박순전
(Soon-Jeon Park)
1
김성윤
(Sung Yoon Kim)
2
김대영
(Dae-Young Kim)
3
임인식
(In-Sig Lim)
3
천성철
(Sung-Chul Chun)
4†iD
-
고려대학교 건축사회환경공학과 박사과정
(Graduate Student, Department of Civil, Environmental and Architectural Engineering,
Korea University, Seoul 02841, Rep. of Korea)
-
롯데건설 기술연구원 책임연구원
(Manager, Research&Development Institute, LOTTE E&C, Seoul 06527, Rep. of Korea)
-
한빛구조ENG 대표이사
(CEO, Hanbit Structural Eng. Co., Seoul 08390, Rep. of Korea)
-
인천대학교 도시건축학부 교수
(Professor, Division of Architecture and Urban Design, Incheon National University,
Incheon 22012, Rep. of Korea)
Copyright © Korea Concrete Institute(KCI)
키워드
지하구조물 내진설계, SMS공법, 기계적 이음, 슬러리월
Key words
seismic design of sub-structures, SMS, mechanical splice, slurry wall
1. 서 론
지하구조물 내진설계(MOLIT 2019; AIK 2020)가 도입됨에 따라 지하층 구조부재에 횡력 저항 성능이 요구된다. 면외하중만 저항하던 흙막이벽이 면내 전단력과 휨모멘트에도 저항할 수 있으면 건설비
절감에 크게 기여할 수 있다. 슬러리월은 각각의 패널이 독립적으로 면외 수평력에 저항하도록 개발되었다. 인접 패널이 면내 부재력에 대해 일체로 저항하기
위해서는 패널 경계면에 큰 전단저항력을 가져야한다. 슬러리월 패널의 수평 철근을 연결하여 인접 판넬을 연속하면 일체 거동을 기대할 수 있다. Fig. 1은 패널 경계면 사이 면내전단저항이 없는 경우와 일체로 저항하는 경우의 면내 하중에 의한 변형을 보여주고 있다. Fig. 1(b)와 같이 5개 판넬이 완전 일체가 되면, 단면계수는 Fig. 1(a)의 5배가 된다. 따라서 인접 슬러리월 패널을 일체화하면 면내 부재력에 대한 강도와 강성을 크게 향상시킬 수 있다. 패널 경계면에 작용되는 면내 전단력은
전단마찰로 저항할 수 있으며, 이음된 수평 철근은 전단마찰철근으로 설계한다.
슬러리월 패널 연속화를 위하여 Fig. 2의 수평 철근 기계적 이음공법(seismic mechanical splice for slurry wall joint, 이하 SMS공법)(KIPO 2021, 2022)이 개발되었다. 각 패널이 단속적으로 시공되는 슬러리월 공법의 특성으로, 수평 철근 이음을 위한 길이는 매우 제한적이다. SMS공법은 매우 짧은 길이에서
철근을 잇기 위하여, 1차 패널 마구리에 일부가 개방된 강관을 높이 방향으로 연속하여 매입하고, 1차 패널 콘크리트 타설 시에는 강관 입구를 막아
강관 내부에 콘크리트가 채워지지 않게 한다. 1차 패널 콘크리트 타설 후 강관 입구를 개방하고, 2차 패널 철근망을 위에서 아래로 배근한다. 2차
패널 철근망의 측면에는 1차 패널의 강관과 이음되는 수평 철근이 조립되어 있으며, 강관 내부의 짧은 길이에서 이음강도를 발현하기 위해 큰 정착판을
가진 확대머리철근을 수평 철근으로 사용한다. 이후 1차 패널에 묻힌 강관 내부를 포함하여 2차 패널 콘크리트를 타설하여 1차-2차 패널을 일체화한다.
확대머리철근의 정착길이 설계(KDS 14 20 52)(MOLIT 2021a)는 외부 보-기둥 접합부에 정착된 확대머리철근의 측면파열파괴(Chun et al. 2017)를 바탕으로 개발되어, SMS공법의 적용부위와 상이하다. 이 연구에서는 새로 개발된 SMS공법의 예상파괴유형에 따른 강도평가 방법을 제안하고, 직접
인장실험을 통해 수평 철근의 이음성능을 평가하였다.
Fig. 1 In-plane deformation
Fig. 2 Conceptual drawing of seismic mechanical splice for slurry wall joint (SMS)
2. SMS공법 개요
2.1 구성 요소
SMS공법은 1차 패널 마구리에 설치된 일부 개방된 강관과 2차 패널에 설치된 확대머리철근으로 Fig. 3과 같이 구성된다. Fig. 3은 1, 2차 패널의 경계면 주변 평면이다. 슬러리월 패널의 두께 $D$는 일반적으로 800 mm이며 작용되는 토압과 수압이 크면 1,000 mm로
설계된다. 수평 철근의 용도는 횡력에 의해 유발된 면내 부재력에 대한 저항이므로, 강관과 수평 철근은 슬러리월 단면의 가장자리에 배치할 필요가 없으며
중앙에 배치한다. 강관 중심선 치수는 200 mm×200 mm이며, 두께는 흔히 사용되는 9 mm와 12 mm로 설정하였다. 2차 패널의 수평 철근
배근 시 시공오차를 고려하여 강관의 개구부 폭은 40 mm로 계획하였다. 또한 2차 패널의 수평 철근으로부터 전달된 인장력을 1차 패널로 전달하기
위하여 강관 후면에는 스터트볼트를 설치한다.
강관 전면 콘크리트 피복은 두꺼울수록 수평 철근의 강도발현에 유리하다. 그러나 2차 패널의 수평 철근을 위에서 아래로 배근할 수 있도록 강관 개구부에서
수평으로 빈 공간을 확보해야 하므로, 콘크리트 피복이 두꺼우면 시공이 어렵다. 굴착장비의 치수와 슬러리월 배근을 고려하여, 강관 전면 콘크리트 피복은
90 mm로 계획하였다. 강관 개구부에서부터 수평 철근이 위치할 빈 공간은 Fig. 3과 같이 깔대기 형상으로 계획하였다. 자세한 시공 순서는 SMS공법 특허(KIPO 2021, 2022)를 참고한다.
2차 패널의 수평 철근은 패널 사이 경계면에 요구되는 전단력에 따라 설계되는데, 전단마찰설계(KDS 14 20 22)(MOLIT 2021b)가 적용되므로 설계기준항복강도는 500 MPa를 넘을 수 없다. 이 연구에서는 SD500 D22 철근을 수직간격 300 mm로 계획하였다. 짧은 길이에서
수평 철근의 설계강도를 발현하기 위하여, 수평 철근 끝에는 75 mm×100 mm×25 mm 정착판을 스웨이징 나사로 연결하였다. KDS 14 20
52(MOLIT 2021)과 KS D 3871(KATS 2017a)에 따른 확대머리철근의 최소 순지압면적은 철근단면적의 4배인데, 매우 짧은 구간에서 강도를 발현해야하므로 시공이 가능한 범위에서 정착판을 크게 계획하였다.
또한 정착판에 작용된 지압력이 상하 방향으로 많이 분배되어 넓은 영역의 강관으로 힘이 분산되어야 유리하므로 정착판의 긴 변을 세로로 배치하였다.
2.2 파괴유형과 강도 평가법
2.2.1 파괴유형
수평 철근에 인장력이 작용되면 묻힘깊이가 얕기 때문에 대부분의 인장력은 정착판의 지압으로 지진된다. 정착판 지압은 강관을 밖으로 미는 힘을 유발하는데,
강관의 모서리에서 회전이 발생하여 Fig. 4의 파괴가 가능하다. Fig. 4는 1차 패널의 경계면 주변 평면으로, 이 논문의 3장 실험방법과 동일하게 수평 철근을 수직방향으로 나타내었고, 그림에서 빗금친 영역은 파괴가 예상되는
영역이다. Fig. 4(a)는 강관의 안쪽(1차 패널의 가운데 방향으로 Fig. 4에서 아래쪽) 모서리를 중심으로 강관 측면이 회전하여 측면 콘크리트가 브레이크아웃되는 파괴이고, Fig. 4(b)는 강관의 바깥쪽(1차 패널의 단부 방향으로 Fig. 4에서 위쪽) 모서리를 중심으로 강관 전면이 회전하여 전면 콘크리트가 브레이크아웃되는 파괴를 나타낸다.
Fig. 4 Expected breakout failures
2.2.2 측면 콘크리트 브레이크아웃 발생 강도
측면 콘크리트가 브레이크아웃되는 Fig. 4(a) 파괴가 발생하려면, 정착판에서 강관을 미는 힘으로 강관 안쪽 모서리에 힌지가 형성되고 강관 측면의 회전에 의해 측면 콘크리트가 탈락하여야 한다.
정착판에서 좌우 강관 측면을 미는 힘의 방향과 합력점을 정확히 알 수 없으므로, 수평 철근 축에서 45° 방향으로 작용하고 강관 바깥쪽 모서리에 합력이
작용한다고 가정한다. 따라서 수평 철근 축 직각방향 분력만이 강관 안쪽 모서리 회전을 유발하고, 이 힘의 모멘트 팔길이는 $d_{s}$이다. 강관
안쪽 모서리를 중심으로 측면이 회전하므로 강관 바깥쪽 모서리에서 가장 큰 변위가 발생되고, 이 점에서 측면 콘크리트 브레이크아웃이 시작된다.
이 파괴를 유발하기 위해 필요한 수평 철근 직각방향 힘 $F_{tr}$은 강관 안쪽 모서리의 힌지 형성과 측면 콘크리트 브레이크아웃강도의 합인 식
(1)로 표현할 수 있다. 기본콘크리트브레이크아웃강도 $N_{b}$는 KDS 14 20 54(4.3.2)(MOLIT 2021c)의 공칭강도 설계식 대신, 설계기준의 배경이 되는 CCD 연구(Fuchs et al. 1995)에서 제시하는 평균강도 예측식을 사용한다. 브레이크아웃파괴면 투영면적 $A_{Nc}$은 Fig. 4(a)의 빗금 영역의 세로 길이 $1.5h_{ef}+c_{a1}$에 수평 철근의 간격 $s$의 곱으로 산정한다.
여기서, $M_{y}$는 강관의 휨강도, $d_{s}$는 강관 내부 길이로 이 연구에서는 198 mm, $N_{cbg}$는 콘크리트브레이크아웃강도,
$s$는 수평 철근의 수직 간격, $Z$는 $s$구간 강관의 단면계수, $t$는 강관의 두께, $F_{y}$는 강관의 항복강도, $A_{Nco}=9h_{ef}^{2}$,
$A_{Nc}$는 콘크리트 브레이크아웃파괴면 투영면적, $N_{b}$는 균열콘크리트에서 기본콘크리트브레이크아웃강도, $c_{a1}$은 콘크리트브레이크아웃파괴
시작점에서부터 패널 경계면까지의 수직거리, $\psi_{ec,\: N}$과 $\psi_{c,\: N}$, $\psi_{cp,\: N}$는 각각 편심과
균열, 쪼갬파괴 영향 수정계수로 이 연구에서는 모두 1.0, $\psi_{ed,\: N}$는 연단거리 영향 수정계수, $\lambda_{a}$는 경량콘크리트
수정계수, $f_{ck}$는 콘크리트 설계기준압축강도이다. 콘크리트브레이크아웃강도의 자세한 산정방법은 KDS 14 20 54(4.3.2)(MOLIT 2021c)를 참조한다.
이 파괴가 발생할 때, 수평 철근의 좌우 방향으로 식 (1)의 힘이 작용하는데, 강관을 미는 힘이 수평 철근 축과 45° 방향으로 가정하였으므로 수평 철근에 작용되는 인장력 $T_{1}$은 식 (6)이 된다. 이를 철근 단면적으로 나눈 식 (7)로 수평 철근에 발현된 최대응력 $f_{s1}$을 산정한다.
여기서, $A_{b}$는 수평 철근의 단면적이다.
2.2.3 전면 콘크리트 브레이크아웃 발생 강도
전면 콘크리트가 브레이크아웃되는 Fig. 4(b) 파괴가 발생하려면, 정착판에서 강관을 미는 힘으로 강관 바깥쪽 모서리에 힌지가 형성되고 강관 전면의 회전에 의해 전면 콘크리트가 탈락되어야 한다.
정착판에서 작용되는 힘의 합력이 개구부 끝점이면 가장 불리하지만, 정착판에서 형성된 지압은 기울어지므로, 강관 전면에 균일하게 작용한다고 가정한다.
따라서 개구부 양쪽 강관 전면의 가운데에 합력이 작용하고, 이 힘의 분력 중 수평 철근 축방향 분력만이 강관 바깥쪽 모서리 회전을 유발한다. 강관
바깥쪽 모서리 힌지 형성을 위한 힘의 모멘트 팔길이는 $d_{f}/2$가 된다. 강관 전면이 강관 바깥쪽 모서리를 중심으로 회전하므로 개구부 끝에서
가장 큰 변위가 발생되고, 이 점에서 전면 콘크리트 브레이크아웃이 시작된다.
이 파괴를 유발하기 위해 필요한 수평 철근 축방향 힘 $T_{2}$는 강관 바깥쪽 양 모서리의 힌지 형성과 전면 콘크리트 브레이크아웃강도의 합인 식
(8)로 표현할 수 있다. Fig. 4(b)처럼 개구부 양 끝에서 브레이크아웃이 발생되어 그룹앵커처럼 파괴면이 중첩된다. 브레이크아웃파괴면 투영면적 $A_{Nc}$은 Fig. 4(b)의 빗금 영역의 가로 길이 $3h_{ef}+w_{o}$에 수평 철근의 간격 $s$의 곱으로 산정한다.
여기서, $d_{f}$는 강관 개구부에서 바깥쪽 모서리까지의 거리로 이 연구에서는 74 mm이다.
식 (8)을 철근 단면적으로 나눈 식 (9)로 수평 철근에 발현된 최대응력 $f_{s2}$를 산정한다.
3. SMS공법 인장 실험 계획
3.1 실험 변수
2장에서 예측된 수평 철근의 강도는 강관과 슬러리월의 강도와 치수에 영향을 받는다. 강관의 강도와 두께, 측면과 전면 길이, 개구부 길이가 수평 철근의
발현 강도에 영향을 주고, 슬러리월의 콘크리트 압축강도와 강관으로부터 측면과 전면 콘크리트 두께, 수평 철근의 배근간격도 수평 철근의 강도에 영향을
준다.
강관 시제품은 중심선 기준 200 mm×200 mm, 강관 전면 개구부 길이 40 mm로 제작되어, 강관 치수는 변수에서 제외하였다. 슬러리월은 두께
800 mm로 계획하여, 강관으로부터 측면 콘크리트 두께는 (800—(200+$t$))/2가 된다. 전면 콘크리트 두께는 90 mm로 설정하였다.
슬러리월은 벤토나이트액 속에서 트레미관으로 콘크리트가 타설되는 수중 콘크리트이므로, 타설되는 콘크리트 설계기준압축강도의 80 %로 설계한다. 이 연구에서는
설계기준압축강도를 40 MPa로 설정하고, 실험체 설계강도를 32 MPa로 계획하였다.
실험변수는 강관의 두께와 강도로 결정하였다. 강관 두께는 9 mm와 12 mm 2가지를 사용하고, 강도는 SS275와 SM355를 선정하였다. 가장
흔히 사용되는 두께와 강도를 선정하여 강관 제작 비용 최소화를 기대하였다.
앵커철근을 파괴 방향과 나란하게 파괴 시작점 부근에 배치하면 강도를 향상시킬 수 있다(Eligehausen et al. 2006; MOLIT 2021c) Fig. 4의 예상 파괴를 보면, KDS 14 20 54(2021)(MOLIT 2021c)에서 규정한 앵커철근 배치는 불가능한다. 대신 측면 콘크리트 브레이크아웃을 억제할 수 있도록, 강관 양 측면에 수평 철근 축방향과 나란하게 보강철근을
배치하였다. 수평 철근의 지름과 간격이 22 mm와 300 mm이므로 보강철근의 단면적과 간격은 수평 철근의 1/2로 결정하여 SD500 D16@150으로
설계하였다. 이 보강철근의 유무를 실험변수에 추가하였다.
총 3가지 실험변수로 모두 8가지 종류 실험체를 계획하였고, 동일 실험체를 2개씩 총 16개 실험체를 제작하였다. Table 1에 실험변수를 정리하였다.
Table 1 Test matrix
|
Specimen
|
$t$ (mm)
|
$F_{y}$ (MPa)
|
Transverse reinforcement
|
|
9t-SS275
|
9
|
275
|
×
|
|
9t-SS275-R
|
○
|
|
9t-SM355
|
355
|
×
|
|
9t-SM355-R
|
○
|
|
12t-SS275
|
12
|
275
|
×
|
|
12t-SS275-R
|
○
|
|
12t-SM355
|
355
|
×
|
|
12t-SM355-R
|
○
|
3.2 가력 및 계측 계획
KDS 14 20 22 콘크리트구조 전단 및 비틀림 설계기준(MOLIT 2021b)에서 전단마찰철근은 축 직각방향 전단력에 의해 좌우 콘크리트가 미끄러짐에 따라 인장력이 작용된다. 이 연구에서는 수평 철근에 직접 인장력을 가하여
수평 철근의 성능을 평가하였다. 가력장치도를 Fig. 5에 나타내었다. 실험 편의를 위하여 수평 철근을 수직방향으로 설치하였다. 강관이 중앙에 배치된 1차 패널을 밑에 두고, 2차 패널이 1차 패널 위에
배치된다.
실험체 위로 돌출된 수평 철근은 기계적이음장치를 이용하여 M24 고장력 볼트를 연결하고, 중공 오일잭으로 수평 철근에 직접 인장력을 가하였다. 가력속도는
KS B0802(KATS 2018a)에 따라 정적하중인 5 MPa/s를 기준으로 하였다. 강관의 정착을 위해 강관 후면에 M24 고장력 볼트를 설치하고 바닥 철물에 고정하여 반력을 형성하였다.
중공 로드셀로 하중을 계측하였고, Fig. 5와 같이 2차 패널 콘크리트 상부에 변위계 2개를 철근 좌우로 설치하여 수직변위를 계측하였다. 또한 강관 모서리에 변형률게이지를 부착하여 강관 휨변형
발생시점을 확인하였다.
3.3 실험체 설계
Fig. 6은 실험체 상세도를 보여준다. 실험체 폭은 슬러리월의 두께 800 mm로, 두께는 수평 철근의 수직간격을 모사하여 300 mm로 계획하였다. 1차
패널의 길이는 폭과 동일하게 800 mm로 결정하였다. 1차 패널의 주철근을 모사하여 SD500 D16 철근을 150 mm 간격으로 배치하고 피복두께는
100 mm로 하였다. 2차 패널은 수평 철근의 성능에는 영향을 주지 않지만, 강관 내부 콘크리트 타설을 위해 필요하므로 150 mm 높이로 계획하고
두께 방향 철근은 가운데에 배치하고, 슬러리월 높이 방향 철근은 SD500 200 mm 간격으로 배치하였다. SMS공법에서는 SD500 철근으로 설계하지만,
실험에서 발현된 강도를 평가하기 위하여 가능한 높은 강도로 실험체를 제작하였다. 이 연구에서는 수평 철근으로 SD600 D22 철근을 사용하였다.
Fig. 6 Details of specimens
실험변수 중 하나인 보강철근은 Fig. 6(b)와 같이 강관 양 측면에 SD500 D16을 150 mm 간격으로 배치하였고, 2차 패널 방향 정착을 위해 180°로 굽히고 반대방향은 직선으로 배근하였다.
4. SMS공법 인장 실험 결과
4.1 재료 실험 결과
실험체 제작에 사용된 강관의 강도와 연신율을 확인하기 위하여, KS B 0801(KATS 2017b) 1A호 시험편을 제작하여 인장시험을 실시하였다. 시험결과는 Table 2와 같으며, 모두 KS D 3503(KATS 2018b)과 D3515(KATS 2018c)의 규정을 만족하였다.
Table 2 Tensile test results of steel tubes
|
|
9t
|
12t
|
|
SS275
|
SM355
|
SS275
|
SM355
|
|
Yield strength
(MPa)
|
|
317.0
|
398.3
|
315.3
|
399.7
|
|
KS
|
≥275
|
≥355
|
≥275
|
≥355
|
|
Tensile strength
(MPa)
|
|
474.0
|
549.0
|
477.3
|
500.3
|
|
KS
|
410~550
|
490~630
|
410~550
|
490~630
|
|
Elongation
(%)
|
|
28.3
|
21.3
|
24.7
|
24.3
|
|
KS
|
≥18
|
≥19
|
≥18
|
≥19
|
Table 3 Tensile test results of D22 bar
|
Test pieces
|
Yield strength
(MPa)
|
Tensile strength
(MPa)
|
Elastic modulus
(MPa)
|
|
Average
|
678.8
|
781.2
|
176,100
|
|
KS
|
600~780
|
1.08 times the actual yield strength
|
-
|
수평 철근으로 사용된 SD600 D22 철근의 인장시험 결과를 Table 3에 정리하였다. 모두 KS D 3504(KATS 2021) 규정을 만족하였다.
실험체는 실제 슬러리월 시공 상황을 모사하여 1, 2차 패널로 나눠서 콘크리트를 타설하였다. 무보강 실험체와 보강 실험체를 분리 제작하여 총 4회
콘크리트를 타설하였다. 수평 철근의 성능에 영향을 주는 콘크리트는 1차 패널 콘크리트이다. 실험일 압축강도는 무보강 실험체의 1차 패널과 2차 패널이
각각 34.9 MPa와 27.9 MPa이고, 보강 실험체의 1차 패널과 2차 패널이 각각 32.8 MPa와 28.0 MPa으로 계획한 32 MPa와
유사하였다.
4.2 균열진전 및 파괴양상
실험체의 균열발생과 진전 그리고 파괴양상은 보강철근의 유무에 따라 확연히 구분되었다.
4.2.1 무보강 실험체
모든 무보강 실험체는 동일한 양상으로 파괴되었는데, Fig. 7은 무보강 실험체인 9t-SM355-2의 균열발생과 진전을 단계별로 보여주고 있다.
최초 균열 ①은 강관 전면의 1, 2차 패널 콘크리트 경계면에서 발생하였다. 철근에 인장력이 작용하면 신구콘크리트 경계면에도 인장력이 작용된다. 따라서
신구콘크리트가 분리되면서 경계면이 명확히 구분되었다. 이후 강관 바깥쪽 모서리에서부터 경사 균열 ②가 발생하였고, 하중이 순간적으로 감소하였다. 철근에
인장력이 증가함에 따라 강관 전면이 바깥쪽 모서리를 중심으로 회전하면서 균열이 발생하였다. 균열 ①과 ② 그리고 강관 전면을 경계로 콘크리트 브레이크아웃
파괴영역이 형성되었다. 이때 강관 바깥쪽 모서리의 변형률은 항복변형률에 비해 많이 낮았다. 강관 모서리 변형률에 대해서는 4.4절에서 다시 설명한다.
Fig. 7 Crack propagation of unconfined specimen 9t-SM355-2
강관 전면 콘크리트에 균열 발생 후 강관 전면은 저항능력을 상실하였다고 판단되며, 강관 측면과 측면 콘크리트가 저항하였다. 하중이 다시 증가하고,
강관 안쪽 모서리로부터 균열 ③이 관찰되었다. 강관 안쪽 모서리를 중심으로 강관 측면이 회전하면서 측면 콘크리트에 균열이 발생하였다. 이때 강관 안쪽
모서리의 변형률은 항복변형률에 도달하였다. 강관 모서리 변형률에 대해서는 4.4절에서 다시 설명한다. 이후 균열 폭이 증가하면서 최대 내력에 도달하고
파괴되었다. 따라서 강도는 측면 콘크리트의 브레이크아웃강도와 강관 안쪽 모서리의 힌지 형성 하중의 합으로 평가할 수 있다.
4.2.2 보강 실험체
모든 보강 실험체는 동일한 양상으로 파괴되었는데, Fig. 8은 보강 실험체인 9t-SM355-R-2의 균열발생과 진전을 단계별로 보여주고 있다.
Fig. 8 Crack propagation of confined specimen 9t-SM355-R-2
무보강 실험체와 동일하게, 최초 균열 ①은 강관 전면의 1, 2차 패널 콘크리트 경계면에서 발생하였다. 이후 무보강 실험체와 동일하게, 강관 바깥쪽
모서리에서부터 강관 전면 콘크리트에 경사 균열 ②가 발생하였지만, 무보강 실험체와 달리 균열 발생 시점에 하중이 저하하지 않았다. 강관 측면에 배근된
보강철근이 균열폭을 제어하여 균열 발생에도 불구하고 하중 저하가 없었다. 이때 강관 바깥쪽 모서리의 변형률은 무보강 실험체와 동일하게 항복변형률에
비해 많이 낮았다.
무보강 실험체와 마찬가지로, 균열 ①과 ② 그리고 강관 전면을 경계로 콘크리트 브레이크아웃 파괴영역이 형성되었지만, 보강철근이 효과적으로 균열폭을
제어하여 무보강 실험체에 비해 균열폭이 크지 않다.
이후 하중이 증가하고, 강관 측면에 배근된 보강철근을 따라 균열 ③이 관찰되었다. 이후 강관 안쪽 모서리를 시작점으로 균열 ④가 발생하였지만, 균열의
방향이 수직에 가까왔다. 무보강 실험체에서는 강관 안쪽 모서리에서 시작된 균열이 경사방향으로 발생하고 급격히 균열폭이 증가되면서 파괴되었지만, 보강
실험체에서는 보강철근이 균열 진전을 억제하여 균열방향이 변경되고 균열폭의 진전도 더디었다. 측면 콘크리트에서 콘크리트 브레이크아웃 파괴체가 형성되지
않고 기존 균열의 폭이 증가하면서 최대 내력에 도달하고 파괴되었다.
4.3 철근응력-변위 관계와 최대 철근응력
철근에 가해진 하중을 단면적으로 나눈 철근응력과 변위 관계를 Fig. 9에 나타내었다. 여기서 계측된 변위는 Fig. 5의 가력장치도에서 표시된 2개 변위계에서 계측된 값의 평균이다. 변위계에 계측된 값은 2차 패널의 순수한 변위 외에도 실험체와 하부 지지점 사이의
변위, 하부 지점의 변위와 휨변형 등이 포함된 값이다. 따라서 변위의 절대값은 특별한 의미를 나타내지는 못하고, 실험체 사이의 상대비교와 하중 발현
이력, 거동 특성 파악을 목적으로 계측되었다.
Fig. 9 Bar stress-displacement relations
4.2절 설명과 같이 무보강 실험체는 특정 하중에서 내력이 감소한 후 다시 증가한 반면, 보강 실험체는 특별한 하중 감소 없이 내력이 지속해서 증가하여
최대내력에 도달하였다. 보강철근 유무와 무관하게 최대내력 발현 후에는 내력이 감소하는 취성적인 거동을 보였다. 모든 실험체에서 콘크리트 브레이크아웃으로
파괴되어 이러한 취성 거동이 나타났다.
무보강 실험체와 보강 실험체의 최대 철근응력 $f_{e,\: un}$와 $f_{e,\: con}$을 각각 Table 4와 Table 5에 정리하였다. 모든 보강 실험체는 동일 강관을 사용한 무보강 실험체에 비해 내력이 증가하였다. Table 5에 무보강 대비 보강 실험체의 최대 철근응력 비 $f_{e,\: con}/f_{e,\: un}$을 나타내었고, 최소 1.25배, 최대 1.48배 강도가
향상되었으며, 평균 1.37배 증가하였다. 동일 강관으로 제작한 실험체의 $f_{e,\: con}/f_{e,\: un}$의 변동계수는 6.24 %로
낮으므로, 보강철근은 SMS공법의 강도를 명확히 향상시킴을 알 수 있다.
Table 4 Comparison of bar stresses between tests and predictions of unconfined specimens
|
Specimen
|
$f_{tube1}$
(MPa)
|
$f_{s1}$
(MPa)
|
$f_{e,\: un}$
(MPa)
|
$\dfrac{f_{e,\: un}}{f_{s1}}$
|
$f_{tube2}$
(MPa)
|
$f_{s2}$
(MPa)
|
$\dfrac{f_{e,\: un}}{f_{s2}}$
|
|
9t-SS
275
|
33.5
|
387.5
|
342.9
|
0.885
|
179.3
|
407.9
|
0.853
|
|
313.6
|
0.809
|
0.780
|
|
9t-SM355
|
42.1
|
396.1
|
334.4
|
0.844
|
225.3
|
447.9
|
0.747
|
|
369.8
|
0.934
|
0.826
|
|
12t-SS275
|
59.2
|
413.2
|
400.5
|
0.969
|
317.0
|
539.6
|
0.742
|
|
416.7
|
1.008
|
0.772
|
|
12t-SM
355
|
75.1
|
429.1
|
421.3
|
0.982
|
401.9
|
624.5
|
0.675
|
|
402.1
|
0.937
|
0.644
|
|
|
Avg.
|
0.921
|
|
Avg.
|
0.755
|
|
COV
|
7.05 %
|
COV
|
8.71 %
|
Table 5 Comparison of bar stresses between tests and predictions of confined specimens
|
Specimen
|
$f_{e,\: con}$
(MPa)
|
$\dfrac{f_{e,\: con}}{f_{e,\: un}}$
|
$\dfrac{f_{e,\: con}}{f_{s1}}$
|
|
9t-SS275-R
|
486.6
|
1.482
|
1.256
|
|
455.9
|
1.389
|
1.176
|
|
9t-SM355-R
|
496.6
|
1.410
|
1.254
|
|
497.4
|
1.413
|
1.256
|
|
12t-SS275-R
|
508.9
|
1.246
|
1.232
|
|
507.4
|
1.242
|
1.228
|
|
12t-SM355-R
|
601.2
|
1.460
|
1.401
|
|
545.8
|
1.326
|
1.272
|
|
|
Avg.
|
1.371
|
1.259
|
|
COV
|
6.24 %
|
4.77 %
|
4.4 철근응력-강관변형률 관계
철근응력과 강관 안쪽 및 바깥쪽 모서리에서 계측된 변형률의 관계를 Fig. 10에 나타내었다. 변형률게이지 부착위치는 Fig. 6에 표시하였다.
Fig. 10 Bar stress vs. strain of steel tube relations
철근응력-강관변형률 관계는 강관의 두께와 강종에 무관하게 유사한 경향을 보였다. 동일 강관에서 무보강 실험체의 강관 변형률이 보강 실험체보다 크고,
최대 하중에서 무보강 실험체의 안쪽 모서리의 변형률이 항복변형률을 상회하였다. 보강 실험체는 최대 하중에서 강관 변형률이 항복변형률에 이르지 못하였다.
또한 모든 실험체에서 강관 바깥쪽 모서리 변형률은 안쪽 모서리 변형률보다 작았다. 콘크리트에 균열이 발생한 시점에서 변형률이 크게 증가하거나, 그래프의
기울기가 감소하였다.
무보강 실험체에서는 강관 안쪽 모서리를 중심으로 강관 측면이 회전하면서 최대 내력에 도달한 것으로 판단된다. 보강 실험체에서는 보강철근이 강관 외부
콘크리트의 파괴를 지연하고 강관 측면의 회전도 억제하는 효과가 있었다.
5. SMS공법 강도 평가
5.1 최대 하중과 변형률 비교
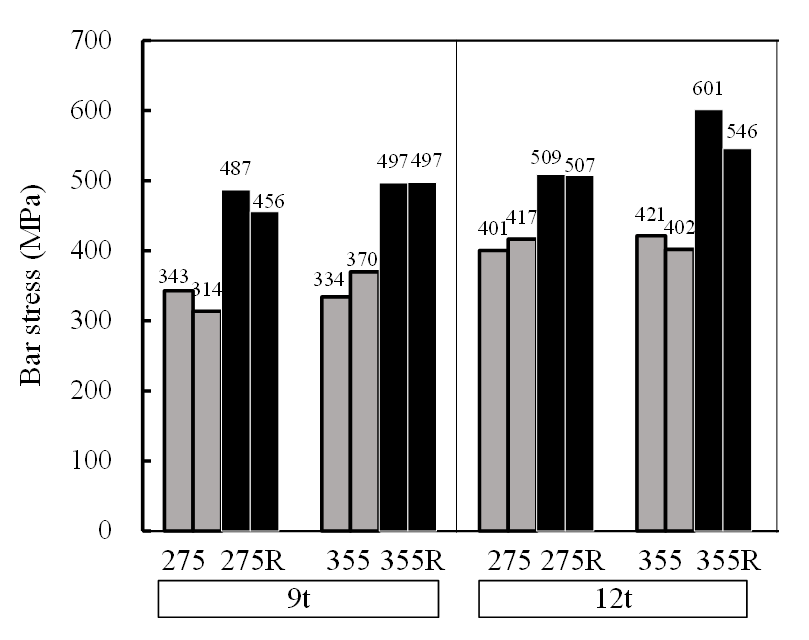
각 실험체의 최대 철근응력을 Fig. 11에 나타내었다. 강관이 두꺼울수록, 설계기준항복강도가 높을수록, 그리고 보강철근이 있는 경우 최대 철근응력이 높았다.
Fig. 11 Maximum bar stresses
Fig. 12 Strains of steel tubes at maximum loads
Fig. 12는 최대 하중에서 강관 모서리 변형률을 비교한 그래프이다. 무보강 실험체는 안쪽 모서리(rear)가 항복하였고, 바깥쪽 모서리(front)는 항복하지
않았다. 즉 최대 하중 시점에 강관 안쪽 모서리 휨강도가 발현되었음을 알 수 있다. 반면 보강 실험체에서는 안쪽 모서리 변형률이 바깥쪽보다 높지만
항복변형률에는 미치지 못하였다. 무보강 실험체는 강관 안쪽 모서리의 힌지 형성과 측면 콘크리트 브레이크아웃이 함께 내력을 형성하였지만, 보강 실험체는
2가지 저항기구가 동시에 최대 내력에 도달하지 않았다.
5.2 무보강 SMS공법 강도 평가
Fig. 4(a)에서 가정된 파괴선은 AB 구간으로 바깥쪽 모서리에서 시작하는 반면, Fig. 7의 실제 파괴선은 Fig. 4(a)의 CD 구간으로 안쪽 모서리에서 시작하였다. 실제 파괴영역이 Fig. 4(a)에서 가정한 영역보다 증가하였다. 그러나 강관 측면, Fig. 4(a)의 BD 구간은 콘크리트가 강관으로 분리되어 실제 콘크리트 브레이크아웃파괴면 투영면적 $A_{Nc}$의 증가는 없다. 따라서 2.2.2항에서 가정한
파괴와 실제 파괴가 유사하다. 2.2.2항의 제안 방법에 따라 무보강 SMS공법 강도를 평가하였다.
묻힘깊이 $h_{ef}$는 294 mm, 콘크리트브레이크아웃파괴 시작점에서부터 패널 경계면까지의 수직거리 $c_{a1}$는 126 mm, 콘크리트
압축강도 34.9 MPa를 이용하여 식 (3)으로 콘크리트브레이크아웃강도 $N_{cbg1}$를 산정하면 68.5 kN이다. 식 (7)로 측면 콘크리트 브레이크아웃에 의해 철근에 발현된 응력 $f_{cbg2}$을 산정하면 354 MPa이다. 강관의 두께와 인장실험으로 측정된 실제
항복강도를 식 (7)에 대입한 $f_{tube1}$를 Table 4에 정리하였다. 또한 실험체별 최대 철근응력과 예측값을 Table 4와 Fig. 13에 비교하였다.
Fig. 13 Comparisons of bar stresses between tests and predictions
Table 4에 2.2.3항에 따른 전면 콘크리트 브레이크아웃 발생 강도도 함께 비교하였다. 묻힘깊이 $h_{ef}$는 90 mm, 강관 개구부 폭 40 mm를
이용하여 식 (3)으로 콘크리트브레이크아웃강도 $N_{cbg2}$를 산정하면 86.2 kN이다. 식 (9)로 전면 콘크리트 브레이크아웃에 의해 철근에 발현된 응력 $f_{cbg2}$을 산정하면 223 MPa이다. 식 (9)에 의한 $f_{tube2}$를 더한 $f_{s2}$를 Table 4에 정리하였다. 전면 콘크리트 브레이크아웃 발생 강도는 측면 콘크리트 브레이크아웃 발생 강도보다 모두 높았고, 실제 파괴도 측면에서 발생하였다. 따라서
측면 콘크리트 브레이크아웃 발생 강도와 비교 평가한다.
8개 무보강 실험체의 [실험값]/[예측값] 비는 최소 0.809에서 최대 1.008로, 평균 0.921 변동계수 7.05 %이다. [실험값]/[예측값]
비의 평균이 0.921로 제안된 평가방법이 실제 강도를 과대평가하였다. Fig. 4(a)에서는 브레이크아웃 파괴체를 형성하는 양쪽 균열이 새로 형성된다고 가정하였으나, Fig. 7의 실제 파괴에서는 초기에 생성된 균열 ①이 이후에 형성된 균열③과 함께 측면 브레이크아웃 파괴체를 형성하므로 식 (3)보다 낮은 하중에서 측면 콘크리트 브레이크아웃이 발생된 것으로 판단된다. 하지만 변동계수(coefficient of variation, COV)는
7.05 %에 불과하여 2.2.2항 내력 평가방법의 신뢰성이 높았다. 또한 관찰된 균열 양상이 예측과 동일하고 강관에서 계측된 변형률이 항복변형률을
상회하여 2.2.2항의 가정이 실제 현상과 동일하다. 제안된 평가방법 중 콘크리트 브레이크아웃강도에 0.9의 추가 저감계수를 적용하여 Fig. 13에서 비교한 결과 [실험값]/[예측값] 비의 평균이 1.01, 변동계수 6.78 %로 실험결과를 정확하고 신뢰성 높게 예측하였다. 식 (1)과 식 (6), (7)을 각각 식 (10)과 식 (11), (12)로 수정하여 무보강 SMS공법 강도 평가식으로 제안한다.
5.3 보강 SMS공법 강도 평가
보강 실험체는 무보강 실험체에 비해 확연한 내력 증진이 나타났으며, 균열 양상도 크게 변화하였다. 따라서 강관 측면에 배근된 보강철근이 내력 증진에
효과적인 것으로 판단된다. Table 5와 Fig. 13에 보강 실험체의 최대 철근응력을 식 (7)과 비교하여 나타내었다. [실험값]/[예측값] 비는 최소 1.176에서 최대 1.482이고, 평균 1.259 변동계수 4.77 %이다.
KDS 14 20 54(MOLIT 2021c)에 따르면 앵커철근을 이용하여 콘크리트 브레이크아웃강도를 대체할 수 있는데, 앵커철근은 인장력 방향과 나란히 배근되어야하고 앵커에 가까이 배치되어야한다.
SMS공법에서는 보강철근이 앵커철근과 유사하게 콘크리트 브레이크아웃강도를 증진시켰지만, KDS 14 20 54(MOLIT 2021c)에 규정된 앵커철근 배근상세를 준수할 수 없다. 따라서 보강 SMS공법의 내력을 기존의 설계기준식을 응용하여 평가하는 것은 바람직하지 않다. 따라서
보강 SMS공법의 내력은 실험에서 발현된 철근 응력에 철근의 정착길이와 이음길이 설계식에서 채택하고 있는 1.25 안전율(Orangun et al. 1977)을 적용하여 공칭강도를 산정하면 현행기준과 동일한 수준의 안전성을 확보할 수 있다.
6. 결 론
지하구조물 내진성능 확보를 목적으로 슬러리월 패널 연속화를 위해, 일부가 개방된 강관과 확대머리철근으로 구성된 기계적 이음(SMS공법)이 개발되었고,
이 연구에서는 SMS공법 강도 평가법을 제안하고 인장실험을 통해 철근의 이음성능을 평가하였다. 연구결과를 다음과 같이 정리하였다.
1) 2가지 파괴유형 (1) 강관 측면 회전과 측면 콘크리트 브레이크아웃, (2) 강관 전면 회전과 전면 콘크리트 브레이크아웃을 제시하고, 각 파괴유형별
강도 평가법을 제안하였다. 실험 결과 최대 철근응력은 강관 측면 회전과 측면 콘크리트 브레이크아웃으로 결정되었다.
2) 무보강 실험체는 콘크리트에 균열이 발생할 때 내력이 감소한 후 다시 증가하였고, 보강 실험체는 특별한 하중 감소 없이 내력이 지속해서 증가하여
최대내력에 도달하였다. 보강철근 유무와 무관하게, 콘크리트 브레이크아웃 파괴가 발생되어 최대내력 발현 후에는 내력이 감소하는 취성적인 거동을 보였다.
3) 강관이 두꺼울수록, 설계기준항복강도가 높을수록, 그리고 보강철근이 있는 경우 최대 철근응력이 증가하였다. 무보강 대비 보강 실험체의 최대 철근응력
비는 최소 1.25배, 최대 1.48배 강도가 향상되었고, 평균 1.37배 증가하였다.
4) 동일 강관에서 무보강 실험체의 강관 모서리 변형률이 보강 실험체보다 크고, 최대 하중에서 무보강 실험체의 안쪽 모서리 변형률이 항복변형률을 상회하였다.
보강 실험체는 최대 하중에서 강관 변형률이 항복변형률에 이르지 못하였다. 무보강 실험체에서는 강관 안쪽 모서리를 중심으로 강관 측면이 회전하면서 최대
내력에 도달하였다.
5) 무보강 실험체의 [실험값]/[예측값] 비는 최소 0.809에서 최대 1.008로, 평균 0.921 변동계수 7.05 %이다. 제안된 평가방법이
실제 강도를 과대평가하지만, 변동계수는 7.05 %에 불과하여 제안된 평가방법의 신뢰성이 높았다. 제안된 평가방법 중 콘크리트 브레이크아웃강도에 0.9의
추가 저감계수를 적용하여 실험결과와 비교하면, [실험값]/[예측값] 비의 평균이 1.01, 변동계수 6.78 %로 실험결과를 정확하고 신뢰성 높게
예측하였다.
6) 보강 실험체의 [실험값]/[예측값] 비는 최소 1.176에서 최대 1.482이고, 평균 1.259 변동계수 4.77 %로 나타났다.
감사의 글
이 연구는 롯데건설 기술연구원과 한빛구조ENG의 지원으로 수행되었으며 연구지원에 감사드립니다.
References
AIK , 2020, Guidelines for Seismic Design of Building Substructures, Rev. 1, Seoul,
Korea; Architectural Institute of Korea (AIK). 122. (In Korean)

Chun S. C., Choi C.-S., Jung H.-S., 2017, Side-Face Blowout Failure of Large-Diameter
High-Strength Headed Bars in Beam-Column Joints, ACI Structural Journal, Vol. 114,
No. 1, pp. 161-172

Eligehausen R., Mallee R., Silva J., 2006, Anchorage in Concrete Construction, Ernst
& Sohn (J. T. Wiley), Berlin, 380.

Fuchs W., Eligehausen R., Breen J. E., 1995, Concrete Capacity Design (CCD) Approach
for Fastening to Concrete, ACI Structural Journal, Vol. 92, No. 1, pp. 787-802

KATS , 2017a, Headed Bars for Concrete Reinforcement (KS D 3871, Seoul, Korea: Korea
Agency for Technology and Standards (KATS), Korea Standard Association (KSA), 3. (In
Korean)

KATS , 2017b, Test Pieces for Tensile Test for Metallic Materials (KS B 0801, Seoul,
Korea: Korea Agency for Technology and Standards (KATS), Korea Standard Association
(KSA). (In Korean)

KATS , 2018a, Method of Tensile Test for Metallic Materials (KS B 0802), Seoul, Korea:
Korea Agency for Technology and Standards (KATS), Korea Standard Association (KSA).
(In Korean)

KATS , 2018b, Rolled Steels for General Structure (KS D 3503), Seoul, Korea: Korea
Agency for Technology and Standards (KATS), Korea Standard Association (KSA). (In
Korean)

KATS , 2018c, Rolled Steels for Welded Structures (KS D 3515), Seoul, Korea: Korea
Agency for Technology and Standards (KATS), Korea Standard Association (KSA). (In
Korean)

KATS , 2021, Steel Bars For Concrete Reinforcement (KS D 3504), Seoul, Korea: Korea
Agency for Technology and Standards (KATS), Korea Standard Association (KSA). (In
Korean)

KIPO , 2021, Slurry Wall Connection Structure and Slurry Wall Construction Method
Using the Same (10-2021-0047967), Korean Intellectual Property Office (KIPO). (In
Korean)

KIPO , 2022, Construction Structure and Same Method for Slurry Wall Joint End (10-2022-0011000),
Korean Intellectual Property Office (KIPO). (In Korean)

MOLIT , 2019, Seismic Design of Buildins (KDS 41 17 00), Sejong, Korea: Ministry of
Land, Infrastructure and Transport (MOLIT). 122. (In Korean)

MOLIT , 2021a, Development and Splices of Reinforcement (KDS 14 20 52), Sejong, Korea:
Ministry of Land, Infrastructure and Transport (MOLIT). 7 (In Korean)

MOLIT , 2021b, Shear and Torsion (KDS 14 20 22), Sejong, Korea: Ministry of Land,
Infrastructure and Transport (MOLIT). 18 (In Korean)

MOLIT , 2021c, Anchoring to Concrete (KDS 14 20 54), Sejong, Korea: Ministry of Land,
Infrastructure and Transport (MOLIT). 10-13 (In Korean)

Orangun C. O., Jirsa J. O., Breen J. E., 1977, A Reevaluation of Test Data on Development
Length and Splices, ACI Structural Journal, Vol. 74, No. 11, pp. 114-209
