ๊ณผ์ ๋ํด ์ ๋ฐ์ ์ผ๋ก ํ๋จํ๋ค๋ฉด ๋ค์๊ณผ ๊ฐ๋ค. ์ต์ข
์ ์ผ๋ก ์์ ๋ ํญ์์ ๋๋ฌํ๊ธฐ ์ ์ ์ด๊ธฐ ๊ตฌ๊ฐ์์ ๋ค์ ์คํ๊ฒฐ๊ณผ์ ์ฐจ์ด๋ฅผ ๋ณด์ด๊ธด ํ์์ผ๋,
๊ฑฐ๋ฆฌ์ ๋ฐ๋ผ ๋ํ๋๋ ์๋์ ์ ์ฒด์ ์ธ ๋ณํ ์ถ์ธ, ์ง๊ฒฝ ํฌ๊ธฐ๋ณ ํญ์์ ๋ณํ์ ๊ฐ์ ํญ๋ฐ๊ฑฐ๋ ๋ฑ์ ๋น๊ต์ ์ ๋ชจ์ฌํ ์ ์๋ ๊ฒ์ผ๋ก ๊ฒํ ๋์๋ค. ๊ฒฐ๋ก ์ ์ผ๋ก
๊ฒฝ๊ณ์กฐ๊ฑด์ด ๋ณํํ ๋ ๋ํ๋๋ ํญ๋ฐ๊ฑฐ๋์ ์ฐจ์ด๊ฐ ๋๋ ท์ด ๋ชจ์ฌ๋ ์ ์๋ ์ ์ ๊ณ ๋ คํ์ ๋, ๋ณธ ์ฐ๊ตฌ์์ ๋ค๋ฃจ๊ณ ์ ํ๋ ์ํฅ์ธ์ ๋ถ์์ ์ถฉ๋ถํ ๊ฐ๋ฅํ๋ค๊ณ
ํ๋จ๋๊ธฐ ๋๋ฌธ์ 3.1์ ์ ๋ํ๋ธ ๋ฐ์ ๊ฐ์ ํด์๋ชจ๋ธ์ ๋ถ์ ๋ชฉ์ ์ ์ถฉ๋ถํ๋ค๊ณ ์ฌ๋ฃ๋๋ค.
4. ์ํฅ์ธ์ ๋ฐ ์ํธ๊ด๊ณ ๋ถ์
4.1 ์ง๊ฒฝ ํฌ๊ธฐ์ ๋ฐ๋ฅธ ์ฒด์ ๋ณํ๋ฅ ๋น๊ต
ํญ์ฝ ์ง๊ฒฝ๋ณ๋ก ๋ฐ์์๋ ๋ฐ ๋ฌผ์ง์ ํฝ์ฐฝ๊ณผ ๊ฐ์ ๋ฌผ๋ฆฌ๋์ ๋น๋กฏํด ๋ค๋ฅธ ์ธ์๊ฐ ์ด๋ป๊ฒ ๋ค๋ฅด๊ฒ ๋ณํํ๊ณ , ๊ทธ๋ก ์ธํด ์์ Table 3 ๋ฐ Fig. 6์์์ ๊ฐ์ ํญ์์ ๊ฒฐ๊ณผ๋ก์ ์ป์ ์ ์๋์ง ๋ถ์ํ์๋ค. ํฝ์ฐฝ์ ์ฒด์ ๋ณํ๋ฅ ์ ๊ฐ๋
์ผ๋ก ๊ทธ ์ ๋๋ฅผ ๋น๊ต ํ๊ฐํ์๋ค. ๋จผ์ , Fig. 7์ ๊ฑฐ๋ฆฌ๋ณ(์ ํญ์ฝ์ผ๋ก๋ถํฐ ๋จ์ด์ง ๊ฑฐ๋ฆฌ) ์ฒด์ ๋ณํ๋ฅ ์ ๋ถํฌ๋ฅผ ๋น๊ตํด ๋์ ๊ฒ์ด๋ค. ์ฌ๊ธฐ์ ๋ํ๋ธ ๊ทธ๋ํ๋ค์ ๋ํ๋๋ ๋ช ๊ฐ์ ์์น๋ฅผ ์ ์ ํ๊ณ , ๊ทธ ์์น์์
ํญ์์ด ์ต๋๊ฐ ๋๋ ์์ ์์ ํด๋น ์์น๋ฅผ ํฌํจํ ๊ทธ ์ด์ ๊ตฌ๊ฐ์์์ ๋ณํ๋ฅ ์ ๋ํ ๊ฐ๋ค์ ์ฐ๊ฒฐํด์ ๋ํ๋ธ ๊ฒ์ด๋ค. ์ฌ๊ธฐ์ ๋ํ๋๋ ์์น๋ Fig. 6๊ณผ ๊ฐ์ ์๋ ฅํ ์ ํ์๋์ ๊ฑฐ๋ฆฌ๋ณ ๋ถํฌ๋ฅผ ์ฐธ๊ณ ํ์ฌ ์ ์ ํ์๋ค. ์๋ก, Fig. 7์ (c)์ ์ง๊ฒฝ 154 mm ํญ์ฝ์ ๋ํ ๊ฒฝ์ฐ์์ h ๊ทธ๋ํ๋ 741 mm ์์น์์ ํญ์์ด ์ต๋๊ฐ ๋๋ 0.238 ms ์์ (์๋ ฅํ๊ฐ 741 mm์ ์์น์
๋๋ฌํ ์์ )์์ 741 mm ์์น๋ฅผ ํฌํจํ ๊ทธ ์ด์ ์์์ ์ฒด์ ๋ณํ๋ฅ ์ ๋ํ๋ธ ๊ฒ์ด๋ค. ๊ทธ๋ฆฌ๊ณ , ๋๋จธ์ง a~g ๊ทธ๋ํ๋ค์ ์์ ์ ๋ค๋ฅด๋ ๋ณํ์ถ์ธ๋ฅผ
๋ณด๊ธฐ ์ํด ํจ๊ป ๋ํ๋ธ ๊ฒ์ด๋ค.
Fig. 7. Comparisons of volumetric strain distribution
Fig. 7์ (c)์ ์ง๊ฒฝ 154 mm ์ค๋ฆฐ๋์ ๋ํ ๊ฒฐ๊ณผ์์ ํฝ์ฐฝ์ ํด๋นํ๋ ๋ถ๋ถ(+๊ฐ)์ ์ดํด๋ณด๋ฉด, ๊ณก์ a์์ ๊ณก์ c๊น์ง ๊ธฐ์ค ์์น ๋ฐ ์์ (์๋ ฅํ๊ฐ ๋๋ฌํ
์์น ๋ฐ ์์ )์ด ๋ณํ๋๋ผ๋ ์ต๋๊ฐ์ (+)0.849 ๋ด์ธ ์์ค์ผ๋ก ํฌ๊ฒ ๋ณ๋ ์๋ค๊ฐ, ๊ณก์ d ๋ฐ ๊ณก์ e(์๋ ฅํ ์์น=305 mm) ๋ฑ์์๋ ์ต๋๊ฐ์ด
(+)1.64 ์ ๋๊น์ง ์ ์ฐจ์ ์ผ๋ก ์ฆ๊ฐํ์๋ค. ์ดํ ํฝ์ฐฝ์ ํด๋นํ๋ ๋ถ๋ถ์ ์ ๋ฐ์ ์ผ๋ก ์ฆ๊ฐํ๋ ๊ฒ์ผ๋ก ๋ํ๋ฌ๋ค(๊ณก์ f~h). ์๋ฅผ ๋ค์ด, ๊ณก์ h๋ฅผ
๋ณด๋ฉด ์ต๋ (+)4.3์ ๋ณํ๋ฅ ์ ๋ํ๋ด์๋ค. ์ด์ ๋นํด Fig. 7(a) ๋ฐ (b)์ ๊ฐ์ด ์ค๋ฆฐ๋ ์ง๊ฒฝ์ด ๋ ์์ ๊ฒฝ์ฐ๋ฅผ ๋ณด๋ฉด, ์๋ฅผ ๋ค์ด ์ง๊ฒฝ 71 mm ์ค๋ฆฐ๋์ ๊ฒฝ์ฐ ๊ณก์ e(์๋ ฅํ ์์น=314 mm)์ ๋ํ๋ ๋ฐ์ ๊ฐ์ด ์ค๋ฆฐ๋
์ด์
๋ถ ๋ถ๋ถ์์ (+)3.63~(+)5.13์ ๋ณํ๋ฅ ์ ๋ํ๋๊ณ , ์ง๊ฒฝ 104 mm ์ค๋ฆฐ๋์ ๊ฒฝ์ฐ ๊ณก์ d(์๋ ฅํ ์์น=304 mm)์์์ ๊ฐ์ด ์ต๋
(+)2.76์ ๋ณํ๋ฅ ์ ๋ํ๋๋ค. ์ด๋ฅผ ์ง๊ฒฝ 154 mm ์ค๋ฆฐ๋์ ๊ฒฝ์ฐ(๊ณก์ e, ์๋ ฅํ ์์น=305 mm)์ ๋น๊ตํด ๋ณด๋ฉด, ์ง๊ฒฝ์ด ์์์ง์๋ก ํฝ์ฐฝ์ด
์ ์ ๋ ํฌ๊ฒ ์ฆ๊ฐํ ๊ฒ์ด๋ค.
ํํธ, ๋ํ์ ์๋ก์ Fig. 8์์์ ๊ฐ์ด ์ง๊ฒฝ 154 mm ์ค๋ฆฐ๋์ ๋ํ ์ฒด์ ๋ณํ๋ฅ ์๋(volumetric strain rate)๋ฅผ ๊ฒํ ํด ๋ณด๋ฉด, ์ ๋๊ฐ ํฌ๊ธฐ๋ก ๋น๊ตํ์ ๋
ํฝ์ฐฝ๋ณํ๋ฅ ์๋(+๊ฐ)๋ ์์ถ๋ณํ๋ฅ ์๋(-๊ฐ)์ ๋นํด ์๋นํ ์์์ (+)50 (1/ms) ๋ฏธ๋ง์ ๊ฐ์ ๋ณด์ด๊ณ ์๋ค.
์ฌ๊ธฐ์, ์ฒด์ ๋ณํ๋ฅ ์๋๋ ๋์ ๊ฑฐ๋์ ๋ณด๊ณ ์ ํ๋ ๊ฒ์ผ๋ก์ ์ฒด์ ๋ณํ๋ฅ ์ ์๊ฐ์ ๋ํด ๋ฏธ๋ถํ์ฌ ์ป์ ์ ์๋ค. ์์ถ๋ณํ๋ฅ ์๋(์ ๋๊ฐ)๊ฐ ํฝ์ฐฝ์ ๊ฒฝ์ฐ์
๋นํด ์๋์ ์ผ๋ก ๋ ํฐ ๊ฒ์ ์์ ์ด์์ผ๋ก ์ ๋ฌ๋๋ ์ถฉ๊ฒฉํ์ ์ํด ๋งค์ฐ ๋น ๋ฅธ ์๋๋ก ์์ถ ๋ณํ์ด ์ผ์ด๋๊ธฐ ๋๋ฌธ์ด๋ค. ๋ชจ๋ ๋ํ๋ด์ง๋ ์์์ผ๋, ์ง๊ฒฝ์ด
์์ ์ค๋ฆฐ๋์ ๊ฒฝ์ฐ๋ ํฝ์ฐฝ๋ณํ๋ฅ ์๋๋ ์์ถ์ ๊ฒฝ์ฐ์ ๋นํด ์๋นํ ์์์, ์ง๊ฒฝ๋ณ ์ฒด์ ๋ณํ๋ฅ ์ ๋น๊ตํ์ ๋๋งํผ์ ๋๋ ทํ ์ฐจ์ด๋ฅผ ๋ณด์ด์ง ์์๋ค. ๊ทธ๋ฌ๋,
์์ถ๋ณํ๋ฅ ์๋์ ๊ฒฝ์ฐ, ์ต์๊ฐ(์๋ ฅํ ์ ๋จ์์์ ๋ณํ๋ฅ ์๋๋ก์ ์ ๋๊ฐ์ผ๋ก๋ ์ต๋๊ฐ)์ ์ง๊ฒฝ ํฌ๊ธฐ ์(์ค๋ฆ์ฐจ์)์ผ๋ก ๋ํ๋ด๋ฉด, Fig. 8์ ํ์ ์ผ๋ก ํ์๋ ๋ฐ์ ๊ฐ์ด ์ฝ (-)340, (-)780, (-)900 (1/ms) ์์ค์ผ๋ก ๋ํ๋์ ์ง๊ฒฝ๋ณ ์ฐจ์ด๊ฐ ๋๋ ทํ์๋ค.
Fig. 8. Volumetric strain rate distribution for the โ
154 cylinder, and comparisons
of max. compressive volumetric strain rate
4.2 ํญ๋ฐ์๋ ฅ๊ณผ ์ฒด์ ๋ณํ๋ฅ ๊ณผ์ ๊ด๊ณ
์ฒด์ ๋ณํ๋ฅ ๊ฒํ ์์ ๋ํ๋ ๊ฑฐ๋๋ค์ด ํญ์๊ณผ๋ ์ด๋ ํ ๊ด๊ณ๊ฐ ์์์ง ๊ฒํ ํ๊ธฐ ์ํด Fig. 9์ ๊ฐ์ด ๊ฑฐ๋ฆฌ์ ๋ฐ๋ฅธ ํญ์ ๋ถํฌ๋ฅผ ๊ทธ๋ ค ๋ณด์๋ค(๊ฐ ๊ฐ๋ณ ๊ณก์ ์ ์์ฑ๋ฐฉ์์ ๋ณํ๋ฅ ์ ๋ํ ๊ฒฝ์ฐ์ ์ ์ฌ). ์ง๊ฒฝ 154 mm ์ค๋ฆฐ๋์ ๋ํ Fig. 9(c)์ a, b, c ๊ณก์ ์์ ๋ณผ ์ ์๋ ๋ฐ์ ๊ฐ์ด ์ค๋ฆฐ๋ ์ด์
๋ถ์์ ํฌ์ง๋ ์์ผ๋ ์ผ์ ํ ์๋ ฅ ์ด์์ผ๋ก ์์ฉํ๊ณ ์๋ ๊ฒฝ์ฐ, ์๋ ฅํ ์ ๋จ(pressure
front)์์์ ํญ์(๊ฐ ๊ฐ๋ณ ๊ณก์ ์์ ์ต๋๊ฐ)์ด ํฌ๊ฒ ์ฆ๊ฐํ๋ค๊ฐ, d ๋ฐ e ๊ณก์ ์์์ฒ๋ผ ์ค๋ฆฐ๋ ์ด์
๋ถ์์์ ์๋ ฅ์ด ๋ค์ ๋จ์ด์ง๋ฉด์ ๋ ์ด์ ์ฆ๊ฐํ์ง
์๊ณ 6,600 MPa ์ ๋์ ์๋ ดํ๋ ๊ฒ์ผ๋ก ๋ํ๋ฌ๊ณ , ์ดํ์ ๊ณก์ ์์๋ ๋น์ทํ ์ต๋๊ฐ์ด ์ ์ง๋๋ ๊ฒ์ผ๋ก ๋ํ๋ฌ๋ค. 154 mm ์ค๋ฆฐ๋์ ๋นํด ์ง๊ฒฝ์ด
์์ ๊ฒฝ์ฐ๋ ์ค๋ฆฐ๋ ์ด์
๋ถ ๊ตฌ๊ฐ์์์ ์๋ ฅ์ด ๋น๊ต์ ๋ ๋ฎ๊ฑฐ๋, ์ผ์ ํ ์๋ ฅ ์ด์์ผ๋ก ์ ์ง๋์ง ๋ชปํ๊ณ ๊ณง ๋จ์ด์ง๋ ๊ฑฐ๋์ ๋ณด์๋ค.
์ค๋ฆฐ๋ ์ง๊ฒฝ์ด ํฐ ๊ฒฝ์ฐ์ ์ ์ฒด์ ์ธ ๊ฑฐ๋์ ๋น๊ตํด ๋ณด๋ฉด, ์๋ ฅ์ด ํฌ๊ฒ ์ฑ์ฅํ์ง ๋ชปํ๊ฑฐ๋ ์ง๊ฒฝ 71 mm ํญ์ฝ์ ๊ฒฝ์ฐ์ ๊ฐ์ด ์ ํ ์ฑ์ฅํ์ง ๋ชปํ ์ฑ ์ค๋ฆฐ๋
์ด์
๋ถ์์์ ์๋ ฅ ์์ค์ ๊ทธ๋๋ก ์ ์งํ๋ ๊ฒ์ผ๋ก ๋ํ๋ฌ๋ค. ์ด๋ฌํ ๊ฒฐ๊ณผ๋ฅผ ๋ณด๋ฉด, ํฝ์ฐฝ๋ณํ๋ฅ ์ด ํฌ๊ณ ์๋ ฅํ ์ ๋จ์์์ ์์ถ๋ณํ๋ฅ ์๋๊ฐ ๋ฎ์(์ ๋๊ฐ
๊ธฐ์ค์ผ๋ก) ์์ ์ง๊ฒฝ ์ค๋ฆฐ๋์ ๊ฒฝ์ฐ ํญ์์ด ์ฑ์ฅํ์ง ๋ชปํ๊ณ ๋ฎ๊ฒ ๋ํ๋๋ ๊ฒ์ ์ ์ ์์๋ค.
Fig. 9. Comparisons of pressure distribution
4.3 ๊ตฌ์ ์์ค, ํญ์ ์ฑ์ฅ์ ๋ฏธ์น๋ ์ํฅ
Fay(2020) ๋ฐ Zhang(2016)์ ์ํ๋ฉด, ์๋ ฅํ ์ ๋จ์ ํ์ธก์ผ๋ก ํฌ๋ฐํ(rarefaction wave)๊ฐ ํ์ฑ๋๋๋ฐ, ์ด๋ก ์ธํด ํญ๋ฐ ๋ฌผ์ง์ด ๋ฐฉ์ฌ๋ฐฉํฅ์ผ๋ก ํฝ์ฐฝํ๊ณ ์๋ ฅ์ ์ ์ฐจ
๋จ์ด์ง๊ฒ ๋๋ค. ์๋ ฅ ์ ํ ์ ๋๋ ํญ์ฝ ๋(ํญ์ฝ ์ง๊ฒฝ) ๋ฐ ์ค๋ฆฐ๋ ์ผ์ด์ค์ ์ํฅ์ผ๋ก ๋ํ๋๋ ๊ตฌ์(confinement) ํจ๊ณผ, ๋ค์ ๋งํด ํฝ์ฐฝํ๋
๋ฌผ์ง์ ํ๋ฆ์ ์ต์ ํ๋ ํจ๊ณผ๊ฐ ์ผ๋ง๋ ํฌ๊ณ ์์ผ๋์ ๋ฐ๋ผ ๋ค๋ฅด๋ค. ๊ตฌ์ ์์ค์ด ๋์ ํฝ์ฐฝ์ด ํฌ์ง ์์ผ๋ฉด ์๋ ฅํ ์ ๋จ ํ์ธก์ ์๋ ฅ์ด ์์ํ ๋จ์ด์ง๋
๋ถํฌ๋ฅผ ๋ณด์ด๊ณ , ๋ฐ๋์ธ ๊ฒฝ์ฐ ์๋ ฅ์ด ๋ ๋นจ๋ฆฌ 0์ ๊ทผ์ ํ๊ฒ ๋๋ค.
Fig. 9์ ํญ์ ๋ถํฌ์์๋ ๊ทธ์ ๊ฐ์ ๊ฑฐ๋์ ๋ณผ ์ ์์ง๋ง, ์ข ๋ ๋ช
ํํ ์ฝ์ด ๋ด๊ธฐ ์ํด์๋ ๋ฐ์ดํฐ ๋ถ์์ด ๋ ํ์ํ๋ค. ํญ์(Fig. 9) ๋ฐ ์ฒด์ ๋ณํ๋ฅ (Fig. 7) ๋ถํฌ๋ฅผ ์ข
ํฉํ์ฌ ๊ฒํ ํด ๋ณธ ๊ฒฐ๊ณผ, ์ค๋ฆฐ๋ ์ด์
๋ถ์์์ ํญ์์ด ํฝ์ฐฝ ์ ๋์ ๋ฐ๋ผ ๋ฏผ๊ฐํ๊ฒ ๋ณํํ๋ ๊ฒ์ ์ ์ ์์๋๋ฐ, ์ด๋ฅผ ๊ณ ๋ คํ์ฌ ํญ์ ๋ถํฌ๋์
๊ฐ ๊ณก์ ์์ ์ด์
๋ถ ์๋ ฅ(์ด์
๋ถ 3๊ฐ์ ์ ์ ๋ํด ํ๊ท ๊ฐ)์ ๋ณํ๋ฅผ Fig. 10๊ณผ ๊ฐ์ ๊ทธ๋ํ๋ก ๋ํ๋ด์๋ค. x ์ขํ๋ ์ค๋ฆฐ๋ ๋ด ์๋ ฅํ ์ ๋จ(front)์ ์์น(๊ฐ ํญ์ ๊ณก์ ์์ ์ต๋๊ฐ ์์น), y ์ขํ๋ ๊ฐ ํด๋น ๊ณก์ ์์
์ด์
๋ถ ๊ตฌ๊ฐ์ ํญ์์ด๋ค.
Fig. 10. Comparisons of changes in confinement level
์๋ก์ Fig. 10์ ์ง๊ฒฝ 154 mm ํญ์ฝ์ ๋ํ ๊ฒฝ์ฐ, ์ด๊ธฐ 3๊ฐ์ ์์น์์๋ ๋น๊ต์ ํฌ๊ณ ์ผ์ ํ ์๋ ฅ์ด ์ ์ง๋๋ ๊ฒ์ผ๋ก ๋ณด์ ์๋์ ์ผ๋ก ๊ตฌ์ ์ ๋๊ฐ ๋์ ๊ฒ์ผ๋ก
๋ณผ ์ ์๋ค. ๊ทธ์ ๊ฐ์ ์กฐ๊ฑด์ด ํ์ฑ๋จ์ผ๋ก ํญ์์ด ๊ณ์ ์ฑ์ฅํ ์ ์์๋ ๊ฒ์ผ๋ก ๋ณด์ธ๋ค. ๊ทธํ 305 mm ๋๋ 392 mm ์์น๋ถํฐ ํ๋ฝํ๊ธฐ ์์ํ๋ฉด์
์๋ ฅํ ์ ๋จ์์์ ํญ์(Fig. 9์์ ๊ฐ ๊ณก์ ์ ์ต๋ ํญ์)๋ ๋ ์ฑ์ฅํ์ง ์์ ๊ฒ์ผ๋ก ๋ณด์ธ๋ค. ์ด์ ๋นํด ์์ ์ง๊ฒฝ ์ค๋ฆฐ๋์ ๊ฒฝ์ฐ๋ ๋ ๋ฎ์ ์ด๊ธฐ ์๋ ฅ์ด ์
ํ
๋ ์ํ์์ ์ถ๋ฐํ์ฌ
๋ ์ด๋ฅธ ์์น๋ถํฐ ํํ๊ฐ์ ์๋ ดํ๋ ๊ฒ์ผ๋ก ๋ํ๋ฌ๋ค. ์๋์ ์ผ๋ก ์๋ ฅ ์ฑ์ฅ์ ์ ๋ฆฌํ ๊ตฌ์์กฐ๊ฑด์ด ํ์ฑ๋์ง ๋ชปํ ๊ฒ์ผ๋ก ๋ถ์๋ ์ ์๋ค.
์ข
ํฉ์ ์ผ๋ก ๋ณด๋ฉด, ํฌ๋ฐํ์ ์ํ ํฝ์ฐฝ ๋ฐ ์๋ ฅ ์ ํ๊ฐ ์๊ฒ ์ ์ง๋๋ ๊ตฌ๊ฐ์ ๊ธธ์ด๊ฐ ๊ธธ์๋ก(=๊ตฌ์ ์์ค์ด ๋์์๋ก) ํญ์์ด ๋ ํฌ๊ฒ ์ฑ์ฅํ ๊ฒ์ผ๋ก ๋ถ์๋
์ ์์๋ค. ์์ 2.2์ ์์ ์๋ ฅํ ์ ๋จ ํ์ธก์์์ ๋ฌผ์ง์ ํฝ์ฐฝ ์ ๋๊ฐ ํญ์์ ์ฑ์ฅ์ ์ํฅ์ ๋ฏธ์น๋ค๊ณ ์ธ์ฉํ์๋๋ฐ, Fig. 9 ๋ฐ Fig. 10์์์ ๊ฐ์ด ์๋ ฅํ ์ ๋จ์ ํ์ธก์์์ ํญ์ ๋ถํฌ ๋ฐ ๊ตฌ์ ์์ค์ ๋ํ ๋ถ์๊ณผ์ ์ ํตํด ๊ทธ์ ๊ฐ์ ํ์์ ๊ตฌ์ฒด์ ์ผ๋ก ํ์ธํ ์ ์์๋ค.
4.4 ๋ฐ์์๋์ ํญ๊ต์๋์ง, ํญ๋ฐ๊ฑฐ๋์ ๋ฏธ์น๋ ์ํฅ
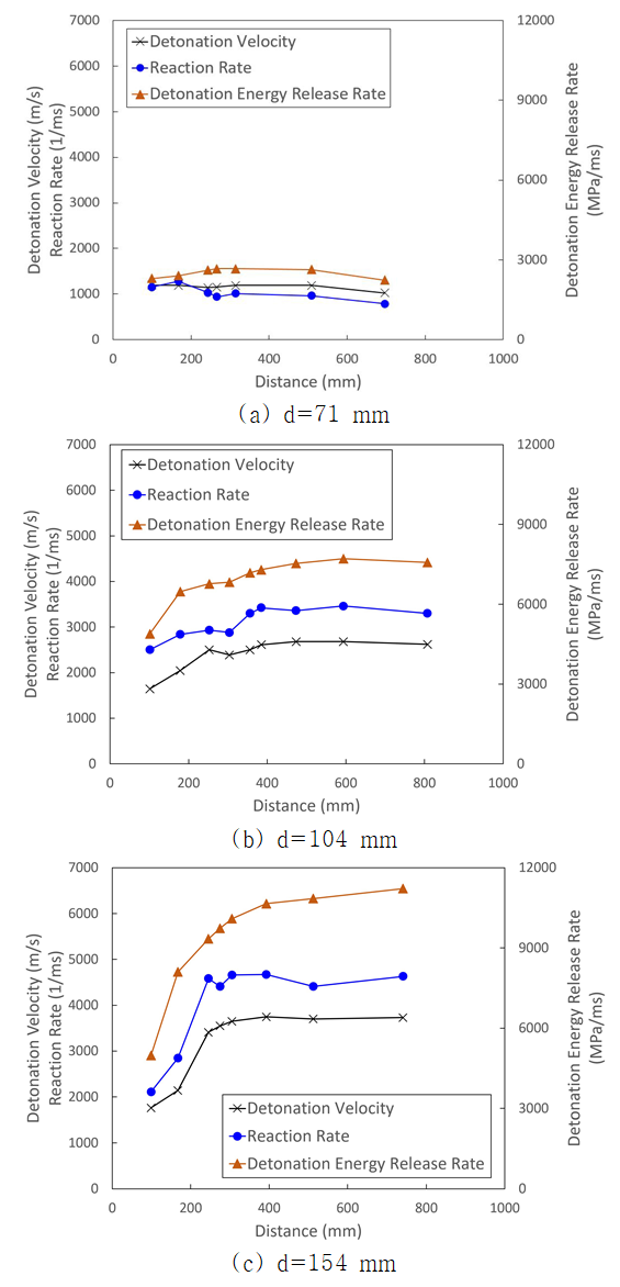
Fig. 11์ ๊ฐ ์ง๊ฒฝ์ ์ค๋ฆฐ๋์ ๋ํด ๋ฐ์์๋์ ๋ถํฌ๋ฅผ ๋ํ๋ธ ๊ฒ์ด๋ค. x ์ขํ๋ ์์ ์ฒด์ ๋ณํ๋ฅ ๋ฐ ํญ์์ ๊ฒํ ๋ฅผ ์ํด ์ ์ ๋ ์์น๋ฅผ ์ฐธ๊ณ ํ์ฌ ์ ํ๋ค. ๋ฏธ๋ฐ์
ํญ์ฝ์์ ๋ถ์ฐ๋ฌผ๋ก ์ ํ๋๋ ๋์์ ๋ฐ์์๋๋ ๊ณ์ ๋ณํ๋๋ฐ, ๊ทธ๋ํ์ ๋ํ๋ธ ๊ฒ์ ๊ทธ ์ค ์ต๋๊ฐ์ด๋ค. ์ง๊ฒฝ 154 mm ์ค๋ฆฐ๋์ ๊ฒฝ์ฐ ์ด๊ธฐ ์ฝ 2,000
ms-1 ์ ๋์๋ค๊ฐ ์ ์ฐจ ์ฆ๊ฐํ์ฌ 4,000 ์ค๋ฐ ์ ๋์ ๋ฐ์์๋๋ฅผ ๋ณด์ด๊ณ ์๋ค. ๋ํ, ์ง๊ฒฝ 71 mm ๋ฐ 104 mm ์ค๋ฆฐ๋์ ๊ฒฝ์ฐ๋ 1,000 ms-1 ๋ฐ 3,000 ms-1 ๋ด์ธ ์์ค์ผ๋ก ๋ํ๋ฌ๋ค. ํญ์์ด ์ง๊ฒฝ ํฌ๊ธฐ์ ๋ฐ๋ผ ์ฆ๊ฐํ ๊ฒ์ผ๋ก ๋ํ๋ฌ๋๋ฐ, ๋ฐ์์๋ ๋ํ ๊ฐ์ ๊ฒฝํฅ์ ๋ํ๋๋ค.
ํํธ, Fig. 11์๋ ํญ์ ๋ฐ ํญ๊ต์ด ์ผ์ด๋ ๋ ๋ฐฉ์ถ๋๋ ์๋์ง์ ์ฆ๊ฐ์จ์ ๊ฐ์ด ๋ํ๋๋ค. ํญ์ฝ์ ์ด๊ธฐ ์ํ ๋ด๋ถ์๋์ง(internal energy)์ ๊ณ ๋ ค ์์ ์
๋ด๋ถ์๋์ง์ ์ฐจ์ด๋ก๋ถํฐ ์ป์ ์ ์๋ ์๋์ง๊ฐ ํญ๊ต์๋์ง์ธ๋ฐ(ํญ๊ต ๊ณผ์ ์์ ๋ฐฉ์ถ๋์ด ํญ์์ ์ฆ๊ฐ์ ๊ธฐ์ฌํ๋ ์๋์ง), ๊ทธ ์ฆ๊ฐ์๋๊ฐ ํญ๊ต์๋์ง ์ฆ๊ฐ์จ
๋๋ ํญ๊ต์๋์ง ๋ฐฉ์ถ์จ(detonation energy release rate)์ด๋ค. ์ง๊ฒฝ๋ณ ์๋์ง ์ฆ๊ฐ์จ(๋ฐฉ์ถ์จ)์ ๋น๊ตํด ๋ณด๋ฉด ๊ทธ ์ถ์ธ๋ ๋ฐ์์๋์
๊ฒฝ์ฐ์ ์ ์ฌํ๋ฉฐ, ์ด์ ๊ฐ์ ๋น๋ก๊ด๊ณ๋ ๊ด๋ จ ์ฐ๊ตฌ(Minchinton 2015)์๋ ์ผ์นํ๋ค. ํญ์์ด ๋น๊ต์ ํฐ 154 mm ์ค๋ฆฐ๋์ ๊ฒฝ์ฐ ์ฆ๊ฐ์จ์ด ํญ์๊ณผ ์ ์ฌํ ์ถ์ธ๋ก ํฌ๊ฒ ์์นํ๋ ๊ฒ์ ๋นํด 71 mm ์ค๋ฆฐ๋์ ๊ฒฝ์ฐ๋ ๊ทธ๊ฒ์
์ฝ 25 % ๋ด์ธ ์์ค์์ ๋ ์ด์ ์ฆ๊ฐํ์ง ์์๋ค. ๋น์ด์์ ํญ๋ฐ์ ๊ฒฝ์ฐ ํญ๋ฐ ์์ฑ๋ฌผ์ ๋ฐ์ฐ์ผ๋ก ์ธํด ํญ๋ฐ์๋์ง๊ฐ ํญ๊ต๊ณผ์ ์ ๋ค ํ์ฉ๋์ง ๋ชปํ๊ณ
์์ค๋๋ ํน์ฑ์ด ๊ฐํ๋ฐ, ํญ์ฝ ์ง๊ฒฝ๋ณ๋ก ๊ทธ ์ ๋๊ฐ ๋ค๋ฅด๊ฒ ๋ํ๋๋ ๊ฒ์ด ์์ ํฌ๊ธฐํจ๊ณผ์ด๋ค. ์์์์ ๊ฐ์ ์ผ๋ จ์ ๋ถ์๊ณผ์ ์ ํตํด ๊ทธ์ ๊ฐ์ ํ์์
๊ตฌ์ฒด์ ์ผ๋ก ๋น๊ต ๊ฒํ ํ ์ ์์๋ค.
Fig. 11. Relationships between reaction rate, energy increase rate and detonation
velocity
4.5 ๊ฐ ์ํฅ์ธ์์ ๋ณํ ์ถ์ธ
์ค๋ฆฐ๋ ์ง๊ฒฝ ํฌ๊ธฐ์ ๋ฐ๋ฅธ ๊ฐ ์ธ์์ ๋ณํ ์ถ์ธ, ์ธ์๋ค ๊ฐ์ ์ฐ๊ด์ฑ์ ์ข ๋ ๋ช
ํํ ์์ฝ์ ์ผ๋ก ํํํ๊ณ ์ Fig. 12์ ๊ฐ์ ๊ทธ๋ํ๋ฅผ ์์ฑํ์๋ค. ์ฌ๊ธฐ์, ํญ์, ๋ฐ์์๋, ์๋์ง ์ฆ๊ฐ์จ, ํญ์ ๋ฑ์ ๋ํด ์๋ ฅํ๊ฐ ์ค๋ฆฐ๋ ๋ด์์ ์ ํ๋๋ ์ค์ ์ป์ ์ต๋๊ฐ์ ๋น๊ตํด
๋์๋ค. ๊ฐ๋ณ ๊ทธ๋ํ๋ ์ง๊ฒฝ 154 mm ์ค๋ฆฐ๋์ ๋ํด ์ป์ ๊ฐ์ ๊ธฐ์ค์ผ๋ก ์ ๊ทํ๋์๋ค. ์๋์์์ ๊ฐ์ ๊ธฐ์กด ์ฐ๊ตฌ์์ ๋ฐํ์ง ๋ฐ์ ๊ฐ์ด ๊ฐ ์ธ์๊ฐ
์๋ก ๋น๋กํ๊ณ ์๋ ๊ฒ์ ๋ณผ ์ ์๋ค. ์์์์ ๊ฐ์ ์ผ๋ จ์ ๋ถ์๊ณผ์ ์ ํตํด ๊ทธ์ ๊ฐ์ ์ํธ๊ด๊ณ๋ฅผ ๊ตฌ์ฒด์ ์ผ๋ก ํ์ธํ ์ ์์๋ค.
ํนํ, ์ด ์ฐ๊ตฌ์์๋ ๊ตฌ์ ์์ค(confinement level)์ ์ค๋ฆฐ๋ ์ด์
(์ ํญ์ฝ ์์น)์ผ๋ก๋ถํฐ ํฌ๋ฐํ์ ์ํด ๋ฌผ์ง์ด ํฝ์ฐฝ, ๊ทธ๋ก ์ธํด ํญ์์ด
ํ๋ฝ ์๋ ดํ๊ฒ ๋๋ ์์น๊น์ง์ ๊ฑฐ๋ฆฌ์ ๊ฐ์ด ๊ฐ์ ์ ์ธ ๋ฐฉ์์ผ๋ก ํํํ์๋ค(4.3์ ์ฐธ์กฐ), ๊ทธ ๊ฑฐ๋ฆฌ๊ฐ ๊ธธ์๋ก ์๋ ฅํ ์ ๋จ ํ์ธก์ ์๋ ฅ์ด ๋ ๋์ ์์ค์ผ๋ก
์ ์ง๋์ด ์๋ ฅ ์ฑ์ฅ์ ๋ ์ ๋ฆฌํ ์กฐ๊ฑด์ด ํ์ฑ๋จ์ ์ ์ ์์๋ค. Fig. 12์ ์ํ๋ฉด, ๊ตฌ์ ์์ค์ด ๋์์๋ก ๊ธฐํ ๋ค๋ฅธ ์ธ์์ ๊ฐ๋ค๋ ๋น๋กํ์ฌ ํฐ ๊ฒ์ ๋ณผ ์ ์์ผ๋ฉฐ, ์ด๋ ๋ฌธํ์กฐ์ฌ์์ ๊ฒํ ๋ ๊ด๋ จ ์ฐ๊ตฌ๋ค๊ณผ๋ ์ผ์นํ๋ ๊ฒฐ๊ณผ์ด๋ค.
๊ตฌ์ ์์ค์ ํ๋ณ์ ํด๋น ํญ์ฝ์ ๊ฑฐ๋์ด๋ ์๋์ ์ฑ๋ฅ์ด ์ด๋ ํ ์กฐ๊ฑด์์ ์ ๋๋์๋์ง ๊ทธ ์์ธ์ ๋ถ์ํจ์ ์์ด ํ๋์ ๋น๊ต ์งํ๋ก์ ์ฌ์ฉ๋ ์ ์๋ค๋
๊ฒ์ ๊ทธ ์๋ฏธ๊ฐ ์๋ค.
Fig. 12. Changes in each parameter value according to the radius size
5. ๊ฒฐ ๋ก
์ด ์ฐ๊ตฌ์์๋ ๋น์ด์์ ํญ๋ฐ์ ๊ฒฝ์ฐ์ ํน์ง์ ์ผ๋ก ๋ํ๋๋ ํญ๋ฐ๊ฑฐ๋์ ์ญํ์ ๊ด์ ์์ ์ดํดํ๊ณ , ํญ๋ฐ๊ฑฐ๋๊ณผ ๊ด๋ จ๋ ์ฃผ์ ์ํฅ์ธ์ ๊ฐ์ ์ํธ๊ด๊ณ๋ฅผ ์ข
๋ ๊ตฌ์ฒด์ ์ผ๋ก ํ์ธํด ๋ณด์๋ค. ๋ํ, ๊ทธ๋ฌํ ์ํฅ์ธ์์ ๋ถ์๊ณผ์ ์ ํตํด ๋ค๋ฅธ ํญ๋ฐ์กฐ๊ฑด์ ๊ฐ๋ ํญ๋ฐ์ ํด์์๋ ์ ์ฌํ๊ฒ ์ ์ฉํ ์ ์๋ ์ผ๋ จ์ ๋ถ์๋ฐฉ์(๋ถ์๊ณผ์ )์
์ป์ ์ ์์๋ค. ์ด์ ๊ฐ์ ์์นํด์์ ์ฐ๊ตฌ๋ ์ถํ ํญ๋ฐํ์ค์ ์ ์ ํ ๋ชจ๋ธ๋ง ํจ์ผ๋ก์จ ๊ตฌ์กฐ์ฒด์ ์๋ต ๋ฐ ๋ฐฉํญ์ฑ๋ฅ์ ์ค์ ์ ๋ ๊ฐ๊น๊ฒ ์์ธกํ๋ ๊ฒ์
๊ทธ ๊ถ๊ทน์ ์ธ ๋ชฉ์ ์ด ์๋ค. ํฅํ ์ฌ๊ธฐ์ ๊ฒํ ๋์ง ๋ชปํ ๋ ๋ง์ ํญ๋ฐ์กฐ๊ฑด์ ๋ํด์๋ ๋์ผํ ๋ถ์๊ณผ์ ์ ์ํด ๊ฒํ ํ๊ณ ๋ฐ์ดํฐํ ํ๋ ๊ณผ์ ์ด ํ์ํ๋ฉฐ,
์ด๋ฅผ ํตํด ๋จ์ํ ํน์ ์กฐ๊ฑด์ ๋ํ ์คํ๊ฒฐ๊ณผ๋ฅผ ๋ชจ์ฌํ๋ ๊ฒ๋ฟ๋ง ์๋๋ผ ๋ค์ํ ํญ๋ฐ์กฐ๊ฑด์ ๋ํด์๋ ๋ฏธ๋ฆฌ ๊ฒฐ๊ณผ๋ฅผ ์์ธกํ์ฌ ์คํ๊ณํ์ ์๋ฆฝํ๋ ๊ฒ ๋ํ
๊ฐ๋ฅํ ๊ฒ์ผ๋ก ๊ธฐ๋๋๋ค. ์ด๊ธฐ๋จ๊ณ ์ฐ๊ตฌ๋ก์ ์ด ์ฐ๊ตฌ์ ๋ฒ์ ๋ด์์ ์ป์ ๊ฒฐ๋ก ์ ๋ค์๊ณผ ๊ฐ๋ค.
์ฒซ์งธ, ์๋ ฅํ๊ฐ ์ ํํด ๊ฐ ๋ ์ฒด์ ๋ณํ๋ฅ (volumetric strain)์ ๋ถํฌ๊ฐ ์ด๋ป๊ฒ ๋ณํํ๋์ง๋ฅผ ๋ถ์ํด ๋ด์ผ๋ก์จ ์ค๋ฆฐ๋ ์ง๊ฒฝ๋ณ ๋ฐ์๋ฌผ์ง์ ํฝ์ฐฝ
์ ๋๋ฅผ ๋น๊ตํด ๋ณผ ์ ์์๊ณ , ํญ๋ฐ์๋ ฅ ์ฑ์ฅ๊ณผ์ ์ฐ๊ด์ฑ์ ์ ์ถํด ๋ณผ ์ ์์๋ค. ์ฒด์ ๋ณํ๋ฅ ์๋(volumetric strain rate) ๋ํ ๊ฒํ ํด
๋ณด์๋๋ฐ, ํฝ์ฐฝ์ ๊ฒฝ์ฐ์ ๋ํด์๋ ๋๋ ทํ ์ฐ๊ด์ฑ์ ์ ์ถํด ๋ด๊ธฐ๊ฐ ์ฉ์ดํ์ง ์์๋ค. ๊ทธ๋ฌ๋, ์์ถ์ ๋ํ ๋ณํ๋ฅ ์๋๋ ์ค๋ฆฐ๋ ์ง๊ฒฝ๋ณ ์ฐจ์ด๊ฐ ๋งค์ฐ ๋๋ ทํ
๊ฒ์ผ๋ก ๋ํ๋ฌ๋ค.
๋์งธ, ์ด ์ฐ๊ตฌ์์๋ ํญ๋ฐ๋ฌผ์ง์ ํฝ์ฐฝ์ ๋ํ ๊ตฌ์ ์์ค(confinement level)์ ์ค๋ฆฐ๋ ์ด์
(์ ํญ์ฝ ์์น)์ผ๋ก๋ถํฐ ํฌ๋ฐํ(rarefaction
wave)์ ์ํด ๋ฌผ์ง์ด ํฝ์ฐฝ, ๊ทธ๋ก ์ธํด ํญ๋ฐ์๋ ฅ์ด ํ๋ฝ ์๋ ดํ๊ฒ ๋๋ ์์น๊น์ง์ ๊ฑฐ๋ฆฌ์ ๊ฐ์ด ๊ฑฐ๋ฆฌ์ ๊ฐ๋
์ ๋น๋ ค ๊ฐ์ ์ ์ผ๋ก ํํํ์๋ค. ์ค๋ฆฐ๋
์ง๊ฒฝ๋ณ ์ฐจ์ด๋ฅผ ๋น๊ตํ ๊ฒฐ๊ณผ, ๊ทธ ๊ฑฐ๋ฆฌ๊ฐ ๊ธธ์๋ก ์๋ ฅํ ์ ๋จ ํ์ธก์ ์๋ ฅ์ด ๋ ๋์ ์์ค์ผ๋ก ์ ์ง๋์ด ์๋ ฅ ์ฑ์ฅ์ ๋ ์ ๋ฆฌํ ์กฐ๊ฑด์ด ํ์ฑ๋จ์ ์ ์
์์๋ค. ์ด์ ๊ฐ์ ์ ํ์ ์งํ๋ ์์ดํ ํญ๋ฐ์กฐ๊ฑด(ํญ์ฝ ์ข
๋ฅ, ์ง๊ฒฝ, ํญ์ฝ๋, ํญ์ฝ ํ์, ํญ์ฝ ์ผ์ด์ค์ ์ฌ๋ฃ๋ฌผ์ฑ ๋ฑ)์ผ๋ก ๊ฑฐ๋์ ์ฐจ์ด๊ฐ ๋ฐ์ํ ๊ฒฝ์ฐ,
๊ทธ๊ฒ์ด ๊ตฌ์ฒด์ ์ผ๋ก ์ด๋ ํ ์์ธ์ ์ํด ์ ๋๋์๋์ง, ํญ๋ฐ๊ฑฐ๋์ ์ด๋ ํ ์ํฅ์ ๋ฏธ์น๋์ง ๋ฑ์ ๋ํด ๊ฐ๋จํ ์์น ๋น๊ต๋ก ๊ฐ์ํํ์ฌ ๊ฒํ ํ๋๋ฐ ์ฌ์ฉ๋ ์
์์ ๊ฒ์ผ๋ก ๊ธฐ๋๋๋ค. ๋ฐ์ดํฐ ๊ตฌ์ถ ๋ฐ ์ผ๋ฐํ๋ฅผ ์ํด์๋ ํฅํ ๋ ์ฐ๊ตฌ๊ฐ ํ์ํ๋ค.
์
์งธ, ๋ฐ์์๋ ๋ถํฌ๋ฅผ ํญ์ฝ ์ง๊ฒฝ๋ณ๋ก ๋น๊ตํด ๋ณด๊ณ , ํญ๊ต์๋์ง ์ฆ๊ฐ์จ(๋ฐฉ์ถ์จ) ๋ฐ ํญ๊ต์๋์์ ์๊ด์ฑ์ ํ์ธํ์๋ค. ์ด๋ก๋ถํฐ ํญ๋ฐ ์์ฑ๋ฌผ์ ๋ฐ์ฐ์ด
์๋์ง ์์ค๋ก ์ด์ด์ง๋ ์ ๋๊ฐ ํญ์ฝ ์ง๊ฒฝ๋ณ๋ก ๋ฌ๋ผ ํญ๊ต์๋ ๋ฐ ํญ๋ฐ์๋ ฅ์ ์ฐจ์ด๊ฐ ๋ฐ์ํ๋ค๋ ์ด๋ฅธ๋ฐ ํฌ๊ธฐํจ๊ณผ(size effect)๋ฅผ ์์น์ ์ผ๋ก ๋น๊ต
๋ถ์ํ ์ ์์๋ค. ํญ๋ฐ์๋ ฅ์ ์ฃผ์ ํ์ค์ผ๋ก ๋ฐ๊ฒ ๋๋ ๋ฐฉํญ ๊ตฌ์กฐ์ฒด์ ์๋ต์ ์ค์ ์ ๋ ๊ฐ๊น๊ฒ ์์ธกํ๊ธฐ ์ํด์๋ ํด์์ ์ฌ์ฉ๋ ๋ชจ๋ธ์ด ํฌ๊ธฐํจ๊ณผ๋ฅผ ์ ์ ํ
๋ฐ์ํ๊ณ ์๋์ง ํ์ธ์ด ํ์ํ๋ค. ๋ฐ์์๋, ํญ๊ต์๋์ง ์ฆ๊ฐ์จ, ํญ๊ต์๋ ๋ฑ๊ณผ ๊ฐ์ ๊ฐ๋ณ ์ธ์ ๋ฐ ์ํธ๊ด๊ณ์ ๋ํ ๋ถ์์ด ๊ทธ์ ๊ฐ์ ํ์ธ ๊ณผ์ ์ ์ํ
ํ๋์ ๋ฐฉ๋ฒ์ผ๋ก ์ฌ์ฉ๋ ์ ์๋ค๊ณ ์ฌ๋ฃ๋๋ค.
๊ฐ์ฌ์ ๊ธ
์ด ๋
ผ๋ฌธ์ ํ๊ตญ๊ฑด์ค๊ธฐ์ ์ฐ๊ตฌ์ ์ฃผ์์ฌ์
(์์๋์ ๊ธฐ๋ฐ์์ค์ ์์ ๋ฐ ์์ฉ์ฑ ํ๋ณด๊ธฐ์ ๊ฐ๋ฐ(4/5, 20250242-001))์ ์ฐ๊ตฌ๋น ์ง์์ ์ํด ์ํ๋์์ต๋๋ค.
References
Abedini M., Zhang C., Mehrmashhadi J., Akhlaghi E., 2020, Comparison of ALE, LBE and
Pressure Time History Methods to Evaluate Extreme Loading Effects in RC Column, Structures,
Vol. 28, pp. 456-466

Bohanek V., Tumara B. S., Serene C. H. Y., Suฤeska M., 2023, Shock Initiation and
Propagation of Detonation in ANFO, Energies, Vol. 16, No. 4, pp. 1744

Choi J. H., Choi S. J., Lee T. H., Kim J. H., 2019, Experimental Evaluation of Internal
Blast Resistance Behavior of Reinforced Concrete Tubular Structures under Internal
Blast Loading, Journal of the Korea Concrete Institute, Vol. 31, No. 4, pp. 319-330,
(In Korean)

Fan Y., Zhao Y., Yang G., Leng Z., Ding S., Wang L., Tian B., 2025, Non-Ideal Detonation
Performance of Engineering Explosive and Its Influence on Rock Fragmentation Under
Different Blasting Conditions, Rock Mechanics and Rock Engineering, Vol. 58, pp. 5003-5022

Fay S. D., 2020, Characterisation of Blast Loading for Shallow Buried Explosives,
University of Sheffield, Sheffield, UK, Ph.D. Thesis

Jayasinghe L. B., Zhou H. Y., Goh A. T. C., Zhao Z. Y., Gui Y. L., 2017, Pile Response
Subjected to Rock Blasting Induced Ground Vibration Near Soil-Rock Interface, Computers
and Geotechnics, Vol. 82, pp. 1-15

Johansson L., 2011, Numerical Study of Non-Ideal Explosive Detonation, Lulea University
of Technology, Masterโs Thesis

Jouguet E., 1905, On the Propagation of Chemical Reactions in Gases, Journal de Mathรฉmatiques
Pures et Appliquรฉes, Vol. 1, pp. 347-425

Kim Y. E., Lee K. H., Shin J. U., 2024, Proposing Improvements for Blast Resistance
Performance of Reinforced Concrete Columns Based on Strength and Ductility Analysis,
Journal of the Korea Concrete Institute, Vol. 36, No. 4, pp. 337-345, (In Korean)

Kittel D. E., Cummock N. R., Son S. F., 2016, Reactive Flow Modeling of Small Scale
Detonation Failure Experiments for a Baseline Non-Ideal Explosive, Journal of Applied
Physics, Vol. 120, No. 6, pp. 064901

Lee E. L., Tarver C. M., 1980, Phenomenological Model of Shock Initiation in Heterogeneous
Explosives, Physics of Fluids, Vol. 23, No. 12, pp. 2362-2372

Lee E. L., Horning H. C., Kury J. W., 1968, Adiabatic Expansion of High Explosives
Detonation Products, Lawrence Livermore National Laboratory, Livermore, CA, USA, No.
UCRL 50422

2020, LS-DYNA: Userโs ManualsLSTC, , Livermore Software Technology Corporation (LSTC),
Livermore, US

Minchinton A., 2015, On the Influence of Fundamental Detonics on Blasting Practice,
In 11th International Symposium on Rock Fragmentation by Blasting, pp. 41-54, The
Australasian Institute of Mining and Metallurgy (AusIMM), Carlton, Australia

Price M. A., Ghee A. H., 2009, Modeling for Detonation and Energy Release from Peroxides
and Non-Ideal Improvised Explosives, Central European Journal of Energetic Materials,
Vol. 6, No. 3-4, pp. 239-254

Rigby S. E., Knighton R., Clarke S. D., Tyas A., 2020, Reflected Near-Field Blast
Pressure Measurements Using High Speed Video, Experimental Mechanics, Vol. 60, pp.
875-888

Sanchidrian J. A., Castedo R., Lopez L. M., Segarra P., Santos A. P., 2015, Determination
of the JWL Constants for ANFO and Emulsion Explosives from Cylinder Test Data, Central
European Journal of Energetic Materials, Vol. 12, No. 2, pp. 177-194

Shin H. S., Kim S. W., Moon J. H., Park G. K., 2024, Numerical Analysis of Blast Behavior
for Non-Ideal Explosive ANFO in Shock-Tube Test, International Journal of Concrete
Structures and Materials, Vol. 18, No. 4, pp. 741-757

Stimac B., Skrlec V., Dobrilovic M., Suceska M., 2021, Numerical Modelling of Non-Ideal
Detonation in ANFO Explosives Applying Wood-Kirkwood Theory Coupled with EXPLO5 Thermochemical
Code, Defence Technology, Vol. 17, No. 5, pp. 1740-1752

Tham C. Y., 2009, Numerical Simulation on The Interaction of Blast Waves with a Series
of Aluminum Cylinders at Near-Field, International Journal of Impact Engineering,
Vol. 36, No. 1, pp. 122-131

Yi C., Nyberg U., Johansson D., 2018, Calibration and Validation of Reactive Flow
Model Parameters for an Emulsion Explosive, In 12th International Symposium on Rock
Fragmentation by Blasting, pp. 459-466, The Australasian Institute of Mining and Metallurgy
(AusIMM), Carlton, Australia

Yi C., Nyberg U., Johansson D., Schunnesson H., 2020, Ignition and Growth Reactive
Flow Model for Aluminized Emulsion Explosive, In 46th Annual Conference on Explosives
and Blasting Technique, pp. 1-10, International Society of Explosives Engineers (ISEE),
Lexington, US

Zeldovich Y. B., 1940, On the Theory of the Propagation of Detonation in Gaseous Systems,
Journal of Experimental and Theoretical Physics (JETP), Vol. 10, No. 5, pp. 542-568

Zhang Z. X., 2016, Rock Fracture and Blasting โ Theory and Applications, pp. 39-66,
Elsevier, Amsterdam, Netherlands, Part I, Stress Waves and Shock Waves
