박건하
(Geon-Ha Park)
1
오지섭
(Ji-Seob Oh)
1
우진석
(Jin-Seok Woo)
2
윤현도
(Hyun-Do Yun)
3*iD
김선우
(Sun-Woo Kim)
4iD
박완신
(Wan-Shin Park)
4iD
-
충남대학교 건축공학과 학부과정
(Bachelor Course, Department of Architectural Engineering, Chungnam National University,
Daejeon 34134, Republic of Korea)
-
충남대학교 건축공학과 석사과정
(Master Course, Department of Architectural Engineering, Chungnam National University,
Daejeon 34134, Republic of Korea)
-
충남대학교 건축공학과 교수
(Professor, Department of Architectural Engineering, Chungnam National University,
Daejeon 34134, Republic of Korea)
-
충남대학교 건설공학교육과 교수
(Professor, Department of Construction Engineering Education, Chungnam National University
Daejeon, 34134, Republic of Korea)
Copyright © Korea Concrete Institute(KCI)
키워드
CFRP 그리드, 콘크리트 슬래브, 1방향 슬래브, 균열, 휨 거동
Keywords
CFRP grid, concrete slab, one-way slab, crack, flexural behavior
1. 서 론
철근 콘크리트(reinforced concrete, RC) 구조는 우수한 시공성, 경제성, 내구성 등의 장점으로 인해 오랜 기간 건축 및 토목 구조물
주요 부재의 구성 재료로 활용되어 왔다. 그러나 시간의 경과에 따라 환경적 및 구조적 요인으로 인해 콘크리트 내부의 알칼리성이 감소하면서 중성화가
진행되고 이로 인해 콘크리트 내부의 보강 철근이 부식된다. 철근 부식은 RC 부재의 구조적 안전성, 사용성 및 심미성을 저해한다(Yun et al. 2022). 이는 RC 구조물의 장기적인 사용에 있어서 치명적인 장애 요소로 작용하며 성능 유지를 위한 관리 비용의 상승 등 경제성 측면에서도 부정적인 영향을
미친다(Stefanoni et al. 2018).
최근 기후변화로 인한 환경 위기가 심화되며 탄소 배출 저감의 중요성에 대한 사회적 인식이 전 세계적으로 확산되고 있다. 이에 따라 한국은 파리협정에
따라 2050년까지 탄소중립 실현을 목표로 설정하였으며 국가 온실가스 감축 목표를 통해 2030년까지 2018년 대비 온실가스 배출량 40 % 감축
계획을 수립하였다(Lee et al. 2024). 한편, 건설 산업은 전 세계 에너지 소비의 약 36 %, 이산화탄소 배출의 약 39 %를 차지한다고 보고되었으며(Chen et al. 2023) 전 산업 분야 중에서도 높은 탄소 배출 비중을 나타내고 있어 탈탄소화가 중요한 과제로 부상하고 있다. 이에 따라 철근 생산 공정 개선, 부식 억제제
및 에폭시 코팅 적용 등 다양한 연구가 진행되고 있으나(Tang et al. 2016) 이러한 접근은 대부분 공정 단위 탄소 저감이나 부분적인 열화 지연에 국한된다는 한계가 있다.
FRP(fiber-reinforced polymer)는 내부 보강 섬유 종류에 따라 AFRP(aramid), CFRP(carbon), GFRP(glass),
BFRP(basalt) 등으로 분류되며 이 중 CFRP는 가장 우수한 기계적 성능을 보인다. CFRP는 높은 인장 강도와 피로 저항성을 가지며 경량이면서도
내식성 및 수분 흡수 저항성이 뛰어나다. 또한 약 150 GPa 이상의 탄성계수 발현 및 철근과 유사한 강성 확보가 가능해 철근의 대체 보강재로 평가되고
있다(Kim and Park 2023).
현재 ACI 440.11-22(ACI 2022), CSA S807-12(CSA 2012) 등 FRP 보강 콘크리트 구조 설계 기준이 마련되어 있으며 이를 기반으로 다양한 구조 부재에 CFRP를 적용하기 위한 연구가 활발히 이루어지고 있다.
이 중 그리드(grid) 형태의 CFRP 보강재는 배근 작업을 간소화할 수 있어 슬래브 및 벽체와 같은 평판형 부재에 적용이 유리하며 운반이 용이해
시공성과 경제성 측면에서도 이점이 있다. 특히 판(plate)형 스트랜드(strand)로 구성된 그리드는 바(bar)형 보강재에 비해 얇고 유연성이
우수하여 곡선형의 프리 폼(free form) 부재에도 적합하며 설계 시 형상 제약이 적다는 장점이 있다.
그러나 현재까지 FRP 그리드는 대부분 기존 구조물의 손상 보수 및 보강 목적에 집중되어 있으며 내부 보강재로서의 적용 가능성에 관한 연구는 최근에
시작되었다. 특히 판형 CFRP 그리드를 내부 보강재로 적용한 콘크리트 슬래브의 보강 성능 평가에 관한 연구는 제한적으로 이루어지고 있다. Matthys
and Taerwe(2000)는 철근 보강 슬래브와 유사한 휨 강성을 갖는 CFRP 그리드 보강 슬래브의 성능을 평가하였으며 고강도 FRP를 사용 시 초기 강성은 우수하나 연성이
낮다는 점을 지적하였다. 또한 균열 제어를 위해 간격이 작은 그리드 또는 계면 부착 성능이 우수한 재료 사용이 효과적이며 취성 파괴 특성을 갖는 FRP
보강 슬래브에서는 콘크리트의 응력-변형 거동 파악이 중요하다고 제시하였다. Zhang et al.(2004)은 횡 방향 스트랜드가 종 방향 스트랜드의 정착을 보조하여 부착 성능을 향상시키며 이를 통해 균열 제어가 가능하다고 보고하였다. 또한 낮은 보강비의
FRP 보강 슬래브는 처짐과 균열 폭이 크지만 파괴 전에 충분한 경고 거동을 제공할 수 있다는 결론을 제시하였다. Al-Sunna et al.(2012)는 기존 예측 모델이 전반적인 변형을 과소평가하는 경향이 있으며 전단 균열, 수축, 부착력 등을 고려해야 휨 거동을 정확히 예측할 수 있다고 지적하였다.
특히 고 보강비 및 얇은 슬래브에서는 균열 모멘트 및 피복 두께의 정밀한 산정이 성능 평가 시 중요한 요소임을 강조하였다.
현재까지 다양한 형상 및 규격의 CFRP 그리드가 실험에 적용되어 왔으나 고가의 소재 특성으로 인해 경제성 확보에 어려움이 있다. 이에 따라 형상
및 규격의 표준화와 함께 구조적 성능 확보를 위한 최적 형상에 대한 실험적 검증이 필요하다. 이 연구에서는 판형 CFRP 스트랜드로 구성된 그리드를
슬래브의 내부 보강재로 적용하여 효과적인 보강 조건을 도출하고 철근 대체 가능성을 평가하고자 한다. 이를 위해 1방향 RC 슬래브를 대상으로 4점
휨 하중 실험을 수행하였으며 CFRP 스트랜드의 폭, 두께, 그리드의 겹 수를 변수로 설정하여 휨 성능을 비교 및 분석하였다. 또한 철근 콘크리트
슬래브와의 성능 비교를 통해 CFRP 그리드의 구조 적용 가능성을 평가하고자 하였다.
2. CFRP 그리드 보강 1방향 슬래브의 휨 실험
2.1 사용 재료
2.1.1 콘크리트
실험에 사용된 콘크리트는 Table 1에 제시된 바와 같이 KS F 4009(KATS 2022)의 레디 믹스드 보통 콘크리트 기준에 따라 배합되었으며 최대 골재 치수는 20 mm, 설계 기준 강도는 30 MPa, 슬럼프는 180 mm로 설정하였다.
슬래브 제작과 함께 지름 150 mm, 높이 300 mm의 원주형 공시체 3개를 제작하여 28일간 기건 양생한 후 KS F 2405에 따라 압축강도
시험을 수행하였다. 그 결과, 공시체의 평균 압축강도는 38.7 MPa로 나타났다.
Table 1. Mix proportions of concrete for slab specimens
|
W/C
(%)
|
S/a
(%)
|
Unit weight (kg/m3)
|
AE
|
|
W
|
C
|
FA
|
SC
|
S1
|
S2
|
G
|
|
0.44
|
0.51
|
179
|
285
|
61
|
61
|
518
|
345
|
829
|
3.26
|
2.1.2 CFRP 그리드 및 철근
Fig. 1(a)은 본 연구에 콘크리트 슬래브의 내부 보강재로 사용된 CFRP 그리드를 나타내며 해당 그리드는 제조 장비, 운반, 시공성을 고려하여 폭 1,500
mm, 길이 3,000 mm의 단위로 제작되었다. 스트랜드는 부착 면적 확보를 위해 폭 10 mm 또는 20 mm, 두께 1 mm 또는 2 mm로
구성하였으며 스트랜드 간격을 100 mm로 설정하여 콘크리트 내 굵은 골재의 이동이 원활하게 하였다. 그리드를 구성하는 스트랜드는 ISO 527-5(ISO 2009)에 따라 직사각형 시편으로 가공 후 ASTM C3039(2017)에 따라 인장시험을 수행하였다. 그 결과, 인장 강도는 2,837 MPa, 탄성계수는 150 GPa로 측정되었다.
Fig. 1(b)은 철근 보강 슬래브에 사용된 철근을 나타내며 호칭 D6 이형철근은 공칭 지름 6.35 mm의 SD400급 일반용 이형봉강으로 항복강도 및 탄성계수는
각각 375 MPa 및 200 GPa이다. D10은 공칭 지름 9.53 mm이며 SD400급의 동일한 물성을 지닌 이형봉강이 사용되었다. 두 철근은
서로 다른 보강비의 CFRP 그리드 보강 슬래브와의 성능 비교를 위해 사용되었다.
Fig. 1. Reinforcement: (a) carbon fiber reinforced–polymer (CFRP) grid, (b) steel
rebar
2.2 실험 계획
CFRP 그리드의 콘크리트 인장 보강재로서의 성능을 평가하기 위해 CFRP로 보강된 1방향 슬래브 6개를 제작하였으며 철근 보강 슬래브와의 휨 성능
비교를 통하여 CFRP 그리드의 철근 대체 가능성을 평가하기 위해 철근 보강 슬래브 2개를 추가로 제작하였다. 각 슬래브의 치수 및 배근 상세는 Fig. 2 및 Table 2에 제시하였다.
Fig. 2. Configuration and dimensions of specimens (unit: mm): (a) carbon fiber reinforced–polymer
(CFRP) grid–reinforced slab, (b) reinforced concrete (RC) slab
실험 변수는 CFRP 스트랜드의 폭, 두께, 그리드의 보강 겹 수로 설정하였다. 인장철근비 0.25 %의 철근 보강 슬래브(RC-1 실험체)는 보강비
0.20 %의 CFRP 그리드 보강 슬래브, 인장철근비 0.50 %의 철근 보강 슬래브(RC-2 실험체)는 보강비 0.40 %의 CFRP 그리드 보강
슬래브와 각각 비교하였다. Table 2에서 CFRP 그리드 보강 슬래브는 C(폭)-(두께)-(겹 수) 형식으로 명명하였다.
Table 2. Details of concrete slab specimens
|
Specimen
|
Slab dimensions
|
Reinforcement details
|
Reinforcement
ratio,
ρ (%)
|
|
Length
(mm)
|
Width
(mm)
|
Thickness
(mm)
|
Cover thickness
(mm)
|
Width
(mm)
|
Thickness
(mm)
|
Overlap
(ea)
|
Spacing
(mm)
|
|
RC-1
|
3,000
|
1,000
|
120
|
20
|
D6@125
|
0.25
|
|
C10-1-2
|
20
|
10
|
1
|
2
|
100
|
0.20
|
|
C10-2-1
|
20
|
10
|
2
|
1
|
100
|
0.20
|
|
C20-1-1
|
20
|
20
|
1
|
1
|
100
|
0.20
|
|
RC-2
|
20
|
D10@150
|
0.50
|
|
C10-2-2
|
20
|
10
|
2
|
2
|
100
|
0.40
|
|
C20-1-2
|
20
|
20
|
1
|
2
|
100
|
0.40
|
|
C20-2-1
|
20
|
20
|
2
|
1
|
100
|
0.40
|
Fig. 3은 CFRP 그리드 보강 콘크리트 슬래브 제작 과정을 나타낸다. CFRP 그리드 보강 슬래브는 거푸집에 스페이서를 설치한 후 CFRP 그리드를 배치하고
피복 두께까지 1차 콘크리트를 타설하였다. 이후 전체 높이까지 콘크리트를 추가 타설하면서 중간에 진동 다짐을 하였다. 모든 시험체는 타설 3일 후
거푸집을 제거하였고 이후 실험 전까지 재령 28일 이상 외기에서 양생하였다.
Fig. 3. Manufacturing procedure of the concrete slab reinforced with a carbon fiber
reinforced–polymer (CFRP) grid
2.3 실험 및 측정 방법
슬래브의 휨 실험은 Fig. 4와 같이 1,000 kN 용량의 유압 액추에이터를 이용한 4점 재하 방식으로 수행되었으며 슬래브 중앙부에 대해 3 mm/min의 속도로 가력하였다.
슬래브에 도입된 하중은 액추에이터에 내장된 로드셀로 측정하였으며 슬래브 중앙부 처짐 및 슬래브 표면 인장 변형률 계측을 위한 변위계(LVDT)와 파이
게이지(PI gauge)를 Fig. 4와 같이 설치하였다. 변위계는 순수 휨 구간의 처짐을 측정하기 위해 슬래브 중앙부와 중앙부로부터 양측으로 200 mm 이격된 2개 지점 총 3개소에
배치하였다. 파이 게이지는 슬래브의 중앙 하부 및 상부에 각각 1개씩 총 2개소에 설치하였다. 또한, 슬래브 내부 보강재의 변형률 측정을 위해 CFRP
그리드와 철근에 변형 게이지(Strain gauge)를 부착하였으며 부착 위치는 Fig. 2에 나타내었다. CFRP 그리드 보강 슬래브는 축 방향 스트랜드 중앙부 3개소, 철근 보강 슬래브는 축 방향 철근 중앙부 3개소에 변형 게이지를 부착하였다.
모든 계측 장비로 측정된 하중, 처짐, 변형률 등은 데이터 수집 시스템(TDS data logger)을 통해 실험 종료 시점까지 연속적으로 수집되었다.
Fig. 4. Bending test setup (unit: mm)
3. 실험 결과 및 분석
3.1 균열 양상
Fig. 5와 Table 3은 각 슬래브의 최종 파괴 시 슬래브 측면의 균열 양상, 주요 균열 개수, 평균 균열 간격 및 깊이를 나타낸 것이다. 균열 관측은 균열 발생 시점,
항복 하중 도달 시점 그리고 처짐이 50 mm, 70 mm, 100 mm에 도달한 시점에서 실시하였다. 모든 CFRP 그리드 보강 슬래브는 휨 구간
내의 압축 측 콘크리트의 압괴로 인한 취성 파괴가 발생하였으며 철근 보강 슬래브는 철근의 항복 이후 소성 거동을 보이며 파괴되었다. 모든 슬래브에서
초기 균열은 순수 휨 구간 내 유사한 위치에서 발생하였고 이후 해당 부위 주변으로 주 균열이 추가로 형성되며 균열 폭과 깊이가 증가하는 경향을 보였다.
Table 3. Cracking behaviors of concrete slab specimens
|
Specimen
|
Number of crack
|
Average crack space (mm)
|
Average crack depth (mm)
|
|
RC-1
|
3
|
143.76
|
99.05
|
|
C10-1-2
|
4
|
96.85
|
101.48
|
|
C10-2-1
|
4
|
94.96
|
104.86
|
|
C20-1-1
|
4
|
89.47
|
105.74
|
|
RC-2
|
5
|
83.94
|
110.22
|
|
C10-2-2
|
4
|
101.60
|
93.54
|
|
C20-1-2
|
5
|
70.74
|
80.71
|
|
C20-2-1
|
5
|
84.95
|
85.00
|
RC-1의 경우 총 3개의 균열이 발생하였고 평균 간격은 143.76 mm로 CFRP 그리드 보강 슬래브에 비하여 약 48~60 % 넓게 나타났다.
평균 균열 깊이는 99.05 mm로 CFRP 그리드 보강 슬래브보다 다소 작았으나 유의미한 차이는 확인되지 않았다. 이는 RC-1의 낮은 인장철근비로
인하여 철근이 조기에 항복하여 소성 처짐량이 감소하였기 때문으로 판단된다. 보강비 0.20 %의 CFRP 그리드 보강 슬래브는 모두 4개의 균열이
발생하였고 유사한 간격과 깊이가 관측되었다. 특히 C20-1-1은 가장 짧은 균열 간격을 보여 동일 보강비 내 다른 비교 대상 슬래브에 비하여 우수한
응력 재분배 특성을 보였다.
RC-2는 총 5개의 균열과 평균 간격 83.94 mm로 CFRP그리드 보강 슬래브와 유사한 분포 특성을 보였으나 평균 균열 깊이는 110.22 mm로
가장 크게 측정되었다. 이는 철근 항복 이후 소성 변형 구간에서 국부적 응력 집중이 발생한 결과로 해석된다. 한편, 보강비 0.40 %의 CFRP
그리드 보강 슬래브는 CFRP 스트랜드 형상에 따라 균열 양상이 상이하게 나타났다. C20-1-2는 가장 짧은 균열 간격과 얕은 깊이를 보여 가장
균일한 응력 재분배 특성을 보인 반면 C10-2-2는 중앙부에서의 응력 집중 현상으로 인하여 균열 간격과 깊이가 크게 나타났다.
Fig. 5. Crack propagation depth in concrete slabs (a) RC-1, (b) C10-1-2, (c) C10-2-1,
(d) C20-1-1, (e) RC-2, (f) C10-2-2, (g) C20-1-2, (h) C20-2-1
철근 보강 슬래브의 경우 인장철근비의 증가에 따라 균열 개수와 깊이는 증가하고 간격은 감소하는 경향을 나타냈다. 이는 인장철근비가 0.25 %에서
0.50 %로 증가함에 따라 항복 이후 소성 변형능력이 향상된 결과로 해석된다. 반면 CFRP 그리드 보강 슬래브에서는 보강비 증가에 따라 균열 개수는
증가하였으나 균열 깊이는 오히려 감소하였다. 이는 보강량의 증가에 따라 응력 재분배가 더 균일하게 이루어져 균열이 폭넓게 확산된 것으로 분석된다.
위와 같은 결과로 볼 때 슬래브 내 응력 재분배에 따른 균열 제어 측면에서는 보강비와 관계없이 폭 20 mm, 두께 1 mm인 CFRP 스트랜드로
구성된 그리드 1겹 및 2겹을 적용하는 것이 가장 유효한 것으로 판단된다.
3.2 CFRP 그리드 보강 1방향 슬래브
3.2.1 하중-변위 관계
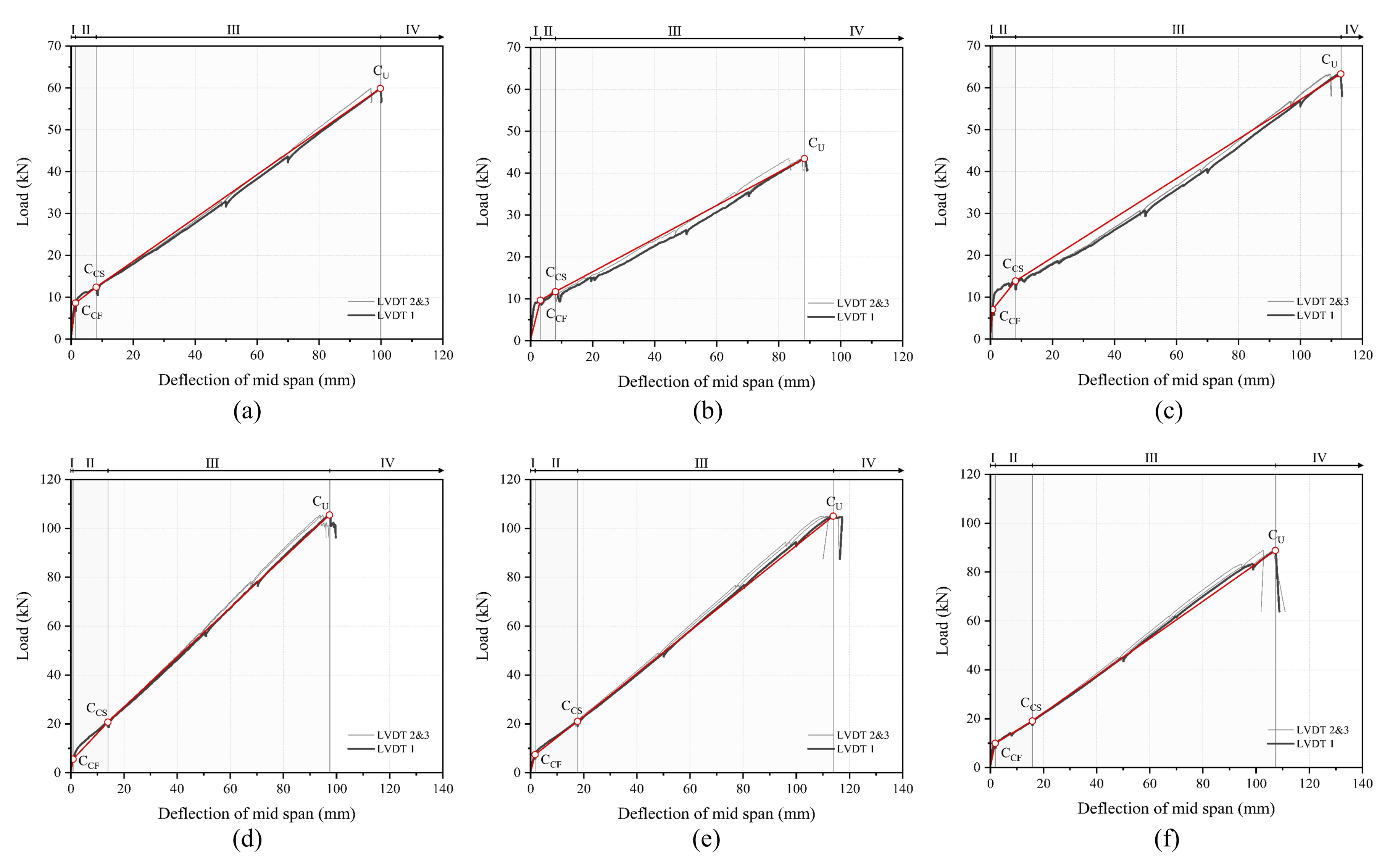
보강비에 따른 CFRP 그리드 보강 슬래브의 하중–중앙부 변위 관계를 통해 휨 거동을 비교・분석하였다. Fig. 6은 보강비에 따른 콘크리트 슬래브의 하중–중앙부 처짐 곡선을 나타내며 각 슬래브의 균열 발생 단계를 기준으로 구간을 나누어 구간별 강성을 평가하였다.
RC 휨 부재는 균열 발생 이전인 균열 이전 구간(Ⅰ), 초기 균열 이후 새로운 균열이 다수 형성되는 균열 형성 구간(Ⅱ), 추가적인 균열이 더 이상
형성되지 않고 기존 균열이 확장되는 균열 안정화 구간(Ⅲ)의 세 단계로 휨 거동을 구분할 수 있으며(Portal 2015) CFRP 그리드 보강 휨 부재의 경우 균열 형성 구간(Ⅱ)이 매우 짧거나 생략되는 특성이 나타났다. 각 구간의 강성과 전이점에서의 하중 및 처짐은
Table 4와 Table 5에 제시하였다. 모든 슬래브는 균열 이전 단계에서 높은 강성을 보였으며 초기 균열 발생 후에는 인장 측 중앙부를 중심으로 다수의 균열이 발생하며 강성이
급격히 저하되는 이선형 탄성 거동을 나타냈다.
Table 4. Stiffness properties of slabs with carbon fiber reinforced-polymer (CFRP)
grids
|
Specimen
|
Stiffness (N/mm)
|
Ⅲ/Ⅰ
|
Ⅲ/Ⅱ
|
|
Pre-crack (Ⅰ)
|
Crack formation (Ⅱ)
|
Crack stabilization (Ⅲ)
|
|
C10-1-2
|
6070.9
|
562.5
|
517.6
|
0.085
|
0.920
|
|
C10-2-1
|
2990.6
|
422.3
|
395.6
|
0.132
|
0.937
|
|
C20-1-1
|
9680.5
|
923.1
|
471.1
|
0.049
|
0.510
|
|
C10-2-2
|
6206.9
|
1157.9
|
1016.9
|
0.164
|
0.878
|
|
C20-1-2
|
4245.6
|
853.6
|
873.2
|
0.206
|
1.023
|
|
C20-2-1
|
5344.2
|
654.5
|
763.3
|
0.143
|
1.166
|
보강비 0.20 %의 경우 C10-1-2 및 C20-1-1의 최대내력($P_{u}$)은 각 59.86 kN, 63.28 kN으로 유사하였으며 최대내력
하의 처짐량은 99.93 mm, 113.13 mm로 나타났다. 반면 C10-2-1의 최대내력 및 처짐량은 43.44 kN, 88.41 mm로 가장
낮은 성능을 보였다. C10-1-2, C10-2-1 및 C20-1-1의 균열 하중($P_{cf}$)은 각각 8.56 kN, 9.6 kN 및 6.97
kN으로 C20-1-1에서 상대적으로 낮은 하중 하에서 균열이 발생하였다. Table 4에 제시된 바와 같이 균열 형성 구간(II)에서의 강성은 C20-1-1이 923.08 N/mm로 가장 높았으며 C10-1-2의 562.5 N/mm,
C10-2-1의 422.36 N/mm 순으로 나타났다. 균열 안정화 구간(III)에서의 강성은 세 슬래브 모두 395~518 N/mm 범위로 나타났으나
C10-2-1은 다소 낮은 값을 보였다. 초기 강성 대비 안정화 구간의 강성 비는 C10-2-1은 0.132, C10-1-2는 0.92, C20-1-1은
0.049로 C10-2-1은 상대적으로 높은 강성 유지력이 보였으며 C20-1-1은 급격한 강성 저하가 나타났다.
Fig. 6. Load and mid-span deflection curves of concrete slabs (a) C10-1-2, (b) C10-2-1,
(c) C20-1-1, (d) C10-2-2, (e) C20-1-2, (f) C20-2-1
Table 5. Four-point loading test results of concrete slab specimens
|
Specimen
|
Crack formation point ($c_{cf}$)
|
Crack stabilization point ($c_{cs}$)
|
Maximum load point ($c_{u}$)
|
$P_{cf}/ P_{u}$
|
$P_{cs}/ P_{u}$
|
|
Load $P_{cf}$ (kN)
|
Mid-span deflection (mm)
|
Load $P_{cs}$ (kN)
|
Mid-span deflection (mm)
|
Load $P_{u}$ (kN)
|
Mid-span deflection (mm)
|
|
C10-1-2
|
8.56
|
1.41
|
12.34
|
8.13
|
59.86
|
99.93
|
0.14
|
0.21
|
|
C10-2-1
|
9.60
|
3.21
|
11.64
|
8.04
|
43.44
|
88.41
|
0.22
|
0.27
|
|
C20-1-1
|
6.97
|
0.72
|
13.81
|
8.13
|
63.28
|
113.13
|
0.11
|
0.22
|
|
C10-2-2
|
5.40
|
0.87
|
20.58
|
13.98
|
105.45
|
97.44
|
0.05
|
0.20
|
|
C20-1-2
|
7.26
|
1.71
|
20.91
|
17.70
|
105.00
|
114.00
|
0.07
|
0.20
|
|
C20-2-1
|
9.78
|
1.83
|
18.93
|
15.81
|
88.80
|
107.34
|
0.11
|
0.21
|
보강비 0.40 %에서는 C10-2-2와 C20-1-2의 최대내력이 각각 105.45 kN 및 105.00 kN으로 유사하게 나타났으며 C20-2-1은
88.8 kN으로 15.8 % 낮은 내력을 보였다. 최대내력 도달 시의 처짐은 C20-1-2에서 114 mm로 가장 크게 나타났다. 균열 하중은 C10-2-2는
5.40 kN, C20-1-2는 7.26 kN, C20-2-1은 9.78 kN으로 C20-2-1은 다른 슬래브보다 높은 하중에서 균열이 발생하였다.
균열 형성 구간(II) 강성은 C10-2-2가 1157.90 N/mm로 가장 높았으며 C20-1-2의 853.66 N/mm, C20-2-1의 654.50
N/mm 순으로 나타났다. 균열 안정화 구간(III)에서도 이와 유사한 경향이 나타났으며 C10-2-2는 여전히 가장 높은 값을 보였다.
위와 같은 결과를 통해 CFRP 스트랜드 형상 및 그리드 보강 방식에 따른 1방향 슬래브의 하중-처짐 거동에 대한 유효성은 보강비 수준에 따라 다소
차이를 보였다. 보강비 0.20 %에서는 CFRP 스트랜드 폭 또는 보강 겹 수 증가가 슬래브의 휨 강도 증진 및 강성 유지 측면에서 효과적이었으며
보강비 0.40 %에서는 보강 겹 수 증가가 가장 효과적이었다. 반면 CFRP 스트랜드 두께 증가는 전 보강비 조건에서 일관되게 성능이 저하되는 경향을
보여 두꺼운 CFRP 스트랜드로 구성된 그리드에 의한 휨 보강은 비효율적인 보강 방식으로 판단된다.
3.2.2 하중-변형률 관계
Fig. 7은 슬래브의 하중–변형률 관계를 나타낸 것으로 변형률은 Fig. 2(a)와 같이 CFRP 그리드 중앙부에 부착된 3개의 변형률 게이지로 측정된 값을 기반으로 하였다.
Fig. 7. Load-strain curves (a) C10-1-2, (b) C10-2-1, (c) C20-1-1, (d) C10-2-2, (e)
C20-1-2, (f) C20-2-1
보강비 0.20 %의 슬래브 중 C10-1-2는 T1과 M1, M3 게이지가 C10-2-1은 M1 게이지가 손상되어 계측이 가능한 변형률 게이지에
의해 측정된 결과만을 Fig. 7에 나타내었다. C10-1-2와 C10-2-1은 모두 극한 변형률 약 0.012에 도달하였으며 C20-1-1은 약 0.015까지 증가하며 가장 큰
변형률이 발생하였다. 모든 슬래브에서 휨 균열 발생 이전 CFRP 스트랜드의 변형은 거의 발생하지 않았으나 C10-2-1과 C20-1-1에서는 초기
균열 이후 하중 증가 없이 변형률이 상승하는 응력 전이 구간이 관찰되었다. 특히 C10-2-1은 해당 구간의 길이가 더 길고 기울기 변화도 뚜렷하게
나타난 반면 C10-1-2에서는 명확한 전이 구간이 나타나지 않았다. 보강비 0.40 %의 슬래브 중 C10-2-2의 M3, C20-1-2의 M2
게이지가 손상되어 데이터 확보에 일부 제한이 있었으며 M3 게이지의 이상으로 인해 일부 데이터의 신뢰성 또한 낮은 것으로 판단된다. 세 슬래브 모두
CFRP 스트랜드가 극한 변형률에 도달하지 못한 채 파단 되었으며 이 중 C20-1-2가 0.012로 가장 큰 변형률, C20-2-1은 0.010으로
가장 작은 변형률을 보였다. 응력 전이 구간은 C20-2-1에서 가장 뚜렷하게 나타났으며 C10-2-2와 C20-1-2에서도 부분적으로 관찰되었으나
상대적으로 짧게 나타났다. Fig. 7(d) 및 (e)와 같이 겹 수를 보강한 콘크리트 슬래브의 상부 및 하부 그리드의 중앙부 변형률에서 큰 차이를 보이지 않아 겹 수를 통한 휨 보강 시에도 유효한 보강
효과를 발휘하는 것으로 나타났다.
3.2.3 유효 휨 강성 평가
위 연구에서는 철근 및 FRP 보강 콘크리트 구조 설계기준 및 제안식에서 제시된 유효 단면 2차 모멘트에 근거하여 휨 거동을 산정하고 이를 실험 결과와
비교하였다. 이러한 결과를 근거로 설계 기준 및 제안식의 CFRP 그리드 보강 콘크리트 슬래브의 처짐 산정식 적용 가능성을 평가하고자 하였다. 식
(1)과 같은 콘크리트 슬래브의 재하 조건을 고려한 슬래브 중앙부의 탄성 처짐식과 기준 및 제안식에서 제시하고 있는 부재 강성식을 근거로 하중-중앙부 처짐
거동을 평가하여 Fig. 8에 나타내었다.
콘크리트구조 사용성 설계기준(KDS 14 20 30)(KCI 2021b)에서는 균열과 철근의 영향을 반영한 강성 저감 모델을 기반으로 하는 Branson(1963)이 제안한 식 (2)와 같은 유효 단면 2차 모멘트 산정식($I_{e}$)을 활용하여 작용하중에 의한 순간 처짐을 산정하도록 규정하고 있다.
여기서, $I_{g}$는 전 단면 2차 모멘트, $M_{cr}$는 균열 모멘트, $M_{a}$는 작용 모멘트, $I_{cr}$은 균열 환산 단면 2차
모멘트이다.
Fig. 8. Load-deflection curves based on calculated effective stiffness and experimental
measurements (a) C10-1-2, (b) C10-2-1, (c) C20-1-1, (d) C10-2-2, (e) C20-1-2, (f)
C20-2-1
식 (3)은 Bischoff and Scanlon(2007)에 제안한 유효 단면 2차 모멘트 제안식($I_{e}$)으로 다양한 보강비에서 처짐 예측 시 높은 정확성을 보여 각국의 설계 기준의 유효 단면 2차
모멘트 기반식으로 활용되고 있다.
유리섬유 강화 폴리머 보강근 콘크리트구조 설계기준(KDS 14 20 68)(KCI 2024)은 ACI 기준(2019)의 계수 외에도 시공 중 콘크리트 인장 강도 저하나 구속 조건으로 인한 조기 균열을 고려해 균열 모멘트에 0.8의 보정 계수를
곱하여 식 (4)로 산정하도록 규정하고 있다.
Fig. 8에 나타난 바와 같이 전 보강비 구간에서 균열 발생 초기에는 세 기준식 모두 실험 결과에 비해 강성을 과대평가하였으나 이후에는 전반적으로 보수적인
강성 예측 경향을 나타냈다. 보강비 0.20 % 조건에서 C10-2-1은 다른 두 슬래브와는 다른 예측 경향을 보였으며 이는 보강 두께 증가에 따른
응력 집중과 부착 성능 저하로 인해 기대 구조 성능이 충분히 발현되지 못한 데에 기인하는 것으로 분석된다. 보강비 0.40 % 조건에서는 C10-2-2,
C20-1-2, C20-2-1 순으로 예측 정확도가 높게 나타났으며 이는 겹 수 증가에 따라 휨 강도가 크게 향상되어 보수적인 강성 예측과의 오차가
커진 것으로 분석된다. 특히 C20-2-1은 초기 균열 이후 강성이 급격히 저하되며 보수적인 강성 예측과 유사한 거동을 보인 것으로 해석된다.
Branson의 제안식은 균열 이후 항복 구간의 거동을 과대평가하여 상대적으로 높은 강성을 산정하는 경향을 보였다. 반면, Bischoff의 제안식과
이를 기반으로 한 KDS 14 20 68은 전반적으로 보수적인 강성 예측 경향이 나타났으며 두 식 간의 차이는 크지 않았다. 이 중 KDS 14 20
68은 균열 모멘트에 0.8의 계수를 적용함으로써 실험에서 관찰된 실제 균열 발생 시점에 가장 근접한 예측을 보였다.
3.2.4 휨 강도 평가
현행 구조 설계 기준에서는 재료의 불확실성, 취성 파괴, 환경적 영향 등을 고려하여 구조물의 안전성을 확보하고자 다양한 설계 계수를 도입하여 설계강도를
산정하고 있다. 설계강도는 설계 시 부재 치수, 재료 강도, 배근 상세를 근거로 이상적인 조건 하에서 부재가 발휘할 수 있는 강도인 공칭강도를 근간으로
한다. 이 연구에서는 FRP로 보강된 콘크리트 슬래브의 설계법을 규정하고 있는 현행 각국의 설계 기준에 따른 공칭 휨 강도와 실험 결과를 비교해 기준식의
신뢰성을 평가하고자 하였다. 검토 대상인 FRP 보강 콘크리트 구조 설계 기준으로는 ACI 440.11-22, CSA S806-12, KDS 14
20 68가 있으며 Fig. 9는 각 기준에 따른 공칭 휨 강도와 실험 결과를 비교한 결과이다.
Fig. 9. Comparison of predicted and experiment results on flexural strength of specimens
reinforced with a carbon fiber reinforced–polymer (CFRP) grid
ACI 440.11-22에 따른 공칭 휨 강도 $M_{n}$은 힘의 평형 및 변형률 적합 조건 하에 식 (5)로 산정할 수 있으며 콘크리트의 극한 변형률은 0.003으로 가정한다.
여기서, $A_{f}$는 휨 부재의 인장 측 FRP 보강근 량, $f_{f}$는 인장 측 FRP 보강재의 강도, $d$는 부재의 유효깊이, $a$는
등가 직사각형 압축 응력 블록의 깊이, $\rho_{fb}$는 균형 보강비, $\rho_{f}$는 FRP 보강근의 보강비이다. 이 중 $f_{f}$는
휨 강도 산정 시 크게 영향을 미치는 변수로 FRP가 다양한 환경 조건에 노출 시 발생할 수 있는 인장 강도, 피로 내구성 저하 등의 장기적 영향을
고려하여 보강근의 실제 인장 강도 $f_{fu}$에 환경 감소 계수 $C_{E}$를 곱해 산정하며 $C_{E}$는 설계 기준에 따라 상이하게 적용된다.
KDS 14 20 68은 ACI 440.11-22와 동일한 이론적 기반 하에 식 (6)에 따라 휨 강도를 산정하나 콘크리트의 극한 변형률을 0.0033으로 가정하며 콘크리트 압축강도에 따라 등가 직사각형 압축 응력 블록의 크기 및 깊이에
대한 계수인 $\eta_{1}$과 $\beta_{1}$을 적용하고 있다.
CSA S806-12 또한 동일한 이론적 기반에 따라 식 (7)에 의해 휨 강도를 산정하나 콘크리트의 극한 변형률을 0.0035로 가정하며 등가 직사각형 압축 응력 블록에 대한 비율을 산정하기 위해 계수 $\alpha_{1}$과
$\beta_{1}$을 적용하고 있다.
비교 결과, ACI 440.11-22, KDS 14 20 68, CSA S806-12 순으로 보수적인 강도 산정 경향을 보였으며 이는 기존 문헌(Ji et al. 2024)에서도 유사하게 보고된 바 있다.
보강비가 낮은 슬래브에서는 ACI 440.11-22 기준으로 산정한 공칭 휨 강도가 실험 결과 대비 평균 오차 16.24 %로 가장 정확하였다. 그러나
C10-2-1은 오차가 44.23 %로 급증하여 두께 증가 시 예측 정확도가 현저히 저하되었다. 반면, 보강비가 높은 슬래브의 경우 S806-12를
적용한 공칭 휨 강도는 실험 결과와의 평균 오차가 10.34 %로 나타나며 가장 근접한 예측을 보였다. 그러나 C10-2-2와 C20-1-2는 각각
실험 결과보다 15.26 %, 13.47 % 낮게 산정되어 C20-2-1의 2.31 % 오차와 비교해 상대적으로 큰 편차를 나타내었다. 또한 CSA
기준과 마찬가지로 모든 설계 기준에서 겹 수 증가의 보강 효과를 과소평가하는 경향이 확인되었다.
3.3 보강근 종류에 따른 휨 거동 특성
콘크리트 구조 설계 일반사항(KDS 14 20 01)(KCI 2021a)에 규정된 바와 같이 콘크리트 구조 설계 시 구조부재의 안전성과 내구성뿐만 아니라 사용성도 충족하도록 규정하고 있다. 특히 FRP와 같은 고강도의
저 탄성계수를 갖는 보강재를 사용한 콘크리트 부재의 휨 설계 시 설계를 지배하는 요인은 안전성보다는 사용성이 된다. 따라서 CFRP 그리드 보강 콘크리트
슬래브와 철근 콘크리트 슬래브의 파괴 시까지 및 사용성 충족 조건(허용 처짐량: $l/180$)까지 하중–변위 관계를 비교하여 Fig. 10에 나타내었다.
Fig. 10. Comparison with specimen reinforced rebar a) $\rho$: 0.20 % full-range, b)
$\rho$: 0.20 %, pre-deflection limit, c) $\rho$: 0.40 %, full-range, d) $\rho$: 0.40
%, pre-deflection limit
Fig. 10(a)에 나타난 바와 같이 보강비 0.20 % 조건에서 RC-1의 최대내력은 14.4 kN으로 모든 슬래브 중 가장 낮았으며 파단 시 변위는 46.11
mm로 CFRP 그리드 보강 슬래브의 40.76~ 52.16 % 가량 낮은 값을 보였다. Fig. 10(b)과 같이 허용 처짐량 도달 시점에서의 내력은 14.07 kN으로 CFRP 그리드 보강 슬래브 대비 8.35~9.05 %로 유사한 하중 지지 능력을
보였다. Fig. 10(b)의 허용 처짐량 이전의 경우 RC-1은 다소 낮은 강성을 보였으나 큰 차이는 확인되지 않았으며 사용성 측면에서 휨 성능을 확보한 것으로 판단된다.
이후 균열 안정화 구간에서의 강성은 CFRP 그리드 보강 슬래브가 RC-1의 232 N/mm 대비 1.71~2.33배 높은 것으로 나타났다. 따라서
최소 철근량 수준의 보강이 요구되는 1방향 슬래브의 인장 보강재로서 CFRP 그리드가 적용 가능할 것으로 판단된다.
보강비 0.40 % 실험체를 비교한 Fig. 10(c)을 보면 CFRP 그리드 보강 슬래브의 최대내력은 RC-2의 44.28 kN에 비해 2.00~ 2.38배 높게 나타났다. Fig. 10(d)에서는 허용 처짐량 이전 구간에서의 철근 보강 슬래브와 CFRP 그리드 보강 슬래브의 거동을 정확히 비교 및 분석을 하기 위해 인장철근비 0.25
%의 RC-1과 0.50 %의 RC-2의 실험 결과를 기반으로 선형 보간법을 적용하여 인장철근비 0.40 %의 철근 보강 슬래브의 허용 처짐 이전
거동을 추정하였다. 허용 처짐 이전 구간에서는 균열 발생 전까지 유사한 강성이 확인되었으나 균열 이후 RC-2가 상대적으로 높은 강성을 보였다. 허용
처짐 도달 시점에서 CFRP 그리드 보강 슬래브의 내력은 평균 26.34 kN으로 RC-2 대비 24.37-31.89 %, 보강비 0.40 %의 철근
보강 슬래브 대비 13.27-24.64 % 가량 낮게 측정되어 보강비 0.20 % 조건과는 상이한 경향을 나타내었다. 따라서 철근 보강 슬래브보다
사용성 측면에서 다소 불리하여 최소 철근비 이상의 보강근이 요구되는 1방향 콘크리트 슬래브에 CFRP 그리드를 인장 보강근으로 적용할 경우 휨 설계는
강도에 기반한 안전성보다 사용성 기준에 의해 지배되는 것으로 나타났다.
3. 결 론
이 연구에서는 CFRP 그리드 스트랜드의 형상 및 그리드 보강 방법을 주요 변수로 적용한 1방향 콘크리트 슬래브의 휨 성능을 철근 콘크리트 슬래브와
비교 분석함으로써 다음과 같은 결론을 도출하였다.
1) CFRP 그리드 보강 슬래브는 동일 보강비에서 철근 보강 슬래브보다 더 많은 균열 개수와 짧은 균열 간격을 보이며 응력 분산에 효과적이었다.
특히 스트랜드의 폭과 겹 수 증가는 우수한 부착 성능과 응력 분산 특성을 보였으나 두께 증가는 응력 집중에 의해 성능 저하가 나타났다.
2) CFRP 그리드 보강 슬래브의 하중–변위 관계에 근거한 보강 방식의 유효성은 보강비에 따라 상이하게 나타나 보강 설계 시 보강비에 따라 보강
형상을 달리할 필요가 있다. 낮은 보강비에서는 겹 수 또는 폭 증가가 효과적인 보강 방식으로 판단되며 높은 보강비의 경우 겹 수 증가를 기본으로 하여
폭 증가를 병행하는 방식이 효율적인 보강 방식으로 판단된다. 다만 두께 증가는 전 보강비 조건에서 일관된 성능 저하가 유발되어 비효율적으로 판단된다.
3) 보강비가 낮을수록 CFRP 그리드는 극한 변형률에 근접해 파단 되었고 균열 이후 하중 증가 없이 변형률이 증가하는 응력 전이 구간이 길게 형성되었다.
특히 두께 증가 시 뚜렷한 응력 전이 구간이 관찰되었다. 이는 두께 증가에 의해 정착부 주변 콘크리트에 미세 균열이 발생하며 보강재와 콘크리트 간
계면 부착 성능이 저하됨에 따라 응력 전달 과정에 장애가 생긴 것으로 해석된다. 반면, 보강재의 폭 및 겹 수 증가는 더 큰 변형이 동반되며 안정적인
부착 성능 및 충분한 경고 거동을 보일 것으로 판단된다.
4) 총 세 가지 유효 단면 2차 모멘트 산정식을 활용한 휨 거동 예측 결과, 전반적으로 예측 강성은 실험 결과보다 보수적이었으며 이 중 KDS 14
20 68은 균열 모멘트에 0.8의 보정 계수를 적용해 균열 발생 시점과 전체 거동 예측에서 가장 근접한 결과를 보였다. 이는 휨 거동 예측에서 균열
모멘트 산정의 정확도가 핵심임을 시사한다.
5) 설계 기준에 따른 공칭 휨 강도는 낮은 보강비에서 두께 증가 시 실험 결과보다 최대 44.23 % 낮게, 높은 보강비에서 겹 수 증가 시 13.47~15.26
% 높게 산정되었다. 이는 보강재의 부착 면적에 따른 것으로 판단되며 보강비에 따라 두께 및 겹 수 조절이 휨 강도에 미치는 영향과 부착 성능과의
상관성을 명확히 규명할 필요가 있다.
6) CFRP 그리드 보강 슬래브는 낮은 보강비에서 철근 보강 슬래브와 유사한 사용성과 더 큰 변위를 보여 충분한 경고 거동을 보일 것으로 판단되었다.
전반적으로 CFRP 그리드 보강 슬래브는 균열 이후 강성이 급격히 저하되며 이러한 경향은 보강비가 높을수록 두드러졌다. 그러나 균열 이후에도 철근
보강 슬래브보다 높은 강성을 유지하여 취성 파괴의 우려가 존재해 설계 시 이에 대한 충분한 고려가 요구된다.
감사의 글
이 논문은 2024학년도 충남대학교 연구년제연구교원 지원사업에 의하여 연구되었으며 이에 감사드립니다.
References
2019, Building Code Requirements for Reinforced Concrete (ACI 318-19) and Commentary
(ACI 318R-19)ACI Committee 318, , American Concrete Institute (ACI), Farmington Hills,
MI

2022, Guide for the Design and Construction of Structural Concrete Reinforced with
Fiber-Reinforced Polymer (FRP) Bars (ACI 440.11-22)ACI Committee 440, , American Concrete
Institute (ACI), Farmington Hills, MI

Al-Sunna R., Pilakoutas K., Hajirasouliha I., Guadagnini M., 2012, Deflection Behaviour
of FRP Reinforced Concrete Beams and Slabs: An Experimental Investigation, Composites
Part B: Engineering, Vol. 43, No. 5, pp. 2125-2134

2017, Standard Test Method for Tensile Properties of Polymer Matrix Composite Materials
(ASTM D3039/D3039M-17)ASTM, , ASTM International, Pennsylvania, USA

Bischoff P. H., Scanlon A., 2007, Effective Moment of Inertia for Calculating Deflections
of Concrete Members Containing Steel Reinforcement and Fiber-Reinforced Polymer Reinforcement,
ACI Structural Journal, Vol. 104, No. 1, pp. 68-75

Branson D. E., 1963, Instantaneous and Time-Dependent Deflection of Simple and Continuous
Reinforced Concrete Beams, Alabama Highway Department, Alabama, USA

2012, Design and Construction of Building Components With Fibre-Reinforced PolymersCAN/CSA-S806-12,
, Canadian Standards Association (CSA)

Chen L., Huang L., Hua J., Chen Z., Wei L., Osman A. I., Fawzy S., Rooney D. W., Dong
L., Yap P. S., 2023, Green Construction for Low-Carbon Cities: A Review, Environmental
Chemistry Letters, Vol. 21, pp. 1627-1657

2009, Plastics - Determination of tensile properties - Part 5: Test conditions for
unidirectional fibre-reinforced plastic composites (ISO 527-5:2021)ISO/TC 61/SC 13,
, International Organization for Standardization (ISO), Geneva, Switzerland

Ji S., Yeon Y., Hong K., Kwak H., 2024, Experimental Study to Evaluate the Flexural
Behavior of Concrete Beams Reinforced with CFRP Grid, Case Studies in Construction
Materials, Vol. 20, pp. e02797

2022, Test Method for Compressive Strength of Concrete (KS F 2405)KATS, , Korea Agency
for Technology and Standards (KATS), Korean Standards Association (KSA), Seoul, Korea,
(In Korean)

2021a, Design Standard of Reinforced Concrete (KDS 14 20 01: 2021)KCI, , Ministry
of Land, Infrastructure and Transport (MOLIT), Korea Concrete Institute (KCI), Sejong,
Korea, (In Korean)

2021b, Concrete Structure Usability Design Standards (KDS 14 20 30: 2021)KCI, , Ministry
of Land, Infrastructure and Transport (MOLIT), Korea Concrete Institute (KCI), Sejong,
Korea, (In Korean)

2024, Design Standard for Concrete Structures Reinforced with Glass Fiber-Reinforced
Polymer (GFRP) Bars (KDS 14 20 68)KCI, , Ministry of Land, Infrastructure and Transport
(MOLIT), Korea Concrete Institute (KCI), Sejong, Korea, (In Korean)

Kim K. M., Park S. W., 2023, Tensile Behavior of Textile Reinforced Concrete Members
Reinforced with Carbon Grid by Different Manufacturing Methods, Journal of the Korea
Concrete Institute, Vol. 35, No. 1, pp. 111-121, (In Korean)

Lee H., McJeon H., Yu S., Liu Y., Kim H., Eom J., 2024, Decarbonization Pathways for
Korea’s Industrial Sector Toward Its 2050 Carbon Neutrality Goal, Journal of Cleaner
Production, Vol. 476, pp. 143749

Matthys S., Taerwe L., 2000, Concrete Slabs Reinforced with FRP Grids. I: One-Way
Bending, Journal of Composites for Construction, Vol. 4, No. 3, pp. 145-153

Portal N. W., 2015, Usability of Textile Reinforced Concrete: Structural Performance,
Durability and Sustainability, Chalmers University of Technology, Sweden, Ph.D. Thesis

Stefanoni M., Angst U., Elsener B., 2018, Corrosion Rate of Carbon Steel in Carbonated
Concrete-A Critical Review, Cement and Concrete Research, Vol. 103, pp. 35-48

Tang F., Chen G., Brow R. K., 2016, Chloride-Induced Corrosion Mechanism and Rate
of Enamel- and Epoxy-Coated Deformed Steel Bars Embedded in Mortar, Cement and Concrete
Research, Vol. 82, pp. 58-73

Yun H. D., Park W. S., Kim S. W., Kim J. E., 2022, Review on Concrete Column Reinforced
with Carbon Fiber-Reinforced Polymer Grid, Journal of the Architectural Institute
of Korea, Vol. 38, No. 11, pp. 317-325, (In Korean)

Zhang B., Masmoudi R., Benmokrane B., 2004, Behaviour of One-Way Concrete Slabs Reinforced
with CFRP Grid Reinforcements, Construction and Building Materials, Vol. 18, No. 8,
pp. 625-635
