Mobile QR Code QR CODE
Export citation EndNote

  1. (Professor, School of Civil, Architectural Engineering and Landscape Architecture, Sungkyunkwan University, Suwon 16419, Rep. of Korea)



스트럿-타이 모델, 깊은보, B-영역, D-영역, 전단 설계
strut-tie model, deep beams, B-region, D-region, shear design

1. 서 론

철근콘크리트 구조물은 응력과 부재의 기하학적인 형태에 따라서 평면유지의 가정을 적용할 수 있는 B-영역과 적용할 수 없는 D-영역으로 나눌 수 있다. D-영역은 집중 하중이 작용하여 하중이 불연속적으로 작용하거나, 부재의 형태가 불연속적인 영역으로 평면유지의 가정이 적용되지 않는 응력교란(disturbed)영역을 말한다. 이 구간에서 변형률은 중립축으로부터 떨어진 거리에 비례하여 변화하는 것이 아니라 비선형적인 분포를 나타낸다. 철근콘크리트 부재 중에서 깊은보, 브래킷, 단이진 보, 집중하중점, 지점 등은 D-영역에 해당되는 부재 또는 영역이다.

1980년대 중반 스트럿-타이 모델(Schlaich and Schäfer 1984; Schlaich et al. 1987)이 제안되어 D영역의 설계에 적용되었다. 스트럿-타이 모델은 소성이론과 힘의 평형조건을 이용한 트러스모델의 일종으로 응력교란영역의 전단설계에 효율적이다. 전단경간비를 변수로 한 철근콘크리트 보의 실험 결과를 변형률 접합조건을 활용한 트러스모델을 기본으로 한 전단설계법과 스트럿-타이 모델에 의한 예측 결과로 비교해 보면 B-영역 단면해석법은 전단경간-유효높이비가 2.5 이하인 보의 전단내력을 크게 과소평가한다(Collins and Mitchell 1991). 반면, 스트럿-타이 모델은 전단경간-유효높이비가 2.5 이하인 깊은보 전단내력을 비교적 정확하게 예측하여 깊은보 설계에 스트럿-타이 모델이 효율적임을 알 수 있다.

2003년 콘크리트학회 구조기준에서는 Paiva and Siess(1965), Crist(1966)의 설계법에 근거한 실험식이 사용되었지만, 이 설계식은 2007년 콘크리트구조설계기준에서 스트럿-타이 모델 설계로 변경되었다. 따라서 현재 사용되고 있는 KDS 14 국가건설기준이나 콘크리트구조 학회기준(KCI 2017)을 적용할 경우에는 비선형 변형률 분포를 고려하여 깊은보를 설계하거나 스트럿-타이 모델에 의해 설계해야만 한다.

스트럿-타이 모델이 기준에 도입된지 거의 15년이 지나고 있지만, 구조설계자가 스트럿-타이 모델에 의해 깊은보를 설계하는 경우는 매우 드물다. 이 논문의 동반 논문 “철근콘크리트 깊은보의 실용설계법 (I) 간략식의 유도”에서는 스트럿-타이 모델 설계에서 가장 긴 시간이 소요되는 절점영역 파괴 판별식을 제안하고, 스트럿과 타이만으로 부재 내력을 계산할 수 있는 간이계산법을 소개하였다. 그러나 간이계산법만으로는 스트럿-타이 모델이 갖고 있는 요구 철근량의 불연속 문제를 해결할 수 없다. 이 논문에서는 스트럿-타이 모델의 문제점을 지적하고 개선된 스트럿-타이 모델 실용설계법을 제시하고자 한다.

2. 스트럿-타이 모델의 간이계산법

스트럿-타이 모델 설계의 장점은 비선형해석에 비하여 계산 과정이 단순하다는 것이다. 이는 힘의 평형식만을 이용하여 부재내력을 계산하기 때문에 비선형해석에 비하여 계산 과정이 단순해지기 때문이다. 그렇지만 스트럿-타이 모델을 이용하여 깊은보에 대한 설계를 수행하기 위해서는 여섯 단계의 설계 과정이 필요하며 이러한 계산법은 반경험식을 사용한 계산 과정에 비하여 매우 복잡하다.

대부분의 깊은보는 일정한 형상으로 정형화 되어 있으므로 KDS 14 국가건설기준의 프리스트레스트 정착영역의 간이설계법과 동일하게 정형화된 깊은보에 대해서는 정형화된 스트럿-타이 모델을 적용하여 간이계산법 설계가 가능하다. 따라서 다음과 같은 세 가지 방법으로 깊은보를 설계할 수 있다.

① 비선형 해석

② 평형조건에 근거한 스트럿-타이 모델 정산법

③ 실용설계법

실용설계법은 다음의 경우에는 사용할 수 없으며, 이 경우에는 ① 또는 ②의 방법에 의해 설계해야 한다.

- 부재의 단면이 사각형이 아닌 경우

- 집중하중점과 가력점 사이의 불연속으로 인하여 힘의 흐름 경로가 변화하는 경우, 예를 들어 개구부가 있는 유공보의 경우

- 가력점 또는 받침점의 크기($l_{b}$)가 식 (1)의 $l_{bo}$보다 작은 경우

(1)
$l_{bo}\ge \dfrac{\beta_{s}w_{t}\sin\theta\cos\theta}{\beta_{n}-\beta_{s}\sin^{2}\theta}$

여기서, $\beta_{s}$: 콘크리트 스트럿의 유효압축강도계수, KDS 14 20 24 국가건설기준의 4.2.2(2)에서 계산, $\beta_{n}$: 절점영역의 유효압축강도계수, KDS 14 20 24 국가건설기준의 4.4.3(2)에서 계산, $w_{s}$: 콘크리트 스트럿의 폭, $l_{bo}$: 지압판폭의 판정 길이, $\theta$: 콘크리트 스트럿과 부재축이 이루는 각도이다.

지압판의 폭($l_{b}$)이 기준값 $l_{bo}$보다 클 경우에는 절점에서 파괴할 가능성이 없으므로 절점영역의 내력을 검토할 필요 없이 콘크리트 스트럿과 타이에 대한 내력만을 이용하여 식 (2) 또는 식 (3)에 의해 깊은보의 내력을 계산할 수 있다.

(2)
(STM-1) $V_{n}=\min .(C_{1}\sin\theta ,\: T_{1}\tan\theta)$
(3)
(STM-2) $V_{n}=\min .(C_{1}\sin\theta ,\: T_{1}/(2\tan\theta),\: T_{2})$

여기서, $C_{1}$: 콘크리트 스트럿의 내력이며, $C_{1}=\beta_{s}(0.85 f_{ck})$$w_{s}b_{w}$, $T_{1}$: 하부 휨저항 타이의 내력이며, $T_{1}=A_{s}f_{y}$, $T_{2}$: 수직타이의 내력, $T_{2}= A_{v}f_{yt}$이다.

스트럿-타이 모델 설계 과정에서 가장 긴 시간이 소요되는 것은 절점영역에 대한 설계이며, 절점파괴 평가식 (1)을 활용할 경우에 스트럿-타이 모델을 정산법과 실용설계법으로 구분이 가능하다. 스트럿-타이 모델을 정산법과 실용설계법으로 구분하여 705개의 깊은보 실험 결과와 비교하였을 때 정산식과 간략식의 결과가 정확하게 일치하였다(Lee 2022).

3. 스트럿-타이 모델의 모순

비록 식 (1)~식 (3)의 간이계산법이 스트럿-타이 모델정산식의 복잡한 설계 과정을 간략화할 수 있고, 정산식과 비슷한 정확성으로 깊은보의 내력을 예측하였지만, 여전히 KDS 14 20 24 국가건설기준의 스트럿-타이 모델(MOLIT 2021)이 갖고 있는 다음 문제점을 해결하지 못하고 있다.

3.1 B영역과 D영역의 불연속

KDS 14 20 24 국가건설기준에서는 보의 설계를 평면유지의 가정이 적용되는 B-영역과 응력교란영역인 D-영역으로 구분하고 있다. Fig. 1은 전단경간비($a_{v}/h$, $a_{v}$: 전단경간, $h$: 단면 높이)가 2인 두 보의 모델이다. 기준에서는 전단경간비($a_{v}/h$)가 2 이하인 경우에는 스트럿-타이 모델에 의해서 설계하도록 하고 있으며, 2보다 클 경우에는 트러스모델에 근거하여 $V_{n}=V_{c}+V_{s}$(전단강도=콘크리트의 전단강도+전단철근의 전단강도)로 설계하도록 하고있다. 한편 $a_{v}/h$=2인 부재에 대해서는 스트럿-타이 모델에 의해서도 계산이 가능하고, B-영역 설계법에 해당하는 $V_{n}=V_{c}+V_{s}$에 의해서도 설계가 가능하다. 따라서 $a_{v}/h$=2인 부재에 대하여 KDS 14 국가건설기준의 두 모델에 의해 계산된 결과는 일치해야 하지만 실제는 그렇지 않다. 스트럿-타이 모델의 STM-2에 의해 계산할 경우에 수직타이 BD의 부재력은 계수하중 $V_{u}$와 동일하다($V_{u}=V_{s}$)(콘크리트 구조부재의 스트럿-타이 모델 설계 예제집(KCI 2012), 스트럿-타이 모델 설계 예제집(ACI 2002)). 한편 B-영역 설계법에 의해 계산할 경우에 전단력은 $V_{u}=\phi(V_{c}+V_{s})$로 계산되어 스트럿-타이 모델에 의해 요구되는 수직전단철근의 양은 B-영역 설계법에 의하여 요구되는 수직전단철근의 양 $V_{s}= V_{u}/\phi - V_{c}$보다 항상 크다.

Fig. 1 Two types of shear design at $a_{v}/h$=2
../../Resources/KCI/JKCI.2022.34.5.523/fig1.png

3.2 철근량의 과다와 불연속

KDS 14 20 24 국가건설기준(MOLIT 2021)에서는 전단경간비에 따라 다른 스트럿-타이 모델을 적용하도록 하고 있다. $a_{v}/h$가 짧은 경우에 가력점에서 지점으로 전달되는 하중이 크기 때문에 Fig. 2(a)의 STM-1을 적용하며, $a_{v}/h$가 비교적 긴 경우에는 중간타이를 사용하는 Fig. 2(b)의 STM-2를 적용한다. STM-2에 의해 전단력을 계산할 경우에 모든 전단력을 수직타이가 받기 때문에($V_{u}=V_{s}$) 수직전단철근을 과다하게 배근할 수밖에 없다. 또한 사용하는 STM의 모델 종류에 따라서 요구되는 전단철근의 양이 급격하게 변한다. Fig. 3은 전단경간비에 따라서 변화하는 각 기준의 요구철근량의 변화를 나타낸다. 예를 들어 $a_{v}/h$가 0.5 이하인 보에 대해서는 STM-1을 사용하여 설계하고, $a_{v}/h$가 0.5를 초과하는 보에 대해서는 STM-2를 사용하여 설계할 경우에 계산된 요구 전단철근량은 Fig. 3의 $a_{v}/h$=0.5인 AB점에서 불연속이 발생한다. 즉, STM-1로 설계할 경우에는 $a_{v}/h\le$0.5에서 최소 수직전단철근($\rho_{v,\: \min}$)만 배근해도 되지만, STM-2로 설계할 경우에는 $V_{s}=V_{u}$에 해당하는 수직전단철근을 배근해야 하기 때문이다. 또한 $a_{v}/h$=2.0인 부재에 대해서도 STM-2에 의해서는 $V_{s}=V_{u}$에 해당하는 수직전단철근의 양이 계산되지만, B영역 설계법에서는 $V_{s}=V_{u}/\phi -V_{c}$에 해당하는 수직전단철근의 양이 계산되어 Fig. 3의 CD점과 같이 콘크리트의 전단강도($V_{c}$)의 차이가 발생한다.

Fig. 2 Two types of strut-tie models
../../Resources/KCI/JKCI.2022.34.5.523/fig2.png
Fig. 3 Required amount of shear reinforcement
../../Resources/KCI/JKCI.2022.34.5.523/fig3.png

3.3 수직전단철근에 의한 내력 평가의 어려움

수직철근이 배근된 STM-2의 전단내력은 콘크리트 스트럿($C_{1}$), 수직철근 타이($T_{2}$), 수평철근 타이($T_{1}$)의 최솟값이 결정한다. 수직철근이 배근되지 않았거나, 작은 양의 수직철근이 배근된 경우에 부재의 전단내력은 수직철근 내력에 의해 정해지므로 계산값이 매우 작다. 이 논문의 동반 논문 “철근콘크리트 깊은보의 실용설계법 (I) 간략식의 유도”(Lee 2022)의 STM-2는 705개 깊은보의 전단내력을 콘크리트 스트럿 내력과 수평타이 내력을 중심으로 계산하였지만, 수직타이 내력을 포함할 경우에는 전단철근이 작게 배근된 실험체에 대하여 STM-2는 실제 강도를 지나치게 낮게 평가한다. 이는 설계에서는 이러한 개념을 적용하지 않지만 전단내력을 계산할 때는 배근된 철근의 양에 따라서 실제보다 낮은 강도가 계산된다. 설계의 관점에서는 STM-2를 이용하여 전단철근을 안전하게 배근할 수 있지만 내력을 계산하는 해석적인 관점에서는 KDS 14 국가건설기준의 스트럿-타이 모델을 이용해서 부재의 전단내력을 정확하게 평가하기가 어렵다.

3.4 수직전단철근 배근 구역의 모호함

기준에서 사용되고 있는 스트럿-타이 모델은 Morch(1902)가 제안한 연속체 개념의 트러스모델보다는 Ritter(1899)가 제안한 분리된 개념의 트러스모델에 가깝다. 따라서 수직철근의 부재력($T_{2}$)에 대응하기 위해 배근되는 철근의 수는 부재의 길이에 따라서 달라진다. 바꿔 말하면 전단경간이 다른 두 부재의 $T_{2}$가 동일할 경우에 배근 간격은 다음과 같이 결정될 수 있다.

$A_{vt}=T_{2}/(\phi f_{y})$ : 전체 수직전단 철근량($A_{vt}$) 결정

$n = A_{vt}/A_{v}$ : 배근되는 철근의 수($n$) 결정

$s =a_{v}/n$ : 배근 간격($s$) 결정

위에서 $A_{vo}$는 한 단면에 배근되는 수직철근 단면적이다. 연구자 또는 기준에 따라서 다르기는 하지만 수직철근의 배근 구역이 명확하지 않기 때문에 위의 방법으로 수직철근을 배근할 경우에 전단경간($a_{v}$)이 길면 $T_{2}$가 동일할 경우에 배근 간격($s$)이 넓어지게 된다. 즉 전단경간($a_{v}$)이 두 배 증가하면 배근 간격($s$)도 두 배 증가하게 된다. CEP-FIP 모델기준의 스트럿-타이 모델 설계 예제집(fib 2011)과 한국콘크리트학회의 콘크리트 구조부재의 스트럿-타이 모델 설계 예제집(KCI 2012)에서는 수직철근의 배근 구역을 전단경간($a_{v}$)으로 하고 있지만, ACI 318(2019)기준의 스트럿-타이 모델 설계 예제집(ACI 2002)에서는 수직철근의 배근 구역을 전단경간의 절반($a_{v}$/2)으로 하고 있어 설계자에게 혼란을 유발한다.

4. 개선된 스트럿-타이 모델 실용설계법

여기서는 스트럿-타이 모델이 갖고 있는 모순을 해결할 수 있는 방법을 검토하였다.

4.1 스트럿-타이 모델 경계면의 불연속

ACI318-19(2019)에서는 전단경간비에 따라서 다른 스트럿- 타이 모델을 적용하도록 하고 있다. 우리 기준에서도 STM-1과 STM-2의 선택이 가능하다. 그러나 STM-1과 STM-2의 경계면에서는 Fig. 3의 AB점에 대하여 설명하였듯이 계산한 철근량에 큰 불연속이 발생하게 된다. 이러한 불연속을 해결하기 위해서는 CEB-FIP 모델기준(fib 1991), Foster and Gilbert(1998), Foster(1998), Chae and Yun(2016a), (2016b) 등이 사용하고 있는 Fig. 4의 부정정 스트럿-타이모델(여기서는 STM-3으로 명명)을 적용할 필요가 있다. 부정정 스트럿-타이 모델에서는 지점에 작용하는 하중의 일부가 바로 가력점으로 전달되는 직접스트럿 AC를 추가로 적용한다. 이 경우에 모델은 부정정이 되므로 CEB-FIP 모델기준과 Foster 모델에서는 직접스트럿의 값을 각각 식 (4a)와 식 (5a)에서 먼저 계산한다. 그 이후에 감소된 전단하중($V_{u}- C_{d}\sin\theta_{d}$)에 대하여 정정 스트럿-타이 모델로 설계한다.

CEB-FIP 모델기준(fib 2011)

(4a)
$C_{d}=\left(\dfrac{4-2a_{v}/z-N/V_{n}}{3-N/V_{n}}\right)\dfrac{1}{\sin\theta_{d}}V_{n}$
(4b)
$T_{2}= V_{n}- C_{d}\sin\theta_{d}$

Foster 모델(Foster 1998)

(5a)
$C_{d}=\left(\dfrac{\sqrt{3}-a_{v}/z}{\sqrt{3}-1}\right)\dfrac{1}{\sin\theta_{d}}V_{n}$
(5b)
$T_{2}= V_{n}- C_{d}\sin\theta_{d}$

여기서, $C_{d}$: 직접스트럿의 압축력, $T_{2}$: 중간 수직타이의 인장력, $a_{v}$: 전단경간, $z$: 상하현재 중심간의 거리, $\theta_{d}$: 직접스트럿의 각도, $N$: 축력(인장력이 “+”)이다.

(4)와 식 (5)의 $C_{d}$는 부재의 기하학적 조건에 의해 계산된다. $a_{v}/z$의 비가 짧아지면 직접스트럿이 전달하는 하중은 증가하지만, 수직전단철근이 지지하는 비율($T_{2}$)은 감소한다. 반면 $a_{v}/z$의 비가 길어지면 직접스트럿이 전달하는 하중은 감소하고 $T_{2}$의 부재력은 증가한다.

(4a)에서 $a_{v}/z\le 0.5$에서는 전체 전단력($V_{n}$)은 직접스트럿만에 의하여 전달된다. 따라서 중간 수직타이의 부재력 $T_{2}$=0이 되므로 Fig. 5와 같이 모델은 STM-3에서 STM-1로 변환된다. 또한 $a_{v}/z =2$일 때에는 직접스트럿에 의해 전달되는 전단력이 없으므로 모든 전단력을 중간 수직타이가 지지해야 된다($T_{2}=V_{n}$). 식 (5a)의 경우에도 $a_{v}/z\le 1.0$일 때 모델은 STM-3에서 STM-1로 변환된다. Fig. 5에서 CEB-FIP 모델기준과 KDS 기준은 각각 $a_{v}/z$와 $a_{v}/h$로 구분되며, 한 그림에서 비교하기 위하여 이를 동시에 표시하였다.

따라서 식 (4b)와 식 (5b)의 두 경우에는 $a_{v}/z$의 비에 따라서 $T_{2}$의 부담력에 차이가 발생하고, 배근해야 할 수직철근량이 Fig. 5와 같이 자연스럽게 감소하여 STM-1, STM-2, STM-3의 경계면에서 철근량의 불연속이 발생하지 않는다.

CEB-FIP 모델기준이나 Foster 모델과 동일하게 실용설계식의 스트럿-타이 모델은 $a_{v}/h$의 비율에 의해 다음과 같이 정해진다.

① $a_{v}/h\le 0.5$ : STM-1 적용

② $0.5<a_{v}/h\le 2.0$ : STM-3 적용

2003년까지 콘크리트학회 구조기준으로 사용되던 Paiva 와 Siess (1965)의 식에서 콘크리트의 전단강도는 전단경간비가 1보다 작아질 때 점점 증가하다가, 0.4 이하부터는 일반 보에 대한 전단강도의 2.5배를 일정하게 유지한다. 한편, Lee and Kang(2021)은 모델의 경계점을 $a_{v}/h$=0.8로 하였으나, 이 경우에는 수직타이가 지나치게 작게 들어갈 수 있다. 따라서 여기서는 CEB-FIP 모델기준과 Paiva and Siess(1965)의 식과 유사하게 $a/h =0.5$을 모델의 경계점으로 하였다. 모델의 경계점에서는 최소 철근이 배근되므로 경계점에 따라 배근되는 철근량에 큰 차이가 발생하지는 않는다. 즉 Fig. 5에서 $a_{v}/h = 0.4$로 하거나 $a_{v}/h =0.5$로 하는 경우에도, 각 시작점을 $a_{v}/h = 2.0$와 연결하고 최소철근량을 고려하면 철근량에 큰 차이가 발생하지 않는다. STM-3에 대한 실용계산식은 직접스트럿의 영향을 고려하여 식 (3) 대신에 식 (6)을 사용해야 한다.

(6)
$V_{n}=\min .(C_{1}\sin\theta + C_{d}\sin\theta_{d},\: T_{1}/(2\tan\theta),\: T_{2}+ C_{d}\sin\theta_{d})$

여기서, $C_{d}$: 직접스트럿의 압축력, $\theta_{d}$: 직접스트럿의 각도이다. Fig. 4의 절점 A의 스트럿 경계면에는 경사스트럿($C_{1}$)과 직접스트럿($C_{d}$)이 맞닿아 있으므로 점 A의 수직방향 평형식은 식 (7)이 된다.

(7)
$C_{1}\sin\theta = V_{n}- C_{d}\sin\theta_{d}$

Fig. 6(a)와 6(b)는 전단경간비가 변화할 때 CEB-FIP 모델기준과 실용설계법에 의해 계산되는 직접스트럿의 압축력과 철근량의 변화를 나타낸다. Fig. 6(a)에서 전단경간비가 감소하면 직접스트럿의 부재력($C_{d}$)이 증가하며(수직타이의 부재력 $T_{2}$는 감소) 모델이 STM-3에서 STM-1로 변화하여 불연속이 발생하지 않는다. 또한 Fig. 6(b)는 KDS 14 20 24 국가건설기준의 스트럿-타이 모델(MOLIT 2021), CEB-FIP 모델기준(fib 1991), 실용설계법에 의하여 계산한 필요 수직철근의 양($\rho_{t}f_{yt}$)을 비교하고 있다. 그림에서 전단경간비가 증가하면 수직타이의 부재력 $T_{2}$(=$\rho_{t}f_{yt}$)가 증가하며, 직접스트럿의 부재력($C_{d}$)은 감소한다.

Fig. 4 STM-3
../../Resources/KCI/JKCI.2022.34.5.523/fig4.png
Fig. 5 Required amount of shear reinforcement in the CEB-FIP model code
../../Resources/KCI/JKCI.2022.34.5.523/fig5.png
Fig. 6 Comparison of $C_{d}$ and $\rho_{t}f_{yt}$
../../Resources/KCI/JKCI.2022.34.5.523/fig6.png

4.2 B-영역과 D-영역의 불연속과 콘크리트 유효압축강도의 불연속

직접스트럿을 사용함으로써 모델 변환 경계면에서의 불연속을 제거할 수 있지만, 이 경우에도 B-영역과 D-영역으로 설계가 가능한 $a_{v}/h$=2.0인 부재에 대한 전단강도의 불일치 문제는 해결하지 못한다. 즉, $a_{v}/h$=2.0인 부재에 대하여 스트럿-타이 모델에 의하여 계산한 D-영역의 전단강도와 B-영역 설계에 의한 전단강도는 일치하지 않는다. 또한 CEB-FIP 모델기준이나 EC2-04기준(CEN 2004)에서는 스트럿의 각도에 따라 불연속적으로 콘크리트의 유효압축강도가 변화한다. 이 논문에서는 이러한 문제를 해결하기 위해 전단경간비에 따라 작아지는 콘크리트 스트럿의 유효압축강도를 제안하여 경계면의 불연속과 유효압축강도의 불연속을 제거하였다.

Fig. 6(b)의 $a_{v}/h$=2.0인 부재에 대하여 KDS 14 20 24 국가건설기준의 $\rho_{t}f_{yt}$는 갑자기 변화하며 스트럿-타이 모델의 $V_{s}(=$$T_{2})= V_{u}$에 의하여 계산한 $\rho_{t}f_{yt}$가 $V_{s}= V_{u}/\phi -V_{c}$로 계산한 B-영역 설계의 $\rho_{t}f_{yt}$보다 크다. 불연속이 발생한 Fig. 6(b)의 CD점에서의 차이 값은 KDS 14 기준의 경우에 $v_{c}=(1/6)\times$$\sqrt{f_{ck}}$이다. Fig. 7에는 $v_{c}=(1/6)\times\sqrt{f_{ck}}$의 값과 705개의 깊은보의 전단강도($v_{n}= V_{\max}/(b_{w}d)$)를 비교하였다.

그림에서 $v_{c}=(1/6)\times\sqrt{f_{ck}}$는 705 실험체 전단강도의 거의 하한값이며, $a_{v}/h$=2.0에서는 실험값과 큰 차이가 발생하지 않고 있다. 따라서 $a_{v}/h$=2.0인 부재의 전단내력은 B-영역 설계의 $v_{c}=(1/6)\times\sqrt{f_{ck}}$로 설계가 가능하다는 것을 알 수 있다. 이 논문에서는 이를 이용하여 직접스트럿의 콘크리트의 유효압축강도를 제안하였다.

$a_{v}/h$=2.0에서의 식 (7)의 콘크리트 직접스트럿이 지지하는 유효강도를 $v_{c}=(1/6)\times\sqrt{f_{ck}}$로 간주하고 이를 직접스트럿의 각도에 맞추어 분력을 계산하면 식 (8)이 된다.

(8)
$f_{ce A_{c}}=\left(\dfrac{1}{6}\sqrt{f_{ck}}\dfrac{d}{w_{sd}}\dfrac{1}{\sin\theta_{d}}\right)A_{c}$

(8)에서 직접스트럿의 면적 $A_{c}= w_{sd}b_{w}$이므로 직접스트럿의 수직성분은 $(1/6)\sqrt{f_{ck(}}b_{w d})$가 된다. $w_{sd}$는 직접스트럿의 면적이다. 개선 실용계산법의 경우에 $a_{v}/h$=0.5에서 STM-3은 STM-1로 변환하므로 콘크리트의 유효압축강도($f_{ce}$)는 KDS 14 20 24 국가건설기준(MOLIT 2021)에 의해 $0.85\beta_{s}f_{ck}$가 된다. 그러므로 $0.5<a_{h}/h\le 2.0$에서의 직접스트럿의 콘크리트의 유효압축강도($f_{ce}$)의 변화를 Fig. 8과 같이 선형 관계로 표현할 수 있다.

직접스트럿의 콘크리트의 유효압축강도($f_{ce}$)는 $a_{v}/h$=0.5점과 $a_{v}/h$=2.0점을 연결하여 식 (9)에서 구한다.

(9)
$\left. f_{ce}=\dfrac{f_{c2-2.0}- f_{ce-0.5}}{2.0-0.5}\left(\dfrac{a_{v}}{h}-2.0\right.\right)+ f_{ce-2.0}$****

여기서, $f_{ce-0.5}= 0.85\beta_{s}f_{ck}$, $f_{ce-2.0}=$$\left(\dfrac{1}{6}\sqrt{f_{ck}}\dfrac{d}{w_{sd}}\dfrac{1}{\sin\theta_{d2}}\right)$이다. $a_{v}/h$=2.0인 부재의 스트럿의 각도 $\theta_{d2}$는 $z=0.8h$인 경우에 $\sin\theta_{d2}= z/a_{v}$$= 0.8h/a_{v}=0.4$이며 $\theta_{d2}= 22$°이다. 식 (9)에서 $f_{ce}$는 $a_{v}/h$=0.5일 때 최대가 되며, $a_{v}/h$가 증가하면 점차 감소한다. 식 (9)를 이용할 경우에 전단경간비에 따라서 변화하는 직접스트럿의 내력을 평가할 수 있으며, 이러한 개념은 CEB-FIP 모델에는 반영되어 있지 않다.

Fig. 8에서 $a_{v}/h$가 감소하면 $f_{ce}$는 증가하여 $a_{v}/h\le 0.5$에서는 $0.85\beta_{s}f_{ck}$로 일정한 값이 된다. 또한 $a_{v}/h$=2.0에서는 $(1/6)\sqrt{f_{ck(}}b_{w d})$가 되어 B-영역 전단설계의 콘크리트 전단저항($V_{c}$)과 동일하게 된다. 또한 $a_{v}/h$가 감소하면 수직철근의 양도 최소철근비($\rho_{t,\: \min}$)에 도달할 때까지 일정하게 감소한다. 따라서 직접스트럿이 부담하는 비율은 Fig. 6(a)의 전단경간비와 $C_{d}\sin\theta_{d}$의 관계에서 구할 수 있다.

(10)
$C_{d}\sin\theta_{d}=\dfrac{a_{v}/h - 2}{1.5}(V_{c}-V_{n})+ V_{c}$

여기서, $V_{c}=1/6\sqrt{f_{ck}}b_{w}d$이다.

Fig. 7 Concrete shear strength in the B-region ($v_{c}$) vs. shear strength of 705 RC deep beams
../../Resources/KCI/JKCI.2022.34.5.523/fig7.png
Fig. 8 Effective compressive strength of direct strut and the required amount of vertical shear reinforcement
../../Resources/KCI/JKCI.2022.34.5.523/fig8.png

4.3 수직전단철근 배근 구역

3장에서 설명하였듯이 기준에는 수직철근의 배근 구역이 명확하게 명시되어 있지 않다. CEP-FIP 모델기준의 스트럿-타이 모델 설계 예제집(fib 2011)에서는 수직철근의 배근 구역을 전단경간($a_{v}$)으로 하고 있지만, ACI 318(2019) 기준의 스트럿-타이 모델 설계 예제집(ACI 2002)에서는 수직철근의 배근 구역을 전단경간의 절반($a_{v}$/2)으로 하고 있다. 따라서 수직전단철근의 배근 간격($s$)은 전단경간($a_{v}$)에 따라서 달라질 수 있다. 이러한 문제를 해결하기 위해서는 수직전단철근의 배근 구역을 정해 주어야 한다.

B-영역과 D-영역의 경계점인 $a_{v}/h$=2.0에서는 스트럿-타이 모델에 의해 계산된 수직철근의 간격과 B-영역 설계에서 계산된 철근의 간격이 동일해야 한다. 식 (6)에서 계산된 $T_{2}$는 B-영역 설계의 $V_{s}$와 동일하다. 하지만 D-영역과 B-영역의 수직철근 간격($s$)은 각각 식 (11a)와 식 (11b)에 의해 계산되므로 D영역의 $s$가 B영역의 $s$보다 넓다.

(11a)
$s=\dfrac{a_{v}A_{v}f_{y}}{T_{2}}$ (스트럿-타이 모델)
(11b)
$s=\dfrac{d A_{v}f_{y}}{V_{s}}$ (B-영역 전단설계)

(11a)에서 $a_{v}$를 사용할 경우에 $a_{v}/h$=2.0인 부재의 균열각도는 22°가 된다는 것을 의미한다. 그러나 실제 보에서 전단균열의 각도가 22°로 낮은 경우는 드물다. 이 문제를 해결하기 위해서 식 (11a)와 식 (11b)를 동일한 값으로 할 때 $a_{v}$=$d$가 된다. 따라서 D-영역의 수직철근의 배근 구역을 단면의 유효깊이($d$)로 해야 하며, 이 경우에 경계점 $a_{v}/h$=2.0에서 연속적으로 철근을 배근할 수 있게 된다. 다만 전단경간($a_{v}$)이 $d$보다 짧은 경우에는 $a_{v}$를 사용해야 한다. 그 이유는 전단경간이 짧은 부재에서는 균열이 지점과 가력점을 연결하여 수직철근 전부가 균열을 관통하지만, 전단경간이 긴 부재에서는 모든 수직철근이 균열을 관통하지 않기 때문이다. 따라서 수직철근의 배근 구역은 식 (12)와 같이 단면의 유효깊이($d$) 또는 전단경간($a_{v}$)의 작은 값으로 해야 한다.

(12)
$s=\dfrac{\min .(d,\: a_{v})\times A_{v}f_{y}}{V_{s}}$

4.4 상하현재 내력과 요구 철근량

깊은보에는 휨모멘트와 전단력이 동시에 작용하므로 두 부재력에 대해 설계해야 한다. Fig. 9는 깊은보의 STM-3 부재력과 탄성해석으로 구한 휨모멘트 다이어그램이다. STM-3에서 계산한 상부 부재(CD)와 하부 부재(GH)의 부재력은 2,317.8 kN이며, 탄성해석에 의해 계산한 휨모멘트는 4,000 kN・m이다. 두 해석법에 의해 하부 부재(GH) 철근의 양을 계산해보면 동일하다.

$A_{v}=\dfrac{F_{GH}}{f_{y}}=\dfrac{2,\: 317,\: 800}{400}= 5,\: 784.5$ ㎟ (STM-3)

$A_{v}=\dfrac{M}{f_{y}\times z}=\dfrac{4,\: 000\times 10^{6}}{400\times 1,\: 725}= 5,\: 797.1$ ㎟ (휨해석)

상부 부재(CD)의 폭도 콘크리트의 중립축 깊이를 중심으로 결정되었기 때문에 상부 부재의 STM-3의 내력과 휨해석의 압축력은 동일하다. 따라서 깊은보에 대한 휨설계를 실시하였다면 스트럿-타이 모델에서 상부 부재(CD)와 하부 부재(GH)의 내력을 검토할 필요는 없다. 결과적으로 하부타이의 내력은 휨설계에서 결정하고 이 값은 스트럿-타이 모델의 결과와 동일하기 때문에 식 (2)와 식 (6)의 하부타이가 유발하는 전단력을 비교할 필요가 없다.

Fig. 9 Strut-tie model and elastic analysis
../../Resources/KCI/JKCI.2022.34.5.523/fig9.png

4.5 설계와 해석의 차이

3.3절에서 설명하였듯이 스트럿-타이 모델의 내력은 선정된 부재력의 최솟값으로 정해진다. 따라서 STM-2의 경우에 전단철근이 배근되지 않거나 작게 배근된 실험체에 대하여 STM-2는 실제 강도를 지나치게 낮게 평가한다. CEB-FIP 모델기준(1999), Foster 모델(1998), 개선 실용계산법에서는 모두 직접스트럿을 사용해서 배근해야할 철근의 양을 $T_{2}= V_{n}-$$C_{d}\sin\theta_{d}$에서 계산한다. 설계자가 식 (4a), (5a), (10)과 같이 힘을 분해해 설계했지만, 만일 부재의 폭이 매우 얇다면 콘크리트 성분($C_{d}\sin\theta_{d}$)에서 파괴가 일어 날 수 있으므로 해석에서 이에 대한 검토가 필요하다.

그러므로 설계를 위한 직접스트럿의 분담 부재력($C_{d}$)과 공칭강도($C_{dn}$)를 구분해야 한다. 또한 4.4절에서 설명하였듯이 휨설계를 전단설계보다 선행하므로 식 (2)와 식 (6)은 식 (13)과 식 (14)로 간략화 된다.

(13)
(STM-1) $V_{n}= C_{1}\sin\theta$
(14)
(STM-3) $V_{n}=\min .(C_{1}\sin\theta + C_{dn}\sin\theta_{d},\: T_{2}+ C_{dn}\sin\theta_{d})$

여기서, $C_{dn}= f_{ce w_{sd}}b_{w}$이다. $f_{ce}$는 식 (9)에서 계산한다.

4.6 스트럿 폭의 결정

Fig. 4에 제시된 STM-3 절점 A의 스트럿 경계면에는 경사스트럿($C_{1}$)과 직접스트럿($C_{d}$)이 맞닿아 있으므로 두 스트럿의 폭은 절점면과 수직을 이루는 각도와 각각의 부재가 이루는 각도의 차이를 반영해서 계산해야 한다(KCI 2012). 설계에서는 비정수압 절점영역에서 절점면에 전단응력과 직응력이 동시에 발생하는 경우에는 스트럿에 직각을 이루고 있는 면을 이용하여 계산할 수 있도록 허용하므로 각도 차이를 무시하고 힘의 차이에 의해 두 스트럿의 폭을 계산할 수 있다.

(15)
$w_{sd}=\dfrac{C_{d}\sin\theta_{d}}{V_{n}}w_{st}$, $w_{s}= w_{st}-w_{sd}$

한편 공칭전단강도($V_{n}$)가 주어지지 않은 부재의 직접스트럿의 폭을 계산할 때는 식 (16)의 $V_{n}$을 STM-1의 $C_{1}\sin\theta$에서 계산할 수 있다. Fig. 2의 STM-1의 절점 A에서의 $V_{n}= C_{1}\sin\theta_{d}$이며, STM-3의 절점 A에서는 $V_{n}= C_{1}\sin\theta + C_{d}\sin\theta_{d}$으로 두 값은 거의 동일하다. 따라서 $V_{n}$이 주어지지 않는 STM-3의 $w_{sd}$를 계산할 때의 $V_{n}$은 STM-1에서 계산할 수 있다.

5. 스트럿-타이 모델 실용설계법 분석

5.1 설계 과정

직접스트럿을 적용하고 $a_{v}/h$=2.0에서의 $V_{c}$값을 $f_{ce}$에 반영함으로써 실용설계법에서는 B-영역 설계에 의한 계산 결과와 D-영역 설계에 의한 계산 결과의 차이와 스트럿-타이 모델 경계면의 불연속을 제거할 수 있었다. Fig. 6과 같이 $a_{v}/h$=0.5에 도달하면 직접스트럿이 저항하는 힘은 최대가 되고 수직타이가 저항하는 힘은 “0”이 되어 STM-3은 STM-1로 변화하게 된다. $a_{v}/h$=2.0에 도달하면 직접스트럿의 수직전단저항력이 B영역 전단설계의 콘크리트 전단강도($V_{c}$)와 동일하게 되어 B-영역에 대한 전단설계식과 D-영역에 대한 스트럿-타이 설계의 계산 결과가 동일하게 된다.

실무에서 전단경간($a_{v}$)을 직접 구하기 어려운 경우에는 전단력의 방향이 바뀌는 지점에서 받침점까지의 거리를 $a_{v}$로 하거나, 보수적인 설계를 할 때는 $a_{v}=2h$로 할 수 있다(Table 1). 또한 식 (14)의 $V_{n}$이 $T_{2}+ C_{dn}\sin\theta_{d}$으로 결정되고 $V_{n}\cdot\phi\le V_{u}$일 때는 그 차이($\triangle T_{2}= V_{u}-V_{n}\cdot\phi$)만큼 $T_{2}$를 증대시킨 후 수직타이의 양($\triangle A_{v}=\triangle T_{2}/f_{y}$)을 추가한다.

스트럿-타이 모델을 활용한 실용설계법의 설계 과정을 Table 1에 제시하였다. 3단계의 해석에서 만일 설계전단강도($V_{u}$)가 주어지지 않은 부재의 직접스트럿의 폭($w_{sd}$)을 계산할 때는 $V_{n}$을 STM-1의 $C_{1}\sin\theta_{d}$에서 계산하여 $V_{u}/\phi =V_{n}$으로 할 수 있다.

Table 1 Calculation procedure for simplified STM

Design procedure

Design methods

Select one of the following methods

① Analysis considering nonlinear distribution of longitudinal strain over the depth of the beam

② Detailed STM

③ Practical STM

Step 1

Application limitation of practical STM (① or ② design methods should be used in the following cases.)

a) Deep beams with non-rectangular cross sections

b) Deep beams in which discontinuity between the loading and reaction points cause a change in the force flow path, such as deep beams with openings

c) Deep beams with a length of bearing smaller than the minimum bearing length of Eq. (1)

$l_{b}\ge \dfrac{\beta_{s}w_{t}\sin\theta\cos\theta}{\beta_{n}-\beta_{s}\sin^{2}\theta}$ (1)

$\beta_{s}$and $\beta_{n}$: KDS 14 20 24

$w_{t}$: twice the distance from the center of longitudinal tensile bar to the concrete surface, $w_{t}=2(h-d)$, $z = 0.9d$

Deep beams with $a_{h}/h\le 0.5$: $\tan\theta = z/a_{v}$

Deep beams with $a_{v}/h >0.5$: $\tan\theta = 2 z/a_{v}$

Step 2:

Design,

Calculation of required stirrups

① Deep beams with $a_{h}/h\le 0.5$: STM-1

Minimum shear reinforcement

② Deep beams with $a_{v}/h >0.5$: STM-3

$A_{v}=T_{2}/f_{yt}$,

where, $T_{2}= V_{u}/\phi - C_{d}\sin\theta_{d}$,

$C_{d}\sin\theta_{d}=\dfrac{a/h - 2}{1.5}(V_{c}-V_{u}/\phi)+ V_{c}$

Arrangement area of vertical reinforcement: smaller area of $a_{v}$ and $d$

Step 3:

Analysis,

Strength calculation

① Deep beams with $a_{h}/h\le 0.5$: STM-1

(13)
$V_{n}= C_{1}\sin\theta$

where, $C_{1}=\beta_{s}(0.85 f_{ck})w_{s}b_{w}$, $w_{s}=l_{b}\sin\theta +w_{t}\cos\theta$

② Deep beams with $a_{v}/h >0.5$ : STM-3

(14)
$V_{n}=\min .(C_{1}\sin\theta + C_{dn}\sin\theta_{d},\: T_{2}+ C_{dn}\sin\theta_{d})$

where, $C_{1}=\beta_{s}(0.85 f_{ck})w_{s}b_{w}$, $C_{dn}= f_{ce w_{sd}}b_{w}$,

$C_{1}=\beta_{s}(0.85 f_{ck})w_{s}b_{w}$, $C_{dn}= f_{ce w_{sd}}b_{w}$,

$T_{2}=A_{v}f_{yt}$, $\tan\theta_{d}= z/a_{v}$, $w_{st}=\sqrt{l_{b}^{2}+w_{t}^{2}}$,

$w_{sd}=(C_{d}\sin\theta_{d}/ V_{n})w_{st}$, $w_{s}= w_{st}-w_{sd}$,

(9)
$\left. f_{ce}=\dfrac{f_{ce-2.0}- f_{ce-0.5}}{2.0-0.5}\left(\dfrac{a_{v}}{h}-2.0\right.\right)+ f_{ce-2.0}$

$f_{ce-0.5}= 0.85\beta_{s}f_{ck}$,

$f_{ce-2.0}=\left(\dfrac{1}{6}\sqrt{f_{ck}}\dfrac{d}{w_{sd}}\dfrac{1}{\sin 22}\right)\le f_{ce-0.5}$

5.2 깊은보 전단 내력 평가

전단경간비를 변수로 한 변수 분석 결과를 이용하여 실용설계법의 깊은보 전단내력 평가를 살펴보았다. Fig. 10에서는 전단경간비($a_{v}/h$)를 0에서 2로 변화시켰을 때 각 모델에서 계산된

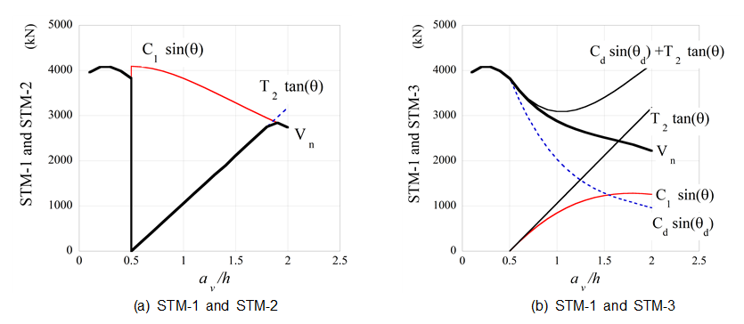
전단내력($V_{n}$)을 비교하였다. 부재의 콘크리트의 압축강도 $f_{ck}$=27 MPa, 전단철근과 주철근의 설계기준항복강도 $f_{y}$=400 MPa이다. 수직철근은 $a_{v}/h\le 0.5$에서는 배근하지 않았으며, $a_{v}/h > 0.5$에서는 전단철근비($\rho_{t}$)를 일정하게 배근하였다. Fig. 10(a)에서 세 모델의 콘크리트 스트럿에 의해 계산된 전단내력($C_{1}\sin\theta$ 또는 $C_{d}\sin\theta_{d}$)이 비교되었다. 그림에서 스트럿의 각도($\theta$)가 큰 STM-2의 전단내력이 $\theta$가 작은 STM-1의 전단내력보다 크다는 것을 알 수 있다. STM-3의 직접스트럿의 각도($\theta_{d}$)는 STM-1의 스트럿의 각도($\theta$)와 같지만, 콘크리트의 유효압축강도($f_{ce}$)가 작기 때문에 STM-1의 전단내력보다 작다. Fig. 10(b)의 수평타이의 전단내력($T_{1}\tan\theta$)은 세 모델에서 모두 동일하다. 앞에서도 설명하였듯이, STM-2와 STM-3의 경우에는 중간 절점에 네 부재가 만나 평형을 이루므로 $T_{1}$의 절반 값을 사용해야 한다. Fig. 10(c)에서 수직타이의 전단내력($C_{1}\sin\theta$)이 비교되었다. 철근이 없을 경우에는 이론적으로 계산되는 $T_{2}$가 “0”이므로 전단내력도 “0”이 된다. STM-3에서는 직접스트럿과 타이의 합($C_{d}\sin\theta_{d}+ T_{2}$)에 의해 전단내력을 계산하므로 STM-3의 전단내력과 STM-2의 전단내력에는 큰 차이가 발생한다. 다만 $T_{2}$의 값은 배근된 철근의 양에 따라서 달라 질 수 있다. 세 모델의 구성 모델 내력의 최솟값에 의해 결정된 전단강도($V_{n}$)를 Fig. 10(d)에 표시하였다. 최솟값은 상하현재의 내력은 배제하고 콘크리트 스트럿과 수직철근의 내력만을 비교하였다. 그림에서 STM-1 또는 STM-1과 STM-3을 함께 사용한 모델에서는 내력의 불연속이 발생하지 않았지만, STM-2의 경우에는 수직철근의 양에 따라서 내력의 불연속이 발생하고 있다. 이러한 불연속의 크기는 철근의 양에 따라서 달라질 수 있다. STM-1의 전단내력은 콘크리트 스트럿($C_{1}\sin\theta$)에 의해 정해졌지만, STM-2의 전단내력은 전단경간비에 따라서 콘크리트 스트럿과 수직철근 타이의 내력에 의해 정해졌다. STM-1과 STM-3을 함께 사용한 모델에서는 콘크리트 스트럿($C_{1}\sin\theta$), 직접스트럿과 수직철근 타이의 내력에 의해 정해졌다. Fig. 10(a), 10(b), 10(c)의 그래프에는 $C_{1}$, $C_{d}$, $T_{1}$으로 표기되었지만 이 값들은 수직 분력을 나타내며, 정확하게는 $C_{1}\sin\theta$, $C_{d}\sin\theta_{d}$, $T_{1}\tan\theta$를 의미한다.

Fig. 11에서는 “STM-1과 STM-2” 또는 “STM-1과 STM-3”을 함께 사용한 모델의 전단내력을 비교하고 있다. $a_{v}/h\le$0.5일 때는 STM-1을 사용하고, 0.5<$a_{v}/h\le$2.0일 때는 STM-2 또는 STM-3을 사용하여 깊은보의 내력을 평가하였다. STM-1과 STM-2을 함께 사용한 모델에서는 경계점을 기준으로 전단내력에 큰 변화가 발생하였다. 즉, 수직철근의 양에 따라서 계산된 전단내력에 차이가 발생하며, 수직철근이 없을 경우에는 전단내력도 “0”이 된다. 한편, STM-1과 STM-3을 함께 사용한 모델에서는 경계점에서도 내력 불연속이 발생하지 않으며, $C_{1}\sin\theta$, $C_{d}\sin\theta_{d}+ T_{2}$의 최솟값에 따라서 내력이 변화하고 있다.

STM-1과 STM-3을 함께 사용한 모델의 개선 효과는 Fig. 12의 705개 깊은보 실험 결과 비교에서도 알 수 있다. 그림에서 STM-1과 STM-2을 함께 사용한 모델에서는 수직 타이를 정확하게 예측하지 못하여 계산과 실험 전단강도에 큰 차이가 발생하고 있다. 또한 CEB-FIP 기준이나 Foster의 경우에도 $a_{v}/h$가 2에 근접할 경우에 예측값이 매우 낮다는 것을 알 수 있다. 여기서는 CEB-FIP기준과 Foster식을 제안식과 직접 비교하기 위하여 $a_{v}/z$ 대신에 $a_{v}/h$를 사용하여 부재 내력을 계산하였다.

실용설계법은 실제 전단강도를 평균값 1.81과 변동계수 37 %로 예측하고 있다. 네 가지 모델의 비교 결과는 배근된 수직 철근의 양에 따라서 달라질 수 있다. 실용설계법의 예측 정확성은 37 %로 좋은 편은 아니지만 실용설계법은 해석보다는 설계의 관점에서 제안된 방법이기 때문에 합리적으로 설계에 적용할 수 있을 것으로 판단된다. 특히 이 방법은 모델 선정에서 오는 불확실성, 계산 결과의 차이, 경계점에서의 불연속을 없애서 구조기술자의 스트럿-타이 모델에 대한 신뢰를 높일 수 있다. 또한 Fig. 12의 비교는 “하중계수”와 “강도감소계수”를 모두 “1”로 하여 계산한 결과이다. 실제 설계와 같이 “하중계수”와 “강도감소계수”를 고려할 경우에는 네 가지 경우 모두 안전성은 높아질 것으로 판단된다.

Fig. 10 Comparison of three STMs
../../Resources/KCI/JKCI.2022.34.5.523/fig10.png
Fig. 11 Comparison of two types of STMs
../../Resources/KCI/JKCI.2022.34.5.523/fig11.png
Fig. 12 Comparison of STMs with 705 test results
../../Resources/KCI/JKCI.2022.34.5.523/fig12.png

5.3 깊은보 전단 설계

Fig. 13에서는 전단경간비($a_{v}/h$)를 0에서 2로 변화시켰을 때 각 모델에서 계산된 수직철근량($A_{v}$)을 비교하였다. 부재의 콘크리트의 압축강도 $f_{ck}$=27 MPa, 전단철근과 주철근의 설계기준항복강도 $f_{y}$=400 MPa이다. 그림에서 STM-1과 STM-2를 사용한 모델의 경우에는 모델의 경계점인 $a_{v}/h =$0.5에서 철근량이 급격하게 변화한다. 반면 개선된 실용계산법은 0.5부터 수직 철근량이 점차 증가하며 불연속점이 발생하지 않는다. $a_{v}/h =$2.0에서 CEB-FIP 모델기준, Foster 모델에서 계산된 수직 철근량은 전단경간비가 클 경우에는 모두 실용계산법의 수직 철근량보다 크며 B-영역과 D-영역에서 철근량의 불연속이 발생한다. 그러나 실용계산법의 경우에는 B-영역과 D-영역의 경계점인 $a_{v}/h =$2.0에서도 철근량의 불연속이 발생하지 않고 있다.

Fig. 13 Comparison of required vertical shear reinforcement
../../Resources/KCI/JKCI.2022.34.5.523/fig13.png

6. 결 론

스트럿-타이 모델이 콘크리트구조기준으로 채택된지 약 15년이 지났지만 KDS 14 20 24의 스트럿-타이 모델은 깊은보 설계에 잘 적용되고 있지 않다. 그 것은 계산 과정의 복잡성, 철근량의 불연속, 모델에 따른 철근량의 차이 등에서 이유를 찾을 수 있다. 이 연구에서는 정형화된 깊은보에 적용할 수 있는 실용설계법을 제안하였다. 이 논문의 주요 결론은 다음과 같다.

1) KDS 14 20 기준은 $a_{v}/h =$2.0인 부재에 대하여 B-영역에 대한 전단설계식과 D-영역에 대한 스트럿-타이 설계의 계산 결과가 다르기 때문에 철근량의 불연속이 발생한다. 제안된 콘크리트 스트럿의 유효압축강도를 이용할 경우에 $a_{v}/h =$2.0인 부재에 대하여 B-영역에 의한 계산 결과와 D-영역에 의한 계산 결과의 차이를 없앨 수 있다.

2) CEB-FIP 모델기준에서는 콘크리트 스트럿의 유효압축강도가 불연속적으로 변화한다. 이 논문에서는 전단경간비가 증가하면 연속적으로 감소하는 콘크리트 스트럿의 유효압축강도($f_{ce}$) 평가식을 제안하였다.

3) 스트럿-타이 모델 선정 모델에 따라서 급변하는 철근량은 직접스트럿을 이용하여 해결이 가능하다. 제안된 모델을 이용할 경우에 CEB-FIP 모델기준과 같이 전단경간비가 짧아지면 콘크리트 스트럿의 역할이 증가하여 요구되는 수직전단철근량이 감소하고, 반대의 경우에는 수직타이의 역할이 증가하여 수직전단철근량이 증가한다.

4) 실용설계법을 705 깊은보 실험 결과와 비교하였다. KDS 14 20 24의 스트럿-타이 모델은 수직 타이를 정확하게 예측하지 못하여 계산과 실험 전단강도에 큰 차이가 발생하고 있다. 반면에 실용설계법은 실제 전단강도를 평균값 1.81과 변동계수 37 %로 예측하였다.

감사의 글

이 연구는 한국연구재단 이공분야기초연구사업(중견연구자지원사업, 과제번호: 2022R1A2C2091144) 연구비 지원에 의해 수행되었습니다. 이에 감사드립니다.

References

1 
ACI Committee 318 , 2019, Building Code Requirements for Structural Concrete (ACI 318R-19), Farmington Hills, MI; American Concrete Institute (ACI), Vol. 519Google Search
2 
ACI Subcommittee 445 , 2002, Examples for the Design of Structural Concrete with Strut-and-Tie Models (ACI SP-208), Farmington Hills, MI; American Concrete Institute (ACI), Vol. 242Google Search
3 
CEN , 2004, Eurocode 2: Design of Concrete Structures - Part 1-1: General Rules and Rules for Buildings (BS EN 1992-1-1: 2004), London, UK; European Committee for Standardization (CEN), British Standards Institute (BSI)Google Search
4 
Chae H.-S., Yun Y. M., 2016a, Strut-Tie Models and Load Distribution Ratios for Reinforced Concrete Beams with Shear Span-to-Effective Depth Ratio of Less than 3 (I) Models and Load Distribution Ratios, Journal of the Korea Concrete Institute, Vol. 28, No. 3, pp. 257-266DOI
5 
Chae H.-S., Yun Y. M., 2016b, Strut-Tie Models and Load Distribution Ratios for Reinforced Concrete Beams with Shear Span-to-Effective Depth Ratio of Less than 3 (II) Validity Evaluation, Journal of the Korea Concrete Institute, Vol. 28, No. 3, pp. 267-278DOI
6 
Collins M. P., Mitchell D., 1986, Rational Approach to Shear Design-The 1984 Canadian Code Provisions, ACI Journal Proceedings, Vol. 83, No. 6, pp. 925-933URL
7 
Crist R. A., 1966, Shear Behavior of Deep Reinforced Concrete Beams, Proceedings of the RILEM Symposium on the Effects of Repeated Loading on Materials and Structural Elements, Mexico, 1966. 31.Google Search
8 
fib , 1991, Evaluation of the Time Dependent Behaviour of Concrete (Bulletin d’Information No. 199), Lausanne, Switzerland; Comite European du Béton (CEB)/International Federation for Structural Concrete (fib). 201.Google Search
9 
fib , 2011, Design Examples for Strut-and-Tie Models (fib Bulletin 61), Lausanne, Switzerland; International Federation for Structural Concrete (fib). 219.Google Search
10 
Foster S. J., 1998, Design of Non-Flexural Members for Shear, Cement and Concrete Composites, Vol. 20, No. 6, pp. 465-475DOI
11 
Foster S. J., Gilbert R. I., 1998, Experimental Studies on High-Strength Concrete Deep Beams, ACI Structural Journal, Vol. 95, No. 4, pp. 382-390URL
12 
KCI , (2017), Concrete Design Code and Commentary. Seoul, Korea 이름, Kimoondang Publishing Company, Korea Concrete Institute (KCI, Seoul, Korea; Kimoondang Publishing Company. Korea Concrete Institute (KCI). 637. (In Korean)Google Search
13 
KCI Shear and Torsion Committee , 2012, Examples for the Concrete Structural Members with Strut-Tie Models (KCI-M-06- 001), 2nd edition, Seoul, Korea; Kimoondang Publishing Company. Korea Concrete Institute (KCI). 266. (In Korean)Google Search
14 
Lee J.-Y., 2022, Practical Design Method of Reinforced Concrete Deep Beams (I) Simplified Equation, Journal of the Korea Concrete Institute, Vol. 34, No. 4, pp. 429-439Google Search
15 
Lee J.-Y., Kang Y.-M., 2021, Strut-and-Tie Model without Discontinuity for RC Deep Beams, ACI Structural Journal, Vol. 118, No. 5, pp. 123-134URL
16 
MOLIT , 2021, Strut-and-Tie Model for Concrete Structures (KDS 14 20 24: 2021), Sejong, Korea: Ministry of Land, Infrastructure and Transport (MOLIT). (In Korean)Google Search
17 
Morsch E., 1902, Der Eisenbetonbau, Seine Anwendung und Theorie, 1st Edition. Im Selbstverlag der Firma. Neustadt. 118.Google Search
18 
Paiva H. A., Siess C. P., 1965, Strength and Behavior of Deep Beams in Shear, Proceedings of ASCE, Vol. 91, No. 5, pp. 19-41DOI
19 
Ritter W., 1899, Die Bauweise Hennebique, Schweizerische Bauzeitung, Vol. 33, No. 7, pp. 59-61Google Search
20 
Schlaich J., Schäfer K., 1984, Konstrulerenim Stahlbeton- bau, Wilhelm Ernst und Sohn, Berlin, 87-1004.Google Search
21 
Schlaich J., Schäfer K., Jennewein M., 1987, Towards a Consistent Design of Structural Concrete, PCI Journal, Vol. 32, No. 3, pp. 74-150URL

부 록

Appendix Fig. 1의 부재를 설계하라. 설계전단강도 $V_{u}$=2,000 kN과 설계휨강도 $M_{u}$=4,000.0 kN・m가 작용하고 있다. 콘크리트의 압축강도 $f_{ck}$=27 MPa, 전단철근과 주철근의 설계기준항복강도 $f_{y}$=400 MPa이다. 전단철근은 D13철근이나 D16철근을 사용하고, 주철근은 D32철근을 사용하라. D32 철근을 2단으로 배근했을 때의 부재의 유효깊이($d$)는 1,892 mm이다.

Appendix-Fig. 1 RC beam
../../Resources/KCI/JKCI.2022.34.5.523/afig1.png

[풀이]

(1) 휨철근량 계산

- 타이 AD의 폭($w_{t}$)을 계산한다.

$w_{t}$$= 2(\dfrac{c}{+d_{s}}+d_{b}+$순간격$/2)$=216 mm

- 휨철근량($A_{s}$)를 계산한다.

$M_{u}\le \phi M_{n}$

$\phi M_{n}=\phi A_{s}f_{y}\left(d-\dfrac{a}{2}\right)=\phi A_{s}f_{y}\left(d-\dfrac{A_{s}f_{y}}{2\times\eta\times(0.85f_{ck})b}\right)$

$ 4,000{k N}\cdot{m}\le \\ 0.85\times A_{s}\times 400\left(1,\: 892-\dfrac{A_{s}\times 400}{2\times 1\times 0.85\times 27\times 600}\right) $

필요한 인장철근의 총 단면적은 $A_{s}=6,\: 547{mm}^{2}$이다. 부재 하부의 휨철근을 2단 배열 10-D32=2×5×794.2=7,942.0 ㎟을 배근한다.

(2) 모델의 선정

$a_{v}/h = 2,\: 000 /2,\: 000 =1$이므로 STM-3이 된다.

(3) 절점파괴 여부를 식 (1)에 의해 검토

$l_{b}\ge \dfrac{\beta_{s}w_{t}\cos\theta\sin\theta}{\beta_{n}-\beta_{s}\sin^{2}\theta}$

$=\dfrac{0.6\times 216\times\cos(59.6)\times\sin(59.6)}{0.8 - 0.6\sin^{2}(59.6)}=160.0{mm}$

여기서,

$z =0.9d = 0.9\times 1,\: 892 =1,\: 703{mm}$

$\theta ={\arctan(1,\: 703/1,\: 000)=59.6^{\circ}}$

$\beta_{s}=0.6$, $\beta_{n}=0.8$, $w_{t}$$= 216{mm}$

실제 폭은 450 mm이므로 절점영역 검토가 불필요하며 실용설계법 설계가 가능하다.

(4) 필요한 철근량 계산

$T_{2}= V_{u}/\phi - C_{d}\sin\theta_{d}$$=2,\: 000/0.75 -2,\: 105 =562{k N}$

$A_{st}=\dfrac{T_{2}}{f_{y}}=\dfrac{562,\: 000}{400}=1,\: 405{mm}^{2}$

여기서,

$C_{d}\sin\theta_{d}=\dfrac{a/h - 2}{1.5}(V_{c}-V_{u}/\phi)+ V_{c}$

$=\dfrac{1 - 2}{1.5}(983 -2,\: 000/0.75)+ 983 =2,\: 105{k N}$

$V_{c}=\dfrac{1}{6}\sqrt{f_{ck}}(b_{w}d)=\dfrac{1}{6}\sqrt{27}(600\times 1,\: 892)=983{k N}$

(5) 최소 철근량 검토

깊은보의 최소 철근량을 검토한다.

(6) 직접스트럿 콘크리트 유효압축강도 계산

$\left. f_{ce}=\dfrac{f_{c2-2.0}- f_{ce-0.5}}{2.0-0.5}\left(\dfrac{a}{h}-2.0\right.\right)+ f_{ce-2.0}$

$=\dfrac{11.10-13.77}{1.5}\left(\dfrac{2,\: 000}{2,\: 000}-2\right)+11.10=12.88{MPa}$

$f_{ce-0.5}= 0.85\beta_{s}f_{ck}= 0.85\times 0.6\times 27=13.77{MPa}$

$f_{ce-2.0}=\left(\dfrac{1}{6}\sqrt{f_{ck}}\dfrac{d}{w_{sd}}\dfrac{1}{\sin 22}\right)$

$=\dfrac{1}{6}\sqrt{27}\dfrac{1,\: 892}{394}\dfrac{1}{\sin(22)}=11.10{MPa}$

여기서,

$w_{st}=\sqrt{w_{t}^{2}+ l_{b}^{2}}=\sqrt{216^{2}+ 450^{2}}= 499{mm}$

$w_{sd}=\dfrac{C_{d}\sin\theta_{d}}{V_{n}}w_{st}=\dfrac{2,\: 105}{2,\: 000/0.75}\times 499=394{mm}$

$w_{s}= w_{st}-w_{sd}=499-394 =105{mm}$

(7) 부재의 내력 검토

(STM-3)

$V_{n}=\min .(C_{1}\sin\theta + C_{dn}\sin\theta_{d},\: T_{2}+ C_{dn}\sin\theta_{d})$

$=\min .(2,\: 721 ,\: 3,\: 175)$=2,721 kN

여기서,

$C_{1}\sin\theta = f_{ce-0.5 A_{c}}\sin\theta = f_{ce-0.5}(w_{s}b_{w})\sin\theta$

$=13.77\times 105\times 600\times\sin(59.6)=748.2{k N}$

$C_{dn}\sin\theta_{d}= f_{ce}A_{c}\sin\theta_{d}= f_{ce}(w_{sd}b_{w})\sin\theta_{d}$

$=12.88\times 394\times 600\times\sin(40.4)=1,\: 973.4{k N}$

$V_{c}=\dfrac{1}{6}\sqrt{f_{ck}}(b_{w}d)=\dfrac{1}{6}\sqrt{27}(600\times 1,\: 892)=983{k N}$

$T_{2}=n A_{s}f_{y}=\dfrac{\min(a,\: d)}{s}\times 2\times 198.6\times 400$

$=\dfrac{1,\: 892}{250}\times 2\times 198.6\times 400 =1,\: 202{k N}$

$\theta_{d}={\arctan(1,\: 703/2,\: 000)=40.4^{\circ}}$

그러므로 부재의 내력은 콘크리트 스트럿의 강도인 2,743 kN에 의해 결정된다.

$V_{u}\le \phi V_{n}= 0.75\times 2,\: 721 =2,\: 041{k N}$

만일 $V_{n}$이 $T_{2}+ C_{dn}\sin\theta_{d}$으로 결정되고 $V_{n}\cdot\phi\le V_{u}$일 때는 그 차이($\triangle T_{2}= V_{u}-V_{n}\cdot\phi$)만큼 $T_{2}$를 증대시킨 후, 수직타이의 양($\triangle A_{v}=\triangle T_{2}/f_{y}$)을 추가한다. 휨모멘트 계산에서 결정된 인장타이의 내력은 항상 만족되므로, 인장타이 내력을 별도로 비교할 필요는 없다.

(8) 철근 배근

계산 결과에 근거하여 철근을 배근한다.