Mobile QR Code QR CODE
Export citation EndNote

  1. 한국철도기술연구원 첨단궤도토목본부 선임연구원 (Senior Researcher, Advanced Rail & Civil Division, Korea Railroad Research Institute, Uiwang 16105, Rep. of Korea)
  2. 한국철도기술연구원 첨단궤도토목본부 책임연구원 (Principal Researcher, Advanced Rail & Civil Division, Korea Railroad Research Institute, Uiwang 16105, Rep. of Korea)
  3. 한국철도기술연구원 첨단궤도토목본부 수석연구원 (Head Researcher, Advanced Rail & Civil Division, Korea Railroad Research Institute, Uiwang 16105, Rep. of Korea)
  4. 우송대학교 철도건설시스템학부 학부생 (Undergraduate Student, Department of Railway Construction Systems, Woosong University, Daejeon 34606, Rep. of Korea)
  5. 한국교통대학교 철도경영・물류학과 학부생 (Undergraduate Student, Department of Railroad Management and Logistics, Korea National University of Transportation, Uiwang 16106, Rep. of Korea)



도시열섬현상, 열전도도, 열확산도, 평판열류계, 시차주사열량계
urban heat island effect, thermal conductivity, thermal diffusivity, hot disk transient plane source, differential scanning calorimetry

1. 서 론

도시열섬현상이란 도시가 발산하는 인공열과 대기오염으로 인해 도시의 기온이 주변 지역보다 높아지는 현상을 말한다. 인구가 천만 명에 이르는 대도시의 경우 도심지 기온이 주변 지역에 비해 6~12 °C 높다는 연구결과도 있었다(Casandra 2013). 열을 식히기 위해 사용되는 에어컨은 막대한 에너지를 소비함으로써 전력수요를 증가시켜 온실가스 배출을 부추기고 있다(Santamouris 2015). 따라서 탄소중립을 달성하고 도시열섬현상을 완화하기 위해서는 단열 성능이 우수한 소재 개발이 요구된다.

나노기술이 전자공학, 의료학, 재료 과학 등 여러 분야의 과학자들로부터 관심을 받기 시작한 1980년대 이래 나노소재를 콘크리트 등 시멘트질 재료에 적용하는 방안에 관한 연구도 지속해서 진행 중이지만 대부분이 미세구조를 개선을 통한 강도 및 내구성 증진을 목표로 수행되었다(Murali et al. 2022; Kim et al. 2023). 최근에는 전류를 인가했을 때 열을 발산하는 탄소나노소재의 전도성을 이용해 겨울철에 구조물을 난방하거나 구조물의 건전성을 평가하거나 방안에 관한 연구도 수행되고 있다(Li et al. 2022). 한편, 본 연구는 수분을 흡수하는 나노소재의 특성을 이용해 콘크리트의 열 성능을 개선하는 방안에 관한 것으로 도시열섬현상 완화 대책과 관련이 있다. 나노소재를 이용한 수많은 연구개발 시도가 있었지만, 흡열 성능 개선에 관한 연구는 아직 수행된 바가 거의 없는 것으로 파악되었다.

콘크리트가 수분을 머금게 조치함으로써 여러 가지 긍정적인 효과를 기대할 수 있다. 이 때문에 콘크리트에 물을 빨아들이는 기능의 소재를 첨가하는 방안에 관한 연구가 지속해서 수행되었다. 예를 들어 SAP(super absorbent polymer)는 열팽창 및 인장 크리프를 저감하고 동결융해 저항성을 증진한다(Schröfl et al. 2022). 또한 표면에서의 수분 증발을 막아 균열 발생을 저감하고 2차 수화반응으로 미세한 균열을 치유하는 기능도 있다(Sujitha et al. 2023). 그러나 시멘트질 재료와 같이 강한 알칼리성을 띠는 환경에서는 팽창성이 떨어진다는 연구 결과도 보고되었다(Kang et al. 2017; Guo et al. 2020).

아직은 단위 소재 수준의 연구에 그치고 있지만 탄소나노소재를 이용하는 방안도 있다. 대표적인 예로 산을 이용한 화학 처리로 친수성 표면 작용기(e.g. hydroxyl, ketone, epoxy)를 도입해 산소 작용기와 수분이 수소 결합을 형성토록 유도하는 방법이 있다. 이를 통해 CNTs(carbon nanotubes)의 수분 흡착이 기존 대비 두 배 가까이 증가했다는 사례도 보고되었다(Kim et al. 2021). 그러나 값비싼 원자재 단가 및 후처리 공정 때문에 대량생산이 어려운 점 등을 종합적으로 고려할 때 CNTs를 대규모 물량이 요구되는 건설 분야에 적용하는 것은 경제적 타당성을 확보하기 어려워 보인다.

한편, 산화 그래핀(graphene oxide)은 흑연으로부터 화학적 박리를 통해 그래핀을 제조하는 과정에서 생기는 중간 생성물이다. 2차원 초박형 구조인데 두께가 0.5~1.5 nm 정도이므로 나노소재로 분류된다. 탄소-탄소 결합의 층상 구조로 높은 기계적 강도와 유연성을 가진다. 또한 탄소 원자 간 SP2 혼성 오비탈 결합으로 훌륭한 전기 전도체이며 산소 그룹으로 인해 친수성을 가진다. 값싼 흑연을 사용하기 때문에 다른 탄소나노소재에 비해 상대적으로 저렴하며 용액 공정을 통해 합성할 수 있으므로 대량생산이 쉽다. 따라서 건설 재료에 적용할 탄소나노소재로 산화 그래핀이 대안이 될 수 있다고 판단했다. 산화 그래핀 1 g 당 물을 0.58 g 정도 흡수할 수 있는데(Lian et al. 2018) 대표적인 흡습제인 실리카 겔이 1 g당 약 0.2 g 흡수한다는 점을 고려할 때 산화 그래핀의 수분흡수 능력이 탁월하다는 사실을 알 수 있다. 산화 그래핀의 높은 친수성은 큰 비표면적(2,650 m2/g)과 관련이 있다. 산소 작용기의 종류 및 농도(탄소 원자 대비 산소 작용기의 비율)를 조정함으로써 흡습 능력을 제어할 수도 있다.

본 연구에서 탄소나노소재가 수분을 이동시키거나 머금을 수 있다는 점에 착안해 산화 그래핀을 첨가한 콘크리트 시편을 제작해 열 성능을 평가했다. 건물의 외피가 기계적 장치나 외부로부터의 전원 공급이 없이 충분한 양의 수분을 필요에 따라 빨아들일 수 있다면 인체가 땀을 흘려 체온을 내리는 것과 유사한 이치로 에너지 사용 없이 머금고 있는 수분의 증발만으로 기화열의 원리에 따라 열을 흡수함으로써 건물의 단열 성능을 향상할 수 있다고 판단했다. 본 논문의 본론부는 평판열류계(hot disk transient plane source)를 이용해 나노콘크리트의 열전도도 및 열확산도를 측정 및 분석하는 과정을 기술한다. 또한 시차주사열량계(differential scanning calorimetry)를 이용한 열 유속 분석으로 온도에 따른 나노콘크리트의 흡열 및 발열 특성을 기술한다. 결론부에서는 본 연구의 의의 및 한계를 고찰함으로써 활용 방안 및 후속 연구 방향을 제시한다.

2. 실 험

2.1 시편 제작

Fig. 1은 시편 제작 전경을 보여주고 있다. 산화 그래핀의 함량에 따라 GO-0, GO-1, GO-2, GO-3 등 네 종류의 시편을 제작했다(Table 1). 여기서 시편의 이름에 포함된 숫자는 산화 그래핀의 함량이다. 예를 들어 GO-1은 산화 그래핀 농도가 1 %인 수용액으로 제작한 시편을 의미한다. 분말 상태로는 배합이 어려워 수용액을 제조하고 이 수용액을 콘크리트 배합에 첨가하는 방법을 사용했다. 1 kg의 수용액을 제조했는데 수용액의 원활한 분산을 위하여 소니케이터를 이용해 24시간 교반을 진행했다. 산화 그래핀 수용액의 양은 결합재 대비 약 8 %(30 kg)였다. 예를 들어 GO-1의 경우 산화 그래핀의 농도가 1 %인 수용액을 사용했음을 의미한다. 따라서 GO-1은 결합재 대비 약 0.08 %의 산화 그래핀을 포함하는 것으로 무게로 따지면 단위 부피(1 m3)의 콘크리트당 300 g의 산화 그래핀이 첨가된 것이다. 따라서 GO-0~GO-3에 첨가된 산화 그래핀의 양은 0~900 g/m3이었다. 이 콘크리트 배합을 이용해 지름이 100 mm인 원주형 공시체를 제작했다. 평판열류계 실험에서는 이 공시체를 10 mm 두께로 잘라 사용했고 시차주사열량계 실험에서는 분쇄해 사용했다.

Fig. 1 Sample preparation
../../Resources/KCI/JKCI.2024.36.3.187/fig1.png
Table 1 Mix proportion

Specimen

GO

(%)

Unit weight (kg/m3)

W/B

(%)

S/a

(%)

Slump (mm)

GOS (GO)

W

Binder

S

G

OPC

GGBFS

FA

Immediately after

60 min

GO-0

0.00

30 (0.00)

171

342

27

11

876

848

45.0

51.0

210

170

GO-1

0.08

30 (0.30)

GO-2

0.16

30 (0.60)

GO-3

0.24

30 (0.90)

Notes: GO: graphene oxide; GOS: graphene oxide solution; W: water; OPC: ordinary portland cement; GGBFS: ground granulated blast furnace slag; FA: fly ash; S: sand; G: gravel; W/B: water-binder ratio; S/a: sand aggregate ratio

시험체 제작에 사용된 재료는 시멘트, 잔골재, 굵은골재, 혼화제이며, 각 소재는 KS 기준을 만족했다(KATS 2019a, 2019b, 2022, 2023). 1종 보통 포틀랜드 시멘트를 사용했고 일반 레미콘 현장에서 사용하는 결합재의 비율을 참고해 고로슬래그와 플라이 애시 비율을 산정했다. 잔골재로는 비중이 2.55인 부순 모래를 사용했고 굵은골재로는 비중이 2.61인 부순 자갈을 사용했다. 굵은골재의 최대치수는 25 mm였고 폴리카르본산계 혼화제를 사용했다.

2.2 평판열류계 실험

2.2.1 실험 방법

열전도도는 물질의 열 확산 성질을 나타내는 지표 중 하나로 제조업계에서의 폴리머 사출 성형, 건설 및 우주・항공업계에서의 단열, 및 반도체업계에서의 부품 방열 등 여러 분야에서 널리 적용되므로 이를 정확히 산정하는 것은 중요하다. 열전도도를 측정하기 위해 수행하는 열분석은 정상상태(steady-state) 분석 및 일시적(transient) 분석으로 구분할 수 있다. 정상상태 분석은 일정한 온도가 유지되는 열 균형 상태에서 시스템 내부의 열 분포를 파악하는 것을 목적으로 하지만 일시적 분석은 가열이나 냉각으로 인해 시간에 따라 물질의 온도가 어떻게 달라지는지 파악하고자 실시한다. 평판열류계법은 일시적 분석 방법의 일종으로 전기 저항체 성격을 띠는 온도센서를 열전도도를 구하고자 하는 두 개의 같은 재질의 시편 사이에 끼워 밀착 고정하고 여기에 전류를 인가해 열을 가한 후 시간에 따른 시편 표면에서의 온도변화를 측정함으로써 열전도도를 구하는 방법이다(Fig. 2).

Fig. 2 Transient plane source (hot disk) method(Tarasovs et al. 2021)
../../Resources/KCI/JKCI.2024.36.3.187/fig2.png

평판열류계 실험법의 이론적인 근간은 외부 열원을 고려한 열 방정식에 있다(ISO 2008; ISO 2017). 열 방정식은 일시적이고 국부적인 열 공급으로 인한 물질의 내부에서의 시간에 따른 온도변화가 공간의 함수인 온도 장(temperature field)을 라플라스 연산자로 편미분 한 값에 비례함을 나타내는데, 외부 열원이 있는 경우 이 식에 열원의 강도를 나타내는 항($Q/\rho c$)이 추가된다(식 (1)). 외부 열원을 고려한 열 방정식의 해는 열 방정식의 기본 해(fundamental solution)와 외부 열원의 강도를 나타내는 항($Q/\rho c$)을 합성(convolution)함으로써 구할 수 있으며(식 (2)), 여기에 프로브(온도센서)의 형상적 특징 및 열적 특성을 적용하면 프로브의 출력에 따른 시편에서의 온도 증가분 사이의 관계를 도출할 수 있다(식 (3)).

(1)
$\alpha\nabla^{2}T+\dfrac{Q}{\rho c}=\dfrac{\partial T}{\partial t}$

where, $\alpha$ : thermal diffusivity

$T$ : temperature

$Q$ : amount of heat released per unit time per unit volume

$\rho$ : density

$c$ : specific heat

$t$ : time

(2)
$ T(\vec{r},\: t)= T_{0}+\int_{0}^{t}\int_{V^{'}}\dfrac{Q\left(\vec{\xi},\: t'\right)}{\rho c}\dfrac{1}{\left[4\pi\alpha\left(t-t^{'}\right)\right]^{1.5}}\\\ \exp\left(-\dfrac{(\vec{r}-\vec{\xi})^{2}}{4\alpha\left(t-t^{'}\right)}\right)d^{3}\vec{\xi}dt^{'} $

where, $T$ : temperature

$\vec{r}$ : position in the specimen

$t$ : time

$T_{0}$ : initial temperature

$V^{'}$ : volume of heat source

$Q$ : amount of heat released per unit time per unit volume

$\vec{\xi}$ : position in the source

$t'$ : source time (the source is turned on at $t'=0$)

$\rho$ : density

$c$ : specific heat

$\alpha$ : thermal diffusivity

(3)은 본 연구에서 우리가 열전도도를 구하기 위해 사용한 식으로 얇은 디스크 형상의 프로브를 열원(hot disk transient plane source)으로 사용할 때 프로브의 출력($P_{0}$) 및 시편 표면에서의 온도 증가분($\triangle T_{s}$)의 관계를 나타낸다(He 2005). 여기서 $\tau$는 특정시간비율(characteristic time ratio)로 시편의 크기 및 열확산도($\alpha$)에 따라 달라진다(식 (4)).

(3)
$ \Delta T_{s}(\tau)= \dfrac{P_{0}}{\pi^{1.5}r\lambda}[m(m+1)]^{-2}\\\ \int_{0}^{\tau}\sigma^{-2}\left[\sum_{l=1}^{m}l\sum_{k=1}^{m}k\exp\left(\dfrac{-\left(l^{2}+k^{2}\right)}{4m^{2}\sigma^{2}}\right)I_{0}\left(\dfrac{lk}{2m^{2}\sigma^{2}}\right)\right]d\sigma $

where, $\Delta T_{s}$ : increase in the temperature of the specimen surface

$\tau$ : characteristic time ratio

$P_{0}$ : power output of the probe

$r$ : radius of the outermost ring source

$\lambda$ : thermal conductivity

$m$ : number of concentric ring sources

$\sigma$ : integration variable

$l$ : dummy variable

$k$ : dummy variable

$I_{0}$ : modified Bessel function

(4)
$\tau =\dfrac{\sqrt{\alpha t}}{r}$

where, $\tau$ : characteristic time ratio

$\alpha$ : thermal diffusivity

$t$ : time

$r$ : radius of the outermost ring source

편의를 위해, 식 (3)의 뒷부분을 무차원 특정시간함수(식 (5))를 정의한 후 치환하고 열전도도($\lambda$)와 온도 증가분($\triangle T_{s}$)의 자리를 바꾸면 우변에 있는 실험 데이터($P_{0}$, $\triangle T_{s}$)를 이용해 좌변에 있는 열전도도를 산정할 수 있음을 알 수 있다(식 (6), ISO 2008). 여기서 구해지는 열전도도는 실험에 기반하므로 측정된 열전도도($\lambda_{mea}$, measured thermal conductivity)라고 명명했다.

(5)
$ D(\tau)= [m(m + 1)]^{-2}\\\ \int_{0}^{\tau}\sigma^{-2}\left[\sum_{l=1}^{m}l\sum_{k=1}^{m}k\exp\left(\dfrac{-\left(l^{2}+ k^{2}\right)}{4 m^{2}\sigma^{2}}\right)I_{0}\left(\dfrac{l k}{2 m^{2}\sigma^{2}}\right)\right]d\sigma $

where, $D$ : dimensionless specific time function

$m$ : number of concentric ring sources

$\tau$ : characteristic time ratio

$\sigma$ : integration variable

$l$ : dummy variable

$k$ : dummy variable

$I_{0}$ : modified Bessel function

(6)
$\lambda_{mea}=\dfrac{P_{0}}{\pi^{1.5}r\left(\dfrac{\Delta T_{s}}{D}\right)}$

where, $\lambda_{mea}$ : measured thermal conductivity

$P_{0}$ : power output of the probe

$r$ : radius of the outermost ring source

$\Delta T_{s}$ : increase in the temperature of the specimen surface

$D$ : dimensionless specific time function

한편, 열의 전도 및 확산 이론에 따른 열전도도($\lambda$)와 열확산도($\alpha$)의 관계는 식 (7)과 같다. 여기서 구한 열전도도는 이론에 기반하므로 계산된 열전도도($\lambda_{cal}$, calculated thermal conductivity)라고 명명했다.

(7)
$\lambda_{cal}=\rho c\alpha$

where, $\lambda_{cal}$ : calculated thermal conductivity

$\rho$ : density

$c$ : specific heat

$\alpha$ : thermal diffusivity

(8)은 최소제곱법(least square method)을 이용한 온도 증분($\Delta T_{s}$)과 특정시간함수($D$)의 관계에 대한 선형회귀 모델의 결정계수($R^{2}$)를 구하는 식이다. $R^{2}$은 0에서 1 사이의 값을 가지는데 1에 가까울수록 모델이 데이터를 잘 예측하는 것이다. 따라서 $R^{2}$은 $\Delta T_{s}/D$의 정확도를 나타내는 척도이다.

(8)
$R^{2}= 1-\dfrac{\sum_{i=1}^{n}\left[\left(\Delta T_{s}\right)_{i}-\left(\hat{\Delta T_{s}}\right)_{i}\right]^{2}}{\sum_{i=1}^{n}\left[\left(\Delta T_{s}\right)_{i}-\left(\overline{\Delta T_{s}}\right)\right]^{2}}$

where, $R^{2}$ : coefficient of determination

$\Delta T_{s}$ : increase in the temperature of the specimen surface

$\hat{\Delta T_{s}}$ : predicted $\Delta T_{s}$

$\overline{\Delta T_{s}}$ : average of $\Delta T_{s}$

2.2.2 실험 결과

총 8개의 시편을 이용해 평판열류계 실험을 시행했다(Table 2). 산화 그래핀의 함량은 0~0.24 %였고 측정온도는 23~100 °C였다. 각 시편 당 3회씩 측정이 이뤄졌다. 국제표준(ISO 2008; ISO 2017)에 따라 열전도도를 산출하는 Hot Disk 社의 TPS 2500 S를 사용했다(Fig. 3(a)). Fig. 3(b)는 시험 중인 나노콘크리트 시편을 보여주고 있다.

Table 2 Hot disk test results

Specimen

GO

(%)

Temp.

(°C)

$P_{0}$

(mW)

$r$

(mm)

$c$

(J/g°C)

Test no.

$\alpha$

(mm2/s)

$\lambda_{mea}$

(W/m°C)

$\lambda_{cal}$

(W/m°C)

$\Delta T_{s}/D$

(-)

$R^{2}$

(-)

GO-0

0.00

23

300

6.403

1.127

1

0.944

2.415

2.421

3.485

0.999948

2

0.948

2.423

2.432

3.473

0.999957

3

0.947

2.425

2.429

3.470

0.999956

GO-0

0.00

100

300

6.403

1.127

1

0.924

2.360

2.369

3.566

0.999757

2

0.944

2.413

2.420

3.487

0.999933

3

0.930

2.384

2.386

3.530

0.999829

GO-1

0.08

40

150

6.403

1.063

1

0.661

1.596

1.599

2.635

0.999668

2

0.669

1.609

1.616

2.615

0.999708

3

0.674

1.623

1.630

2.593

0.999762

GO-1

0.08

100

200

6.403

1.063

1

0.721

1.750

1.744

3.205

0.999921

2

0.706

1.714

1.707

3.273

0.999906

3

0.703

1.704

1.701

3.293

0.999839

GO-2

0.16

40

300

6.403

1.033

1

0.688

1.612

1.616

5.218

0.999987

2

0.699

1.635

1.642

5.147

0.999992

3

0.686

1.610

1.613

5.225

0.999980

GO-2

0.16

100

200

6.403

1.033

1

0.580

1.357

1.362

4.135

0.999150

2

0.575

1.346

1.350

4.167

0.998809

3

0.615

1.442

1.444

3.891

0.999825

GO-3

0.24

23

200

6.403

1.026

1

0.604

1.404

1.410

3.995

0.999804

2

0.606

1.404

1.413

3.995

0.999789

3

0.602

1.403

1.405

4.000

0.999787

GO-3

0.24

100

150

6.403

1.026

1

0.496

1.150

1.156

3.659

0.999983

2

0.497

1.155

1.161

3.644

0.999990

3

0.497

1.156

1.159

3.640

0.999989

Table 2는 프로브의 출력($P_{0}$) 및 시편의 온도 증가분과 무차원 특정 시간 함수($\Delta T_{s}/D$) 등 주요 실험 데이터와 식 (6)과 식 (7)을 이용해 산정된 열전도도($\lambda_{mea}$, $\lambda_{cal}$)를 보여주고 있다. 비열($c$)은 별도의 시차주사열량계 실험을 통해 구한 값을 사용했다.

Fig. 3 Hot disk test
../../Resources/KCI/JKCI.2024.36.3.187/fig3.png
Fig. 4 $D -\tau$ plot
../../Resources/KCI/JKCI.2024.36.3.187/fig4.png

Fig. 4는 식 (5)를 도시한 것으로 특정시간함수($D$)와 특정시간비율($\tau$)의 관계를 나타낸다. 식 (5)에 포함된 수열의 합 및 이에 대한 적분 등 복잡한 연산에 따른 시간과 비용을 절감하기 위해 $\tau$가 0~1인 범위 내 9개의 위치에서 $D$를 계산한 후 이 값에 가장 근접한 3차 포물선(best-fit curve)을 찾아 사용했다.

Figs. 5~7은 산화 그래핀을 2 % 혼입한 시편(GO-2)을 이용해 100 °C에서 실험해 얻은 데이터 및 분석 과정을 보여준다. Fig. 5는 실험으로 얻은 원시 데이터를 그대로 도시한 것으로 시간($t$)과 온도 증분($\Delta T_{s}$)의 관계를 보여준다. 실험이 진행된 약 10~15초 동안 시편의 온도가 2.3 °C에서 3.2 °C로 약 0.9 °C 올라갔음을 보여주고 있다. Fig. 6은 이 온도 증분 데이터를 특정시간비율($\tau$)에 대응해 도시한 것이다(식 (4)). Fig. 7은 온도증분($\Delta T_{s}$)을 특정시간함수($D$)에 대응해 도시한 것으로 $\Delta T_{s}$와 $D$가 선형 비례 관계에 있음을 보여준다. 여기서 이 그래프의 기울기가 바로 열전도도($\lambda_{mea}$) 산정에 필요한 $\Delta T_{s}/D$값이 된다(식 (6), Table 2). 주목해야 할 사실은 특정시간비율($\tau$)은 열확산도($\alpha$)의 함수이므로(식 (4)) $\alpha$에 따라 $\tau$가 달라지고, 특정시감함수($D$)는 $\tau$의 함수이므로(식 (5)) $\tau$에 따라 $D$가 달라지므로, 결국 Fig. 7에 도시된 $\Delta T_{s}-D$ 플롯의 모양(즉, $\Delta T_{s}/D$값)은 $\alpha$에 어떤 값을 입력하느냐에 따라 달라진다는 점이다. 그러므로 측정된 열전도도($\lambda_{mea}$)는 실험 장치를 조작하는 자가 입력하는 열확산도($\alpha$)에 좌우된다.

Fig. 5 $\Delta T_{s}-t$ plot (GO-2, 100 °C)
../../Resources/KCI/JKCI.2024.36.3.187/fig5.png
Fig. 6 $\Delta T_{s}-\tau$ plot (GO-2, 100 °C)
../../Resources/KCI/JKCI.2024.36.3.187/fig6.png
Fig. 7 $\Delta T_{s}-D$ plot (GO-2, 100 °C)
../../Resources/KCI/JKCI.2024.36.3.187/fig7.png

따라서 본 연구에서 $\alpha$에 따라 달라지는 실험치($\lambda_{mea}$)를 검증하기 위해 계산치($\lambda_{cal}$)를 이용했다. 먼저 임의의 $\alpha$를 적용해 $\lambda_{mea}$와 $\lambda_{cal}$을 식 (6)과 식 (7)에 따라 각기 산정한 후 두 값을 비교하고 시산법(trial and error method)을 이용해 이 두 값의 차이가 무시할 정도로 작아지는 $\alpha$를 찾았다(Table 2).

Fig. 8 $\lambda_{cal}-\lambda_{mea}$ plot
../../Resources/KCI/JKCI.2024.36.3.187/fig8.png
Fig. 9 $\lambda -\alpha$ plot
../../Resources/KCI/JKCI.2024.36.3.187/fig9.png

Fig. 8은 이러한 과정을 통해 찾은 $\alpha$를 이용해 산정한 각 시편의 열전도도를 도시한 것으로 측정치($\lambda_{mea}$)와 계산치($\lambda_{cal}$)가 거의 같음을 보여주고 있다. Fig. 9는 열확산도($\alpha$)를 열전도도($\lambda_{mea}\approx\lambda_{cal}$)에 대응해 도시한 것으로 열확산도와 열전도도가 선형비례 관계에 있음을 보여주고 있다. 열확산도($\alpha$)는 0.5~1.0 mm2/s 범위에 있었으며 열전도도는 1.1~2.4 W/m°C 범위에 있었다(Table 2). 산화 그래핀이 혼입된 시편(GO-1, GO-2, GO-3)의 열전도도는 1.1~1.8 W/m°C 수준으로 일반 콘크리트 시편(GO-0)의 열전도도인 2.3~2.4 W/m°C에 비해 낮아지는 경향을 보였다. 또한, 열확산도도 탄소나노소재를 첨가한 시편(GO-1, GO-2, GO-3)의 경우 0.5~0.7 mm2/s 정도를 보여 약 0.9 mm2/s를 보인 일반 시편(GO-0)에 비해 낮았다. 따라서 산화 그래핀 혼입으로 콘크리트의 열전도 및 열확산 특성이 달라지는 것을 확인할 수 있었다.

Figs. 10~11은 산화 그래핀 혼입량에 따른 열전도도 및 열확산도의 변화를 보여주고 있다. 산화 그래핀 혼입량이 증가함에 따라 열전도도와 열확산도가 작아지는 경향을 보였다. 따라서 산화 그래핀 혼입량과 열전도도 및 열확산도가 반비례함을 확인했다.

Fig. 10 $\alpha -$GO content plot
../../Resources/KCI/JKCI.2024.36.3.187/fig10.png
Fig. 11 $\lambda -$GO content plot
../../Resources/KCI/JKCI.2024.36.3.187/fig11.png

2.3 시차주사열량계 실험

시차주사열량계는 물질의 열적 성능을 분석하는 또 다른 실험 장치 중 하나로 화학, 생물학, 재료공학 등 다양한 분야에서 활용되고 있다. 이 실험으로 어떤 온도에서 물질의 분해, 결정화, 혼합 등이 일어나는지 확인함으로써 물질의 열적인 안정성을 확인할 수 있으며, 특히 열의 출입을 측정함으로써 승온에 따른 물질의 발열 및 흡열 성질을 파악할 수 있다(ISO 2023).

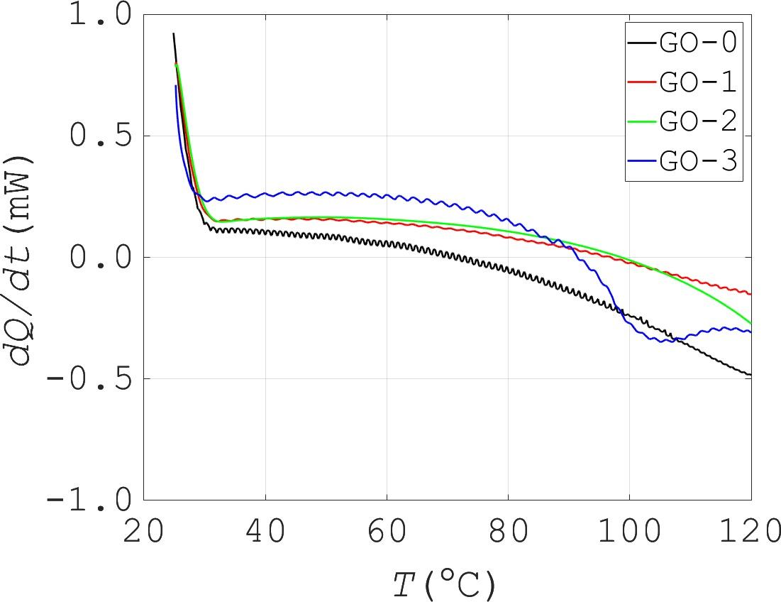
Table 3Figs. 12~14는 일반콘크리트(GO-0) 및 나노콘크리트(GO-1, GO-2, GO-3) 시편을 이용해 실시한 시차주사열량계 실험의 데이터 및 이를 분석한 결과를 보여준다. 시편 온도는 1분당 10 °C씩 거의 일정하게 상승해 12분이 지난 시점에서 약 120 °C에 이르렀다. 모든 시편에서 시간에 따른 시편의 온도변화는 거의 같았다.

Table 3 Differential scanning calorimetry (DSC) test results

Specimen

$T_{d Q/dt=0}$

( °C)]

$\Delta Q_{\max}$

(mJ)

GO-0

71.10

46.29

GO-1

96.97

71.88

GO-2

98.58

78.44

GO-3

91.37

98.07

Notes: $T_{d Q/dt=0}$: temperature at which $d Q/dt=0$; $\Delta Q_{\max}$: largest $\Delta Q$
Fig. 12 $d Q/dt -T$ plot
../../Resources/KCI/JKCI.2024.36.3.187/fig12.png
Fig. 13 $\Delta Q-T$ plot
../../Resources/KCI/JKCI.2024.36.3.187/fig13.png
Fig. 14 $\Delta Q-$ GO content plot
../../Resources/KCI/JKCI.2024.36.3.187/fig14.png

Fig. 12는 온도에 따른 열 유속($d Q/dt$)의 변화를 보여준다. 여기서 열 유속이란 시편에 열이 전달되는 양을 나타내는 지표로 양(+)의 값은 시편이 열을 흡수했다는 것을 의미하며 음(-)의 값은 시편이 열을 방출했다는 것을 의미한다. 따라서 Fig. 12를 통해 각 시편이 시간에 따라 얼마만큼의 열을 흡수하고 방출했는지 찾을 수 있다. 모든 시편에서 실험이 시작된 23 °C 정도의 낮은 온도에서는 열 유속이 양의 값을 보이다가 온도가 올라감에 따라 점차 감소해 음의 값으로 돌아서는 경향을 보였다. 일반적으로 말해 저온 대역에서는 열을 흡수하다가 온도가 올라가 고온 대역에서는 열을 방출했음을 시사하는 것이다. 그러나 열 유속의 부호가 바뀌는 온도는 시편에 따라 달랐다. 일반콘크리트(GO-0)의 경우 이 온도($T_{d Q/dt=0}$)가 약 71 °C였으나 나노콘크리트(GO-1, GO-2, GO-3)에서는 91~98 °C로 측정되었다(Table 3, Fig. 12). 따라서 나노콘크리트가 흡열성을 유지하는 온도 범위가 일반 콘크리트가 흡열성을 유지하는 온도 범위에 비해 20~30 °C 더 넓었다.

Fig. 13은 온도에 따라 시편이 흡수하거나 방출한 열의 양($\Delta Q$)을 보여준다. 여기서 $\Delta Q$는 열 유속($d Q/dt$)을 시간에 따라 적분한 값이다(식 (9)). 열 유속이 승온에 따라 감소하기 때문에 $\Delta Q$도 모든 시편에서 온도가 높아짐에 따라 증가하다가 감소하는 경향을 보였는데 최대 흡열량($\Delta Q_{\max}$)은 시편에 따라 차이를 보였다. 일반콘크리트(GO-0)의 최대 흡열량은 약 45 mJ이었고 나노콘크리트(GO-1, GO-2, GO-3)의 최대 흡열량은 71~98 mJ 정도로 나노콘크리트의 흡열량이 일반 콘크리트의 흡열량보다 26~53 mJ 정도 더 높았다(Table 3). 따라서 산화 그래핀 혼입으로 콘크리트의 열출입 특성이 달라졌다.

Fig. 13에서 GO-3 시편의 열 유속이 100 °C 부근에서 국부적으로 급격히 떨어졌다. 예기치 못한 현상으로 100 °C 부근에서 급격히 열을 방출하기 시작했음을 시사하는 것이다. 이에 대한 이유를 명확히 설명할 다른 데이터는 없지만 한 가지 개연성 있는 시나리오는 나노소재의 분산과 관련이 있다. GO-3 시편 제작에 사용된 산화 그래핀 수용액에서 침전물을 발견되었다. 이것은 소니케이터를 이용해 24시간 교반을 진행했음에도 불구하고 고형분이 관찰된 것으로 나노소재가 균등하게 분산되지 못했음을 의미한다. 이 때문에 나노소재에 흡착되어 있던 물 분자의 상변화 및 이에 따른 열출입 특성이 달라졌을 가능성이 있다.

Fig. 14는 산화 그래핀 혼입량에 따른 흡열량의 변화를 보여주고 있다. 산화 그래핀 혼입량이 증가함에 따라 흡열량이 커지는 경향을 보였다. 따라서 산화 그래핀 혼입량과 흡열량이 비례함을 확인했다.

(9)
$\Delta Q =\int_{t_{1}}^{t_{2}}\dfrac{d Q}{dt}dt$

where, $\Delta Q$ : quantity of heat absorbed or released

$\dfrac{d Q}{dt}$ : quantity of heat transferred per unit time

$t$ : time

3. 결 론

본 논문의 주안점 중 하나는 평판열류계 실험을 이용해 콘크리트의 열 성능을 평가하는 방법에 관한 고찰이다. 이 실험은 충분히 큰 시편(지름 100 mm, 두께 10 mm)을 사용하기 때문에 복합재료인 콘크리트에 알맞다고 판단했다. 그러나 이 방법을 사용하기 위해서는 열확산도를 가정해야 했고 이렇게 가정된 열확산도에 따라 열전도도 측정치가 좌우됨을 확인했다. 입력된 열확산도에 따라 열전도도가 달라진다는 말이다. 이에 따라 본 논문은 분석기기가 가정된 열확산도를 기반으로 제공하는 열전도도 측정치를 그대로 사용하기보다는 이론에 기반한 계산치를 이용해 이 측정치를 검증하는 방안을 제시했다. 열확산도를 직접 측정하는 별도의 방법이 없는 것은 아니다. 고강도 단기 광 펄스를 이용하는 방법으로 섬광법(flash method)이라고 부른다. 이 방법을 사용하면 열확산도 없이도 열전도도를 구할 수 있지만 시편의 크기가 너무 작아 문제가 될 수 있다. 지름이 10~25 mm이고 두께가 0.5~3.0 mm 정도인 시편을 사용하기 때문에 골재를 포함하는 콘크리트 시편에는 적합하지 않았다. 콘크리트는 수 밀리미터에 이르는 골재를 포함하고 있어 작은 시편을 사용하면 균질성(대표성)을 보장하기 어렵기 때문이다.

본 연구로 산화 그래핀 혼입을 통해 콘크리트의 열적 성능이 달라진다는 점을 확인했다. 혼입량이 증가함에 따라 열전도도와 열확산도는 감소했고 흡열량은 증가했다. 탄소나노소재를 혼입한 콘크리트가 일반콘크리트에 비해 흡열 성능이 우수하다는 사실을 실험을 통해 밝혀낸 것이다. 이를 검증할 수 있는 추가적인 실험이 필요하겠지만 나노소재의 또 다른 적용 가능성을 보여준 것이다. 예를 들어, 나노콘크리트를 건축 마감재로 활용할 수 있을 것이다. 외장재로 사용하면 건물의 열 손실을 줄여 에너지 소비를 줄일 수 있을 것이다. 내장재로 사용하면 열교를 최소화함으로써 실내온도를 안정적으로 유지하고 결로를 방지해 쾌적한 실내 환경 조성에 기여할 수 있을 것이다.

본 연구에서 평판열류계 및 시차주사열량계 등을 이용한 열 성능 평가로 산화 그래핀을 혼입한 나노콘크리트가 일반콘크리트에 비해 열을 흡수하는 성능이 우수하다는 사실을 밝혀냈다. 이러한 성능 개선이 많은 양의 물을 빨아들일 수 있는 나노소재의 성질과 관련이 있을 것으로 추정하지만 아직 이를 입증할 어떠한 연구도 수행된 바가 없다. 따라서 혼입된 나노소재가 어떠한 작용을 통해 콘크리트의 열 성능에 영향을 미치는지를 파악하기 위해서는 추가적인 연구가 요구된다. 이를 위해 분자동역학 시뮬레이션을 이용할 수 있다. 이 기법으로 수분 흡탈착 등의 화학 반응과 온도변화 간 상호 작용을 규명할 수 있을 것으로 기대된다. 원리를 파악하기 위한 해석적 접근과 더불어 실험적인 연구도 병행 추진되어야 한다. 수분 흡착이 일어나는 산소 작용기의 종류 및 농도를 조정하거나, 기공 구조나 비표면적 제어를 위해 표면을 개질하는 등의 방안을 시도해 볼 수 있다. 한편, 콘크리트는 골재를 포함하기 때문에 균질하다고 말하기 어려워 열 성능 평가 실험의 반복성을 보장하기 어려우므로 앞으로는 콘크리트 보다는 시멘트 페이스트 시편을 이용하는 방안도 고려해 보는 것이 좋겠다.

감사의 글

이 연구는 한국철도기술연구원 자체사업(나노탄소소재를 이용한 흡열 콘크리트 기술개발 타당성 검토, RP23140B)의 연구비 지원으로 수행되었습니다.

References

1 
Casandra (2013) What Is the Heat Island Effect?. Green Ribbon, http://www.gardinergreenribbon.com/heat-island-effect/#commentform Accessed 08 September 2023.URL
2 
Guo, S., Forooshani, P. K., Dai, Q., Lee, B. P., and Si, R. (2020) Design of pH-responsive SAP Polymer for Pore Solution Chemistry Regulation and Crack Sealing in Cementitious Materials. Composites Part B 199, 108262.DOI
3 
He, Y. (2005) Rapid Thermal Conductivity Measurement with a Hot Disk Sensor: Part 1. Theoretical Considerations. Thermochimica Acta 436, 122-129.DOI
4 
ISO/TC 61/SC 5 (2008) Plastics-Determination of Thermal Conductivity and Thermal Diffusivity - Part 2: Transient Plane Heat Source (Hot Disk) Method (ISO 22007-2: 2008). Geneva, Switzerland: International Organization for Standardization (ISO). 1-17.URL
5 
ISO/TC 61/SC 5 (2017) Plastics-Determination of Thermal Conductivity and Thermal Diffusivity - Part 1: General Principles (ISO 22007-1: 2017). Geneva, Switzerland: International Organization for Standardization (ISO). 1-19.URL
6 
ISO/TC 61/SC 5 (2023) Plastics-Differential Scanning Calorimetry (DSC) - Part 1: General Principles (ISO 11357-1: 2023). Geneva, Switzerland: International Organization for Standardization (ISO). 1-34.URL
7 
Kang, S.-H., Hong, S.-G., and Moon, J. (2017) Absorption Kinetics of Superabsorbent Polymers (SAP) in Various Cement- based Solutions. Cement and Concrete Research 97, 73-83.DOI
8 
KATS (2019a) Standard Test Method for Sieve Analysis of Fine and Coarse Aggregates (KS F 2502). Seoul, Korea: Korea Standard Association (KSA), Korea Agency for Technology and Standards (KATS). (In Korean)URL
9 
KATS (2019b) Testing Method for Density and Absorption of Coarse Aggregate (KS F 2503). Seoul, Korea: Korea Standard Association (KSA), Korea Agency for Technology and Standards (KATS). (In Korean)URL
10 
KATS (2022) Standard for Cement for Concrete (KS L 5201). Seoul, Korea: Korea Standard Association (KSA), Korea Agency for Technology and Standards (KATS). (In Korean)URL
11 
KATS (2023) Admixtures for Concrete (KS F 4925). Seoul, Korea: Korea Standard Association (KSA), Korea Agency for Technology and Standards (KATS). (In Korean)URL
12 
Kim, D. Y., Kim, K. S., Yang, C. M., and Kim, J. P. (2021) Water Absorption Behavior on a Highly Dense SWCNT Film with an Enhanced Interstitial Space. ACS Omega 2021 6(10), 7015-7022.URL
13 
Kim, G.-R., Suh, H.-W., Cho, S.-M., Bae, B.-I., and Bae, S.-C. (2023) Effect of the Mixing Ratio of Graphene Oxide, Functionalized Carbon Nanotube, and Nano-Silica on the Mechanical Performance of Cement Paste. Journal of the Korea Concrete Institute 35(1), 101-109. (In Korean)DOI
14 
Lian, B., De Luca, S., You, Y., Alwarappan, S., Yoshimura, M., Sahajwalla, V., Smith, S. C., Leslie, G., and Joshi, R. K. (2018) Extraordinary Water Adsorption Characteristics of Graphene Oxide. Chemical Science 9(22), 5106-5111.DOI
15 
Murali, M., Alaloul, W. S., Mohammed, B. S., Musarat, M. A., Salaheen, M. A., Al-Sabaeei, A. M., and Isyaka, A. (2022) Utilizing Graphene Oxide in Cementitious Composites: A Systematic Review. Case Studies in Construction Materials 17, e01359.DOI
16 
Santamouris, M., Cartalis, C., Synnefa, A., and Kolokotsa, D. (2015) On the Impact of Urban Heat Island and Global Warming on the Power Demand and Electricity Consumption of buildings—A Review. Energy and Buildings 98, 119-124.DOI
17 
Schröfl, C., Erk, K. A., Siriwatwechakul, W., Wyrzykowski, M., and Snoeck, D. (2022) Recent Progress in Superabsorbent Polymers for Concrete. Cement and Concrete Research 151, 106648.DOI
18 
Sujitha, V. S., Ramesh, B., and Xaxier, J. R. (2023) Effect of Superabsorbent Polymer Hydrogels in the Advancement of Cementitious Materials - A Review. Journal of Polymers and the Environment 31(7), 2761-2778.DOI
19 
Tarasovs, S., Bulderberga, O., Zeleniakiene, D., and Aniskevich, A. (2021) Sensitivity of the Transient Plane Source Method to Small Variations of Thermal Conductivity. International Journal of Thermophysics 42(12), 173.DOI