김윤정
(Yun-Jeong Kim)
1
문주현
( Ju-Hyun Mun)
2†iD
-
경기대학교 일반대학원 건축공학과 석사과정
(Graduate Student, Department of Architectural Engineering, Kyonggi University Graduate
School, Suwon 16227, Rep. of Korea)
-
경기대학교 스마트시티공학부 건축공학전공 부교수
(Associate Professor, Department of Architectural Engineering, Kyonggi University,
Suwon 16227, Rep. of Korea)
Copyright © Korea Concrete Institute(KCI)
키워드
전단벽, 경량골재 콘크리트, 휨 연성, 변위연성비
Key words
shear wall, lightweight aggregate concrete, flexural ductility, displacement ductility ratio
1. 서 론
일반적으로 프리캐스트 콘크리트(precast concrete, PC) 전단벽의 구조성능은 벽체와 기초접합부의 전단 전달력에 의해 현저한 영향을 받는다(Kim et al. 2012; Yang et al. 2021). 이에 따라 KDS 14 20 00 (2021) 및 ACI 318-19 (2019)에서는 PC 벽체와 기초접합부의 전단저항이 휨 설계 내력의 80 % 이상 확보하도록 제시하고 있고, 특히, AIJ (2002)에서는 벽체와 기초접합부의 전단 전달력이 현장타설 전단벽체와 동등한 성능을 확보하도록 압축응력 전달, 전단마찰, 전단키, 지압강도 등의 성능을 제시하고
있다. 이처럼 PC 전단벽에서 벽체와 기초접합부의 전단 전달력이 구조성능 확보에 중요한 설계요소임에도 전단 전달력의 한계가 지적되고 있는 스플라이스
슬리브 공법이 경제성과 시공성 편의에 의해 여전히 PC 전단벽에서 가장 일반적으로 사용되고 있다(Kim et al. 2012; Seo et al. 2020). Yang et al. (2023)은 스플라이스 슬리브 공법이 벽체와 기초접합부에서 전단 전달력의 감소로 최대내력 이후의 거동이 취성적인 경향을 유도하고 있음을 확인하였다. 또한,
Zhi et al. (2024)은 스플라이스 슬리브 공법에서 주철근의 부착응력의 감소와 전단변형의 증가로 인해 최대내력 및 연성이 저하됨을 보고하였다.
이러한 취약한 전단 전달력을 가지고 있는 스플라이스 슬리브 공법에 의해 저하되는 연성의 문제점을 해결하기 위한 새로운 기초접합부의 연결방식에 대한
연구는 여러 연구자들(Lim and Hong 2010; Kim et al. 2012; Xu et al. 2017; Seo et al. 2020; Xue et al. 2022)에 의해 다양하게 수행되어 왔다. 하지만, 이 연구들은 대부분 보통중량 콘크리트(normal-weight concrete, NWC)로 제작된 PC
전단벽에서 새로운 기초접합부 연결방식의 전단 전달력 효율성과 최대내력 이후의 연성적 거동의 효과를 평가하고 있어 경량골재 콘크리트(lightweight
aggregate concrete, LWAC)로 제작된 PC 전단벽에서 이들 효과들의 검증에 관련된 연구가 현저히 미미하다. 특히, 최근에는 LWAC로
제작된 PC 전단벽에서도 벽체와 기초접합부의 전단 전달력의 저항력이 우수한 볼팅 공법이 개발되었다(Yang et al. 2023). Yang et al. (2023)은 NWC로 제작된 PC 전단벽에서 볼팅 공법이 스플라이스 슬리브 공법보다 변위연성비($\mu_{\Delta}$)와 누적 일손상지수($W_{c}$)를
향상시키는데 효과적임을 확인하였다. 또한, Yang et al. (2021)은 LWAC로 제작된 전단벽에서 ACI 318-19 (2019)에서 제시하고 있는 경계요소 내의 최소 횡보강근량($A_{sh(\min)}$) 기준의 1.0배에 대한 연성의 안전성을 평가하였으며, 이로부터 경계요소
내의 횡보강근량($A_{sh}$)을 $A_{sh(\min)}$ 기준의 2.0배로 증가시킬 것을 제안하였다. 하지만, 이 연구들은 $A_{sh}$만의
제한적인 변수 및 범위를 고려하고 있어 KDS 14 20 00 (2021) 및 ACI 318-19 (2019)에서 제시하고 있는 주철근의 항복강도($f_{y}$)의 최대값(KDS 14 20 00=600 MPa, ACI 318-19=690 MPa)의 적용에
따른 PC 전단벽의 연성에 대한 안전성의 확인이 필요하다. 이에 더불어 LWAC로 제작된 PC 전단벽에서 NWC로 제작된 PC 전단벽의 연성과 동등한
수준을 확보할 수 있는 $A_{sh}$의 요구량에 대한 실험적・이론적 연구도 부족하다.
이 연구의 목적은 기초접합부 연결방식에 따른 프리캐스트 경량골재 콘크리트(precast lightweight aggregate concrete, PLC)
전단벽의 휨 연성을 평가하고, NWC로 제작된 PC 전단벽과 동등한 연성을 확보할 수 있는 횡보강근량의 보정계수를 제시하는 데에 있다. 휨 거동 평가를
위한 주요변수는 $f_{y}$와 기초접합부의 연결방식이다. PLC 전단벽 실험체는 특수 모멘트 골조를 적용한 전단벽으로 KDS 14 20 00 (2021)에서 제시하는 특수 전단벽의 경계요소내의 배근상세 규정을 만족하도록 설계하였다. PLC 전단벽 실험체는 총 4개가 제작되었으며, 일정축력을 재하한
상태에서 반복 횡하중 실험을 수행하였다. PLC 전단벽 실험체의 연성은 $\mu_{\Delta}$ 및 $W_{c}$의 개념으로 평가하였다. 특히,
$\mu_{\Delta}$는 단면분할법에 기반한 2차원 비선형해석절차(Yang 2013)를 통해 일반화되었으며, 횡보강근량 보정계수로 환산되었다. 최종적으로 PLC 전단벽 실험체에서 NWC로 제작된 PC 전단벽 실험체와 동등한 수준의
$\mu_{\Delta}$를 확보하는데 필요한 $A_{sh}$을 제시하였다.
2. 실 험
2.1 실험체 상세
실험에 사용된 PLC 전단벽 실험체의 상세는 Fig. 1과 Table 1에 나타내었다. 주요 변수는 PLC 전단벽 실험체의 기초접합부 연결방식과 $f_{y}$로 선정하였다. 기초접합부의 연결방식은 가장 일반적으로 사용하는
스플라이스 슬리브 공법과 PLC 전단벽의 접합부에서 연성저하를 방지할 수 있는 볼팅 공법(Yang et al. 2023)으로 선정하였다. $f_{y}$는 400 MPa와 600 MPa로 변화하였는데, 이는 KDS 14 20 00 (2021)에서 제시하는 $f_{y}$의 최대값(=600 MPa)을 반영한 것이다. 스플라이스 슬리브는 ICC-ES ESR-3433 (2023)에서 제시하고 있는 설계방법을 준수하였으며, 이로부터 결정된 스플라이스 슬리브의 외부 및 내부 직경은 각각 48 mm 및 32 mm이다. Yang et al. (2023)이 제안한 볼팅 공법은 주철근에 용접된 강판, 고장력 볼트 및 너트를 이용하여 벽체와 기초를 연결시키는 조립식 건식공법이다. 사용된 고장력 볼트와
너트의 직경은 30 mm 이며, 강판 두께는 30 mm이다. 이 상세는 최대 휨 모멘트($M_{n}$)에 의해 도입된 전단외력($V_{fl}$)에
대해 충분한 휨 및 전단 저항력을 확보할 수 있는 수준으로 결정하였다.
Fig. 1 Details of designed precast lightweight aggregate concrete (PLC) shear wall specimens (units: mm)
모든 PLC 전단벽 실험체는 특수 전단벽의 상세를 위해 콘크리트 양단부(단면크기 250 mm×250 mm)를 구속하는 경계요소를 배치하였다. PLC
전단벽 실험체의 길이($l_{w}$), 웨브 두께($b_{w}$) 및 높이($h_{w}$)는 각각 1,200 mm, 750 mm 및 3,150 mm이다.
$A_{sh}$는 콘크리트 설계 압축강도($f_{cd}$)에 따라 KDS 14 20 00 (2021)의 특수전단벽 규정에서 제시하는 $A_{sh(\min)}$의 1.0배로 산정하였다. 경계요소 내에서 주철근은 직경 16 mm의 이형철근 8개를 배근하였는데,
이때 주철근비($\rho_{s}$)는 0.025이다. 띠철근은 직경 10 mm의 이형철근을 70 mm 간격으로 배근하였다. 내부 띠철근은 끝단이 각각
90° 및 135°인 갈고리 형상을 가지고 있는 직경 10 mm의 이형철근을 70 mm 간격으로 배치하였다. 이때 띠철근의 체적비($\rho_{vh}$)는
0.020이다. 웨브의 수평 및 수직 철근은 직경 10 mm의 이형철근을 각각 200 mm 및 300 mm 간격으로 배근하였으며, 이때의 수평($\rho_{h}$)
및 수직 철근비($\rho_{v}$)는 각각 0.004 및 0.003이다.
Table 1 Details of specimens
|
Speci-mens
|
Main parameters
|
$f_{cd}$
(MPa)
|
Boundary element
|
|
$\rho_{s}$
|
$\rho_{sh}$
|
$\omega_{sh}$
|
|
$f_{y}$
(MPa)
|
Connection type
|
|
400-S
|
400
|
Spliced sleeve
|
35
|
0.025
|
0.019
|
0.211
|
|
400-B
|
High tensile bolt and nut
|
|
600-S
|
600
|
Spliced sleeve
|
|
600-B
|
High tensile bolt and nut
|
Notes: $f_{y}$: yield strength of longitudinal reinforcing bar at the boundary element;
$f_{cd}$: designed compressive strength of concrete; $\rho_{s}$: longitudinal reinforcing
bar ratio at the boundary element; $\rho_{sh}$: volumetric transverse reinforcing
bar ratio at the boundary element; and $\omega_{sh}$: volumetric index of transverse
reinforcing bar at the boundary element
2.2 사용재료
Table 2에는 사용된 콘크리트의 특성을 나타내었다. 모든 PLC 전단벽 실험체는 전경량골재 콘크리트(all-light weight aggregate concrete,
ALWAC)로 제작되었으며, $f_{cd}$는 35 MPa이다. 측정된 ALWAC의 단위용적중량($\rho_{c}$)은 1,755 kg/m3이며,
측정된 콘크리트의 압축강도($f_{ck}$) 및 탄성계수($E_{c}$)는 각각 39.6 MPa 및 20,812 MPa이었다. ALWAC의 배합에서는
물-시멘트 비($W/C$)와 잔골재 비($S/a$)를 각각 30 % 및 45 %로 설정하였다. 사용된 골재는 바텀애시와 준설토를 주재료로 소성 가공한
인공 경량골재를 사용하였다(Lee and Yang 2018). 사용된 인공 경량골재의 외부표면은 피막구조로, 내부는 공극구조를 가지고 있어 기존의 천연골재보다 낮은 밀도와 높은 흡수율을 가지고 있다(Lee 2018). 굵은골재로 사용된 인공 경량골재의 최대치수, 조립률 및 비중은 각각 19 mm, 6.4 및 1.0이며, 잔골재로 사용된 인공 경량골재에서는 각각
4.75 mm, 4.4 및 1.1이다. 이 인공 경량골재들의 흡수율은 각각 14.8 %와 10.9 %으로 기존의 천연골재보다 각각 1.16배 및 1.18배
높은 수준이었다.
Table 2 Mixture proportions of ALWAC
|
Type
|
$\rho_{c}$
(kg/m3)
|
$W/C$
(%)
|
$S/a$
(%)
|
Unit weight (kg/m3)
|
|
$W$
|
$C$
|
$G_{A}$
|
$F_{A}$
|
|
ALWAC
|
1,755
|
30
|
45
|
195
|
355
|
556
|
503
|
Notes: $\rho_{c}$: unit weight of concrete; $W/C$: water-to-cement ratio by weight;
$S/a$: fine aggregate-to-total aggregate ratio by volume; $W$: water; $C$: cement;
$G_{A}$: lightweight coarse aggregate; and $F_{A}$: lightweight fine aggregate
PLC 전단벽 실험체에 사용된 보강재의 역학적 특성은 Table 3에 나타내었다. $f_{y}$는 주요변수에 따라 달리 적용하였는데, $f_{y}$가 400 MPa 및 600 MPa로 계획된 직경 16 mm의 이형철근에서
측정된 $f_{y}$는 각각 430.8 MPa 및 624.5 MPa이었다. 띠철근으로 사용된 직경 10 mm의 이형철근의 $f_{y}$는 440 MPa이었다.
스플라이스 슬리브 공법에 사용된 슬리브의 $f_{y}$는 564 MPa이었으며, 볼팅 공법에서 사용된 고장력 볼트와 너트에서는 1,010 MPa이었다.
또한, 강판의 $f_{y}$는 240 MPa이었다. 이때, 실험에 사용된 스플라이스 슬리브는 흑연주철로 제작되었으며, 강재에 비해 낮은 강성을 갖는
흑연주철의 특성으로 스플라이스 슬리브의 탄성계수는 165,882 MPa이었다(Choi 2001; Wang et al. 2022).
Table 3 Mechanical properties of used reinforcements
|
Steel type
|
Dia- meter
(mm)
|
Yield strength
(MPa)
|
Yield strain
|
Tensile strength
(MPa)
|
Modulus of elasticity
(MPa)
|
|
Deformed bars
|
16
|
430.8
|
0.0022
|
577
|
203,561
|
|
624.5
|
0.0031
|
777
|
199,180
|
|
10
|
476.8
|
0.0023
|
572
|
194,115
|
|
Spliced sleeve
|
48
|
564
|
0.0034
|
706
|
165,882
|
|
High tensile bolt and nut
|
30
|
1,010
|
0.0048
|
1,153
|
210,416
|
2.3 실험체 가력상세
Fig. 2에는 실험체의 측정 및 가력 상세를 나타내었다. 모든 PLC 전단벽 실험체는 캔틸레버 거동을 유도하기 위해 실험체 하부 스터브에 형성된 홀과 강재
락볼트를 이용하여 반력 바닥판에 완전히 고정하였다. 모든 실험체는 일정한 축력을 유지하면서 횡하중을 가력하였다. 축력은 실험체 상부 구조물에 도입한
1,000 kN 용량의 오일잭을 사용하였는데, 이때의 작용 축력비($N_{u}/A_{g}f_{ck}$)는 0.1로 설정하였다. 여기서, $N_{u}$는
작용한 축력이며, $A_{g}$는 실험구간에서 실험체의 단면적이다. 실험 도중 축력에 의한 편심을 최소화하기 위해 오일잭 양단에 힌지를 설치하였다.
횡하중은 실험체 상부 스터브에 연결된 2,000 kN 용량의 액츄에이터(actuator)를 이용하여 2 mm/min의 속도로 가력하였다. 횡하중의
반복이력은 FEMA 356 (2000) 기준에 따라 제시된 가력이력곡선에 기반하여 도입하였으며, 각 증분 변위당 3 사이클씩 반복하였다(Fig. 3). 각 실험체의 횡변위는 횡하중 작용점의 중심에 설치한 300 mm 용량의 변위계를 이용하여 측정하였다. 경계요소 내 주철근의 변형률은 기초연결부
근처에 부착한 전기저항식 스트레인 게이지(strain gauge)를 이용하여 측정하였다. 이를 통해 주철근의 거동 및 항복 시점을 확인하였다.
Fig. 3 Loading history of precast lightweight aggregate concrete (PLC) shear wall specimens
3. 실험 결과
3.1 균열진전 및 파괴모드
Fig. 4에는 각 PLC 전단벽 실험체의 균열진전 및 최종 파괴양상을 나타내었다. 모든 실험체는 경계요소 내에 배근된 주철근의 파단을 동반하는 전형적인 휨
지배 거동을 보였다. 모든 실험체에서 초기균열은 2 사이클에서 휨 균열이 발생하였으며, 증분변위가 증가함에 따라 그 휨 균열은 상부 방향으로 진전되었다.
이후, 경계요소 내의 휨 균열은 웨브에서 대각선 형태로 확장되었다. 실험종료 시점까지 모든 실험체에서 발생된 휨 균열의 높이는 약 0.57$h_{w}$이었다.
최대내력 시점에서는 PLC 전단벽 실험체의 하단 접합부 주변에서 발생한 균열로 인한 콘크리트 피복이 박리되었다. 콘크리트 피복의 탈락 이후, 증분변위가
증가함에 따라 피복탈락이 심화되었으며, 실험종료 시점에서 주철근의 좌굴 및 파단이 발생하였다. 특히, 주철근의 좌굴 및 파단 시점은 $f_{y}$가
증가함에 따라 빨라졌으며, 볼팅 공법을 사용한 실험체보다 스플라이스 슬리브 공법을 사용한 실험체에서 더욱 빨랐다. 주철근 좌굴시점은 실험체 600-S에서
17 사이클이었으며, 실험체 400-S는 이보다 2 사이클 늦게 발생하였다. 실험체 400-B 및 600-B에서는 각각 18 및 20 사이클로, 스플라이스
슬리브 공법을 사용한 실험체보다 볼팅 공법을 사용한 실험체에서 주철근의 좌굴이 약 10 % 늦게 발생하였다. 이로부터 볼팅 공법을 사용하면, 주철근에서
발생하는 좌굴 및 파단 시점을 지연시킬 수 있음을 확인하였다.
Fig. 4 Crack propagation of precast concrete (PC) shear wall specimens
3.2 횡하중-횡변위 관계
각 실험체의 횡하중-횡변위 관계는 Fig. 5에 나타내었다. 주철근의 항복시점 이전까지 모든 실험체의 강성은 $f_{y}$와 기초접합부의 연결방식에 관계없이 비슷한 경향을 보였다. 이후 강성은
최대내력 시점까지 점진적으로 감소하였다. 반면, 스플라이스 슬리브 공법을 사용한 실험체의 최대내력 시점은 $f_{y}$에 의해 현저한 영향을 받았다.
600-S의 최대내력 시점은 7 사이클로서 400-S(=10 사이클)보다 30 % 낮았다. 이에 반해, 볼팅 공법을 사용한 실험체의 최대내력 시점은
$f_{y}$에 의한 영향이 미미하였다. 400-B의 최대내력 시점은 13 사이클로서 600-B와 동일한 사이클에서 최대내력에 도달하였다.
Fig. 5 Relationship of lateral load-lateral displacement
특히 최대내력 이후의 거동에서는 $f_{y}$가 클수록 볼팅 공법보다 스플라이스 슬리브 공법을 사용한 실험체에서 하중 저하가 더 현저하게 나타났다.
결과적으로 최대내력 이후 횡하중이 80 %로 저하되는 시점은 600-S에서 10 사이클로 가장 작은 사이클을 보였다. 이에 반해 볼팅 공법을 이용한
실험체 400-B와 600-B는 각각 15 사이클과 16 사이클로 비슷한 시점에서 최대내력 이후 횡하중이 80 %로 저하되었다. 이로부터 볼팅 공법을
사용하면, $f_{y}$가 600 MPa로 설계된 PLC 전단벽에서도 최대내력 이후의 거동을 연성적으로 유도할 수 있음을 확인하였다.
3.3 최대 휨 모멘트()
Table 4에는 PLC 전단벽 실험체의 $M_{n}$과 KDS 14 20 00 (2021)에서 제시한 콘크리트 등가응력블록에 의해 예측된 공칭 모멘트($M_{n(KDS)}$)와 4.1절에 나타낸 단면분할법에 기반한 2차원 비선형 해석(Yang 2013)에 의해 예측된 최대 휨 모멘트($M_{n(Yang)}$)를 나타내었다. 주철근의 $f_{y}$가 400 MPa인 400-S 및 400-B의 $M_{n}$은
각각 1218.3 kN・m및 1239.0 kN・m이었으며, $f_{y}$가 600 MPa인 600-S 및 600-B에서는 각각 1384.1 kN・m
및 1519.5 kN・m이었다. 볼팅 공법을 사용한 PLC 전단벽 실험체의 $M_{n}$은 스플라이스 슬리브 공법을 사용한 실험체보다 약 1.02~1.10배
높았다. 이로부터 주철근의 항복강도 증가는 $M_{n}$의 향상에 효과적이며, 특히 볼팅 공법에서 그 효과가 더 우수함을 확인할 수 있었다.
한편, PLC 전단벽 실험체에서 $M_{n}$의 안전성은 $M_{n}/ M_{n(KDS)}$와 $M_{n}/ M_{n(Yang)}$을 통해 평가하였는데,
이 비들이 1.0보다 크면 예측모델이 실험결과를 안전측으로 예측하고 있음을 의미한다. 모든 PLC 전단벽 실험체에서 $M_{n}/ M_{n(KDS)}$는
1.01~1.11로 모두 1.0보다 높았다. 그 안전측의 정도는 600-B에서 가장 높았으며, 600-S에서 가장 낮게 나타났다. 또한, PLC 전단벽
실험체에서 $M_{n}/ M_{n(Yang)}$는 0.98~1.07이었는데, 실험체 600-B만을 안전측으로 예측하였다. 하지만, 나머지 실험체들에서의
$M_{n}/ M_{n(Yang)}$는 0.98~1.0으로 실험값과 예측모델 값이 비슷한 수준에 있었다. 따라서, KDS 14 20 00 (2021)을 이용하여 $M_{n}$에 대한 안전한 구조설계를 위해서는 $f_{y}$가 600 MPa인 PLC 전단벽의 기초접합부 연결방식으로서 볼팅 공법을
추천한다. 또한, 단면분할법에 기반한 2차원 비선형 해석(Yang 2013)에 의해 예측된 모델로 PLC 전단벽의 $M_{n}$에 대한 예측 정확도를 향상시킬 수 있다.
Table 4 Test results
|
Specimens
|
$P_{y}$
(kN)
|
$P_{n}$
(kN)
|
$M_{n}$
(kN・m)
|
$\Delta_{y}$
(mm)
|
$\Delta_{80}$
(mm)
|
$\mu_{\Delta}$
|
$W_{80}$
|
$M_{n(KDS)}$
(kN・m)
|
$M_{n(Yang)}$
(kN・m)
|
$\dfrac{M_{n}}{M_{n(KDS)}}$
|
$\dfrac{M_{n}}{M_{n(Yang)}}$
|
|
400-S
|
316
|
351
|
1218.3
|
21.7
|
58.8
|
2.71
|
50.4
|
1147.8
|
1240.7
|
1.06
|
0.98
|
|
400-B
|
331
|
354
|
1239.0
|
18.4
|
72.1
|
3.85
|
81.5
|
1147.8
|
1240.7
|
1.08
|
1.00
|
|
600-S
|
362
|
434
|
1384.1
|
26.3
|
61.0
|
2.32
|
29.2
|
1363.9
|
1413.9
|
1.01
|
0.98
|
|
600-B
|
354
|
434
|
1519.5
|
24.4
|
77.6
|
3.18
|
44.2
|
1363.9
|
1413.9
|
1.11
|
1.07
|
Notes: $P_{y}$: yield load; $P_{n}$: peak load; $M_{n}$: measured moment capacity;
$\Delta_{y}$: displacement at $P_{y}$; $\Delta_{80}$: displacements at 0.8$P_{n}$
after $P_{n}$; $\mu_{\Delta}$: displacement ductility ratio; $W_{80}$: cumulative
work damage indicator at 0.8$P_{n}$ after $P_{n}$; and $M_{n(ACI)}$: nominal moment
capacity predicted by KDS 14 20 00
3.4 변위 연성비($bold\mu_{\Delta}$)
PLC 전단벽 실험체의 $\mu_{\Delta}$는 Watson and Park (1994)가 제안한 다음의 모델을 이용하여 산정하였다.
여기서, $\Delta_{80}$은 최대내력 이후 최대내력의 80 %로 저하되는 시점에서의 변위이며, $\Delta_{y}$는 경계요소 내 주철근이
항복하는 시점에서의 변위를 의미한다. PLC 전단벽 실험체의 $\mu_{\Delta}$는 $f_{y}$에 의해 미치는 영향이 현저하였다. 600-S의
$\mu_{\Delta}$는 2.31로 400-S(=2.71)보다 14.3 % 낮았다. 또한, 600-B와 400-B의 $\mu_{\Delta}$는
각각 3.18과 3.85로서 600-B에서 17.4 % 낮았다. 이로부터 PLC 전단벽은 경계요소 내 주철근의 $f_{y}$가 높을수록 연성이 저하됨을
확인하였다. 또한, PLC 전단벽의 $\mu_{\Delta}$는 기초접합부의 연결방식에 의해서도 현저한 영향을 받았다. $f_{y}$가 400 MPa이면서
볼팅 공법을 사용한 PLC 전단벽 실험체의 $\mu_{\Delta}$는 스플라이스 슬리브 공법을 사용한 실험체보다 1.42배 높았다. 위의 실험결과로부터
볼팅 공법이 스플라이스 슬리브 공법에 비해 PLC 전단벽과 기초접합부의 일체화 거동에 더 효과적인 것으로 판단된다.
3.5 누적 일손상지수($bold W_{c}$)
PLC 전단벽 실험체의 $W_{c}$는 Sheik and Khoury (1997)가 제안한 다음의 모델을 이용하여 산정하였다.
여기서, $V_{n}$은 최대 전단내력을, $n$은 사이클의 수를, $E_{i}$는 $i$번째 사이클에서 이력루프의 면적을, $K_{i}$는 $i$번째
사이클에서 이력루프의 평균 강성을, $\Delta_{i}$는 $i$번째 사이클에서의 평균 최대 횡변위를 나타낸다. $W_{c}$는 각 사이클에 대한
강성 및 누적 에너지를 고려하여 전체 에너지 흡수 능력을 평가하는 지표이다. Fig. 6에는 PLC 전단벽 실험체의 가력 사이클 증가에 따른 $W_{c}$를 나타내었다. 최대내력 도달 이전의 $W_{c}$는 점진적으로 증가하였으나, 최대내력
이후부터 그 증가 기울기가 급격하였다. 특히 13 사이클 이후부터 $f_{y}$가 400 MPa인 실험체들의 증가 기울기가 가장 급격하였다. 결과적으로
동일 사이클에서 $W_{c}$는 400-B에서 가장 높았다. 또한, 최대내력 이후 최대내력의 80 %로 저하되는 시점까지 산정된 $W_{c}$인 $W_{80}$은
400-B에서 81.5로 400-S보다 1.62배 높았다. 특히, 이 값들은 600-S(=29.2)와 600-B(=44.2)보다도 각각 1.73배
및 1.84배 높았다. 이로부터 PLC 전단벽에서 기초접합부 연결방식으로서 볼팅 공법을 사용하면, $f_{y}$가 600 MPa로 설계되더라도 PLC
전단벽의 일체화 거동에 필요한 연성 확보가 가능함을 확인하였다.
Fig. 6 Cumulative work damage indicator
4. 모델 제시
4.1 2차원 비선형 해석 절차
이 절에서는 PLC 전단벽의 연성을 예측하기 위해서 단면분할법에 기반한 2차원 비선형 해석(Yang 2013)을 수행하였다. 2차원 비선형 해석은 Yang (2013)에 의해 제시된 절차를 그대로 이용하였다. 특히, 경계요소를 갖는 특수 전단벽은 횡보강근에 의한 구속량과 콘크리트의 종류에 의해 콘크리트의 연성이
달라지므로, 경계요소 내 콘크리트의 구성방정식은 재료의 취성도 개념($\chi_{b}$)과 단위용적중량($\rho_{c}$)의 함수를 포함하고 있는
Yang (2020)에 의해 제시된 구속된 콘크리트의 응력-변형률 관계를 이용하였다. 또한, 웨브 내의 구속되지 않은 콘크리트는 경량골재의 특징인 최대내력 이후의 취성적인
거동을 고려하기 위해 $\rho_{c}$를 함수로 포함하고 있는 Yang et al. (2014)의 비선형 포물선형 기반 응력-변형률 모델을 이용하였다. 한편, 철근의 응력-변형률 관계는 변형률 경화 구간을 반영할 수 있는 Park and Paulay (1975)의 모델을 이용하였다. 위의 재료들의 구성방정식과 임의 점 (i, j)에서의 응력 및 변형률 분포(Fig. 7)를 이용한 2차원 비선형해석 절차는 다음과 같다; 1) 위험단면($i=1$)에서의 중립축 깊이($c(i,\: 1)$)를 가정한다. 2) 각 구성
재료들의 변형률을 단면 분할된 각 미소층 $k$ 및 $t$층에서 산정한다. 3) 각 분할된 미소층에서 콘크리트의 응력과 단면력을 산정한다. 4) 선형재료로
가정된 철근의 응력과 단면력을 산정한다. 5) 힘의 평형조건의 만족여부를 확인하고, 만족하지 못하는 경우 1) 절차로 돌아가 위의 과정을 반복한다.
6) 각 구성 재료들의 모멘트를 산정하여 합산한다($M(i,\: 1)$). 7) 임의의 위치 $j$에서 위의 1)~5)의 과정으로부터 중립축 깊이($c(j,\:
1)$)와 모멘트($M_{i}(i,\: j)$)를 산정한다. 8) 모멘트 평형조건의 만족여부를 확인하고, 만족하지 못하는 경우 7) 절차로 돌아가
위의 과정을 반복한다. 9) 임의의 단면($(i,\: j)$)에서의 곡률($\phi(i,\: j)$)을 산정하고 모멘트 면적법으로 길이에 따라 분포된
곡률에서 전체 변위를 산정한다. 10) 하중은 $M(i,\: 1)$을 거리($h_{eff}$)로 나누어 산정한다.
Fig. 7 Idealized distributions of strain and stress along the cast-in-place reinforced concrete shear wall
4.2 볼팅 공법을 이용한 PLC 전단벽에서 2차원 비선형 해석 절차의 검증
Fig. 8에는 Yang (2013)에 의해 제시된 2차원 비선형 해석으로부터 얻은 횡하중-횡변위 관계와 PLC 전단벽 실험체의 실험결과를 비교하였다. 2차원 비선형 해석 모델은 $f_{y}$와
기초접합부의 연결방식에 관계없이 최대내력 시점까지의 실험결과를 잘 예측하였다. 반면, 최대내력 이후 거동의 예측에서는 스플라이스 슬리브 공법을 사용한
실험체에서 다소 큰 편차를 보였다. 특히, 이 편차는 $f_{y}$가 600 MPa이고 스플라이스 슬리브 공법을 사용한 실험체에서 더욱 현저하였다.
이는 2차원 비선형 해석모델에서 벽체와 기초접합부가 완전고정으로 가정되어 PLC 전단벽 실험체의 스플라이스 슬리브 공법에서 발생하는 기초접합부의 전단변형
또는 미끄러짐을 반영하지 못하기 때문이다. 결과적으로 2차원 비선형 해석 모델에서 얻은 $\mu_{\Delta}$는 볼팅 공법을 사용한 실험체와 비슷하였지만,
스플라이스 슬리브 공법을 사용한 실험체보다는 큰 값을 보였다. 이는 2차원 비선형 해석 모델이 스플라이스 슬리브 공법을 사용한 실험체의 $\mu_{\Delta}$를
과대평가할 수 있음을 의미한다. 따라서, 이러한 비교분석으로부터 Yang (2013)에 의해 제시된 2차원 비선형 해석 모델은 볼팅 공법을 사용한 PLC 전단벽의 최대내력 이후의 거동, 즉 연성을 합리적으로 예측할 수 있을 것으로
판단된다.
Fig. 8 Comparison of predictions and experiments for lateral load-lateral displacement relationship
4.3 볼팅 공법으로 접합된 PLC 전단벽에서 등가개념을 이용한 횡보강근량 보정계수 제시
Yang (2013)의 횡하중-횡변위 관계의 예측모델은 볼팅 공법을 사용한 실험체의 $\mu_{\Delta}$를 평가할 수 있는 모델을 일반화하기 위해서 변수연구를 수행하였다.
이때 적용된 주요변수는 $f_{ck}$, $f_{y}$, $\rho_{c}$, $N_{u}/A_{g}f_{ck}$, 전체 길이 대비 경계요소 길이의
비($l_{c}/l_{w}$), 경계요소내 주철근지수($\omega_{s}$), 웨브내 전단철근지수($\omega_{v}$) 및 경계요소내 띠철근의
체적지수($\omega_{sh}$)이며, 이들 함수들의 범위는 각각 20~80 MPa, 400~600 MPa, 1,500~2,500 kg/m3, 0~0.20,
0.1~0.2, 0.01~0.50, 0.01~0.12 및 0.05~0.40으로 설정하였다. 이들 변수연구로부터 도출된 $\mu_{\Delta}$는
회귀분석 기법을 이용하여 다음 식으로 일반화할 수 있었다(Fig. 9).
Fig. 9 Regression analysis for $\mu_{\Delta}$
여기서, $\rho_{0}$는 콘크리트 단위용적중량의 참고값(=2,300 kg/m3)을, $f_{0}$는 경계요소 내 주철근 항복강도의 참고값(=400
MPa)을 의미한다. 식 (3)에 제시된 바와 같이 PLC 전단벽의 $\mu_{\Delta}$는 $\rho_{c}$ 및 $f_{y}$에 의해 현저한 영향을 받고 있음을 알 수 있다.
따라서 $f_{y}$가 600 MPa인 PLC 전단벽은 $f_{y}$가 400 MPa이면서 NWC로 제작된 PC 전단벽과 동등한 수준의 연성을 확보하기
위해 KDS 14 20 00 (2021)에서 제시하고 있는 $A_{sh}$를 증가시킬 필요가 있다. 식 (3)을 이용한 $f_{y}$가 400 MPa이면서 NWC로 제작된 PC 전단벽의 변위연성비($\mu_{\Delta(4N)}$)와 $f_{y}$가 600
MPa인 PLC 전단벽의 변위연성비($\mu_{\Delta(6L)}$)는 다음과 같이 정리될 수 있다.
식 (4)와 (5)를 이용하여 $f_{y}$가 600 MPa인 PLC 전단벽에서 $f_{y}$가 400 MPa이면서 NWC로 제작된 PC 전단벽과 동등한 수준의 연성을
확보($\mu_{\Delta(4N)}\approx\mu_{\Delta(6L)}$) 하기 위해서는 등가개념의 횡보강근량 보정계수($\xi$)를 고려하여
다음과 같이 정리할 수 있다.
여기서, $A_{sh(4N)}$는 $f_{y}$가 400 MPa이면서 NWC로 제작된 PC 전단벽에서의 $A_{sh(\min)}$이며, $A_{sh(6L)}$는
$f_{y}$가 600 MPa인 PLC 전단벽에서의 $A_{sh}$이다. $\xi$은 식 (6)과 식 (3)을 이용하여 계산될 수 있으며, 그 계산과정은 다음과 같이 요약할 수 있다; 1) 식 (3)을 이용하여 $f_{y}$와 $A_{sh}$가 각각 400 MPa 및 $A_{sh(\min)}$으로 설계되면서 NWC로 제작된 PC 전단벽의 $\mu_{\Delta(4N)}$를
계산한다. 2) 식 (3)을 이용하여 $f_{y}$와 $A_{sh}$가 각각 600 MPa 및 $A_{sh(\min)}$으로 설계되면서 LWAC로 제작된 PLC 전단벽의 $\mu_{\Delta(6L)}$를
계산한다. 3) 절차 2)에서 계산된 $\mu_{\Delta(6L)}$가 $\mu_{\Delta(4N)}$와의 동등한 값이 될 때까지 $A_{sh}$를
증가시킨다. 4) 최종적으로 결정된 $A_{sh}$에 대해 식 (6)을 이용하여 $\xi$를 계산한다. 위의 절차로부터 산정된 $\xi$는 식으로의 활용을 위해 변수연구를 통한 회귀분석을 수행하였다. 그 결과 PLC
전단벽에서 $\xi$는 $\rho_{c}$가 15.8 % 감소할 때, 약 1.25배 증가하였으며, $f_{y}$가 1.2배 증가할 때, 약 1.18배
증가하였다. 결과적으로 $\xi$는 다음과 같이 일반화할 수 있었다(Fig. 10).
여기서, $\rho_{c(N)}$ 및 $f_{y(N)}$은 NWC로 제작된 PC 전단벽에서의 $\rho_{c}$ 및 $f_{y}$이며, $\rho_{c(L)}$
및 $f_{y(L)}$은 PLC 전단벽에서의 $\rho_{c}$ 및 $f_{y}$이다. 이로부터 $f_{y}$가 600 MPa이고 $\rho_{c}$가
1,600 kg/m3인 PLC 전단벽은 $f_{y}$가 400 MPa이고 $\rho_{c}$가 2,300 kg/m3인 PC 전단벽과 동등한 수준의
$\mu_{\Delta}$를 확보하기 위해서 PLC 전단벽의 $A_{sh}$를 2.31배로 증가시키는 것을 추천한다.
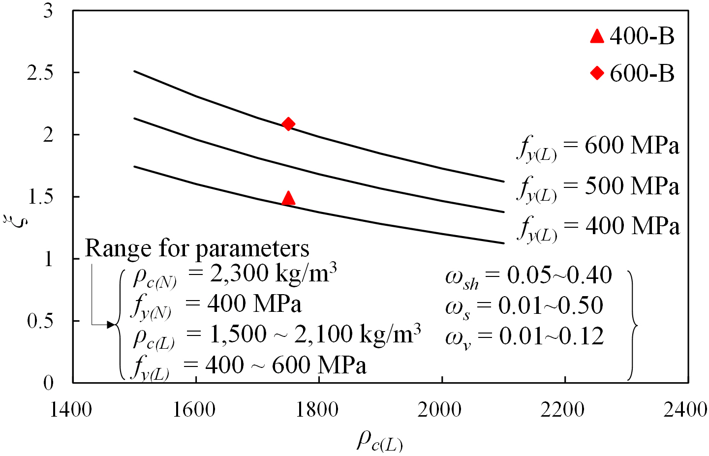
Fig. 11에는 $\rho_{c(L)}$와 $\xi$의 관계를 나타내었다. $\xi$에 대한 예측값은 $\rho_{c(N)}$ 및 $f_{y(N)}$를 일반적인
구조설계에서 사용하는 값인 2,300 kg/m3 및 400 MPa으로 산정하였지만, $\xi$의 실험결과값은 측정된 $\rho_{c}$(=1,755
MPa)와 $f_{y}$(=430.8 MPa 및 624.5 MPa)의 값을 적용하여 산정하였다. $\xi$에 대한 실험결과값은 제시된 예측모델과 비슷하였다.
한편, Fig. 11에서 $f_{y}$가 400 MPa이고 $\rho_{c}$가 2,300 kg/m3인 특수 전단벽과 동등한 수준의 연성능력을 갖는 PLC 전단벽을 설계하기
위해 요구되는 $A_{sh}$는 $f_{y(L)}$가 증가할수록, $\rho_{c(L)}$가 감소할수록 증가하였다. ALWAC 범위($\rho_{c}$=1,500~1,800
kg/m3)에서는 $A_{sh(\min)}$의 약 1.38~2.51배가 요구되었고, 모래경량골재 콘크리트 범위($\rho_{c}$=1,800~2,100
kg/m3)에서는 $A_{sh(\min)}$의 약 1.13~1.98배가 요구되었다. 이와 같은 분석으로부터 $f_{y}$가 400 MPa이면서 NWC로
제작된 PC 전단벽과 동등한 수준의 $\mu_{\Delta}$ 확보에 필요한 $A_{sh}$를 매우 간단하게 산정할 수 있다.
Fig. 10 Generalization of the $\xi$ values
Fig. 11 Comparisons of experimental and prediction values
5. 결 론
이 연구에서는 경계요소 내 주철근의 항복강도($f_{y}$)와 기초접합부 연결방식에 따른 프리캐스트 경량골재 콘크리트 (precast lightweight
aggregate concrete, PLC) 전단벽의 휨 연성을 평가하고 변위연성비($\mu_{\Delta}$)의 등가개념을 이용한 횡보강근량 보정계수($\xi$)를
제시한 결과 다음과 같은 결론을 얻었다.
1) PLC 전단벽 실험체에서 경계요소 내 주철근의 좌굴 및 파단 시점은 $f_{y}$가 증가하거나 스플라이스 슬리브 공법을 사용한 실험체에서 더
일찍 발생하였다. 특히, 볼팅 공법은 $f_{y}$가 600 MPa인 실험체에서도 스플라이스 슬리브 공법을 사용한 실험체에 비해 주철근의 좌굴 및
파단 시점을 지연시키는 데 효과적이었다.
2) 횡하중-횡변위 관계에서 PLC 전단벽 실험체의 최대내력 이후의 거동은 $f_{y}$가 증가하거나 볼팅 공법보다 스플라이스 슬리브 공법을 사용한
실험체에서 더 취성적인 경향을 보였다. 특히, 볼팅 공법을 사용한 PLC 전단벽 실험체는 $f_{y}$가 600 MPa임에도 최대내력 이후의 거동을
연성적으로 유도할 수 있었다.
3) 볼팅 공법을 사용한 PLC 전단벽 실험체의 최대 휨 모멘트($M_{n}$)는 스플라이스 공법을 사용한 실험체보다 약 1.01~ 1.10배 높았다.
KDS 14 20 00에 의해 예측된 $M_{n(KDS)}$은 실험결과를 모두 안전측으로 예측하였는데, 그 안전측의 정도는 $f_{y}$가 600
MPa이면서 볼팅 공법을 사용한 실험체에서 가장 높았다.
4) PLC 전단벽 실험체의 $\mu_{\Delta}$는 $f_{y}$가 높을수록 볼팅 공법보다 스플라이스 슬리브 공법을 사용한 실험체에서 더 낮았다.
특히, 볼팅 공법은 스플라이스 슬리브 공법에 비해 PLC 전단벽 실험체의 연성을 확보하는 데에 효과적이었다.
5) 최대내력 이후 최대내력의 80 %로 저하되는 시점까지 누적 산정된 일손상지수($W_{80}$)는 $f_{y}$가 400 MPa인 실험체에서 스플라이스
슬리브 공법보다 볼팅 공법을 사용한 실험체가 1.62배 높았으며, 이 값들은 $f_{y}$가 600 MPa보다 400 MPa인 실험체에서 1.73~1.84배
높았다.
6) $\xi$는 $\left(\dfrac{\rho_{c(N)}}{\rho_{c(L)}}\right)^{1.3}\left(\dfrac{f_{y(L)}}{f_{y(N)}}\right)^{0.9}$로
제시될 수 있었는데, 여기서 $\rho_{c(N)}$ 및 $f_{y(N)}$은 NWC로 제작된 PC 전단벽의 $\rho_{c}$ 및 $f_{y}$이며,
$\rho_{c(L)}$ 및 $f_{y(L)}$은 PLC 전단벽의 $\rho_{c}$ 및 $f_{y}$이다. 이로부터 PLC 전단벽이 $f_{y}$가
400 MPa이면서 NWC로 제작된 PC 전단벽과 동등한 수준의 $\mu_{\Delta}$ 확보에 필요한 횡보강근량($A_{sh}$)은 2.31배로
추천할 수 있다.
감사의 글
이 논문은 2022년도 정부(과학기술정보통신부)의 재원으로 한국연구재단의 지원을 받아 수행된 연구(No. 2022R1A2B5B0 3002476)이며,
2024학년도 경기대학교 대학원 연구원장학생 장학금 지원에 의하여 수행된 연구임.
References
ACI Committee 318 (2019) Building Code Requirements for Structural Concrete (ACI 318-19)
and Commentary. Farmington Hills, Michigan, USA: American Concrete Institute (ACI).

AIJ (2002) Aij Guidelines for Structural Design of Precast Concrete Connection Emulating
Cast-in-Place Reinforced Concrete. Tokyo, Japan; Architectural Institute of Japan
(AIJ).

Choi, W. J. (2001) An Experimental Study on Structural Properties of the Splice Sleeve
for the P.C members. Master’s thesis, South Korea, Myongji University.

FEMA (2000) Prestandard and Commentary for Seismic Rehabi- litation of Buildings (FEMA
356). Washington, D.C.; Federal Emergency Management Agency (FEMA).

ICC-ES ESR-3433 (2023) ICC-ES Evaluation Report ESR-3433. ICC Evaluation Service.
Brea, California.

KCI (2021) Design of Concrete Structures (KDS 14 20 00: 2021) and Commentary. Seoul,
Korea: Kimoondang Publishing Company. Korea Concrete Institute (KCI). (In Korean)

Kim, O. J., Oh, J. K., and Kang, S. M. (2012) Development and Seismic Performance
of Vertical Joints in Precast Concrete Shear Walls under Cyclic Loads. Journal of
the Korea institute for structural maintenance and inspection 16(1), 140-148. (In
Korean)

Lee, K. H. (2018) Reliable Model Proposals for Mechanical Properties and Mixing Proportioning
of Lightweight Aggregate Concrete using Expanded Bottom Ash and Dredged Soil Granules.
Ph.D. Dissertation, Kyonggi University. (In Korean)

Lee, K. H., and Yang, K. H. (2018) Proposal for Compressive Strength Development Model
of Lightweight Aggregate Concrete Using Expanded Bottom Ash and Dredged Soil Granules.
Journal of the Architectural Institute of Korea Structure and Construction 34(7),
19-26. (In Korean)

Lim, W. Y., and Hong, S. G. (2010) Behavior of Precast Concrete Shear Walls with C-Type
Connections. Journal of the Korea Concrete Institute 22(4), 461-472. (In Korea)

Park, R., and Paulay, T. (1975) Reinforced Concrete Structure. New Jersey, USA: Wiley
Interscience Publication. 196-199.

Seo, S. Y., Kim, S. H., Cha, J. W., and Lim, B. H. (2020) Seismic Capacity of Precast
Concrete Wall Corresponding to Connection Detail of Vertical Bars at Horizontal Joint.
Journal of the Korea Concrete Institute 32(6), 541-551. (In Korean)

Sheikh, S. A., and Khoury, S. S. (1997) A Performance-Based Approach for the Design
of Confining Steel in Tied Columns. ACI Structural Journal 94(4), 421-432.

Wang, G. Q., Liu, Z. L., Li, Y. X., and Chen, X. (2022) Different Thermal Fatigue
Behaviors between Gray Cast Iron and Vermicular Graphite Cast Iron. Research & Development
19(3), 245–252.

Watson, S., and Park, R. (1994) Simulated Seismic Load Tests on Reinforced Concrete
Columns. Journal of Structural Engineering 120(6), 1825-1849.

Xu, G., Wang, Z., Wu, B., Bursi, O., Tan, X., Yang, Q., and Wen, L. (2017) Seismic
Performance of Precast Shear Wall with Sleeves Connection Based on Experimental and
Numerical Studies. Engineering Structures 150, 346-358.

Xue, W., Huang, Q., and Li, Y. (2022) Experimental Study of Precast Concrete Shear
Walls with Spiral-Confined Lap Connections under Cyclic Loads. Journal of Building
Engineering 52, 1-15.

Yang, K. H. (2013) Development of Performance-Based Design Guideline for High-Density
Concrete Walls. Technical Report (2nd year). Kyonggi University.

Yang, K. H. (2020) Estimation of Structural Performance and Establishment of Design
Guidelines of Lightweight Aggregate Concrete. Technical Report, Daejeon, South Korea;
National Research Foundation of Korea (NRF). (In Korean)

Yang, K. H., Mun, J. H., Cho, M. S., and Kang, Thomas H. K. (2014) Stress-Strain Model
for Various Unconfined Concretes in Compression. ACI Structural Journal 111(4), 819-826.

Yang, K. H., Mun, J. H., Oh, N. K. (2021) Flexural Behavior of Lightweight Aggregate
Concrete Shear Walls. Structural Engineering 148(1), 1-14.

Yang, K. H., Mun, J. H., Oh, N. K. (2023) Flexural Behavior of Precast Lightweight
Concrete Shear Walls. ACI Structural Journal 120(2), 217–231.

Zhi, Q., Yuan, Z., Zheng, Y., Jia, L., and Guo, Z. (2024) Experimental Research on
Seismic Performance of Precast Concrete Shear Walls with a Novel Grouted Sleeve Used
in the Connection. Journal of Earthquake Engineering 28(5), 1379- 1403.
