오나경
(Na-Kyung Oh)
1
양근혁
(Keun-Hyeok Yang)
2†iD
문주현
(Ju-Hyun Mun)
3iD
-
경기대학교 건축공학과 석사과정
(Graduate Student, Department of Architectural Engineering, Kyonggi University, Suwon
16227, Rep. of Korea)
-
경기대학교 건축공학과 교수
(Professor, Department of Architectural Engineering, Kyonggi University, Suwon 16227,
Rep. of Korea)
-
경기대학교 건축공학과 조교수
(Assistant Professor, Department of Architectural Engineering, Kyonggi University,
Suwon 16227, Rep. of Korea)
Copyright © Korea Concrete Institute(KCI)
키워드
전단벽, 경량골재 콘크리트, 곡률연성비, 내력, 강성
Key words
shear wall, lightweight aggregate concrete, curvature ductility ratio, flexural capacity, ductility
1. 서 론
경량골재 콘크리트(lightweight aggregate concrete, LWAC)는 천연골재보다 낮은 비중을 갖는 산업부산물을 활용한 인공 팽창골재를
일반적으로 사용한다(Lee 2018). 구조용 경량골재 콘크리트(LWAC)의 단위용적중량은 1,400~2,000 kg/㎥ 범위에 있고, 보통중량 콘크리트(normal-weight concrete,
NWC)에 비해 약 40~25 % 낮은 수준이다(Kim et al. 2010). 이에 따라 LWAC는 구조용으로 사용 시 구조물의 자중을 가볍게 하여 지진력에 의해 도입되는 밑면 전단력을 감소시킬 수 있다(Im et al. 2020). 또한 밑면 전단력의 감소는 부재의 소요 단면을 줄일 수 있어 사용되는 콘크리트 및 철근 등의 재료량의 감소와 함께 전반적인 건설비용 절감에도 유리할
수 있다(Sim and Yang 2011; Yang 2013).
경량골재 콘크리트(LWAC)는 NWC보다 인장강도와 균열저항성이 낮고 특히 파괴 시 골재가 관통되는 경향을 보인다(Lee et al. 2019). 이로 인해 구속된 응력-변형률의 관계에서 최대응력 이후의 거동은 일반적으로 NWC보다 LWAC에서 더 취성적이다(Sim and Yang 2011; Yang et al. 2020). 결과적으로 LWAC로 제조된 부재는 NWC로 제조된 부재보다 낮은 구속효과로 연성이 현저하게 저하된다(Mun and Yang 2014; Lee et al. 2019). 따라서 LWAC로 제조된 부재들은 연성에 대한 안전성의 평가가 중요하다.
철근 콘크리트 전단벽은 지진 에너지를 중점적으로 흡수하는 고연성의 확보가 필요한 축력부재이다(Chun 2015). 전단벽의 중량감소 및 자원재활용 측면에서 LWAC를 사용할 경우 NWC에 비해 취성적으로 거동하기 때문에 내력 및 연성의 안전성 평가는 반드시
필요하다. 하지만, 전단벽에 대한 기존 설계기준들은 대부분 기둥의 상세를 그대로 반영하고 있어 LWAC 전단벽 연성에 미치는 중요변수들의 영향을 고려하지
않고 있다. 즉, 전단벽 설계기준들은 NWC를 사용한 부재의 실험결과에 기반하고 있으므로 LWAC 사용한 전단벽의 안전성에 대해서는 지속적 평가가
필요하다.
이 연구의 목적은 ACI 318-19(2019)의 설계기준에서 제시하고 있는 경계요소 내의 최소 횡보강근량이 LWAC 전단벽의 연성 확보에 적절한지를 평가하는 것이다. 이를 위해 횡보강근량을 변수로
모래경량 콘크리트(sand-lightweight aggregate concrete, SLWAC) 및 NWC를 사용한 특수 전단벽을 각각 2개씩 제작하였다.
제작된 특수 전단벽은 ACI 318-19(2019)에서 제시하고 있는 경계요소의 상세를 적용하였다. 전단벽 실험체들의 휨 내력은 설계기준(ACI 318-19 2019)의 휨 내력과 비교하여 이에 대한 안전성을 검증하였다. 또한 전단벽 실험체들의 연성은 횡하중-횡변위각 관계로부터 얻어진 전단벽의 곡률 연성비 및 일손상지수의
분석을 통해 평가하였다. 특히 곡률 연성비는 EC 8(CEN 2004)에서 제시하고 있는 연성 등급과 비교하였다.
2. 실 험
2.1 실험체 상세
Fig. 1 및 Table 1에는 실험체 상세를 나타내었다. 실험 변수는 콘크리트 종류와 경계요소 내 횡보강근의 체적지수($\omega_{sh}$)이다. 콘크리트는 SLWAC
및 NWC로 선정하였다. 횡보강근의 간격($s_{tr}$)은 70 mm와 45 mm로서 이들 값은 ACI 318-19 (2019)에서 제시하고 있는 최소 횡보강근량의 1.0$A_{sh(ACI)}$ 및 1.5$A_{sh(ACI)}$에 해당하는 것이다. 이에 따라 SLWAC의 $\omega_{sh}$는
1.0$A_{sh(ACI)}$와 1.5$A_{sh(ACI)}$에서 각각 0.122 및 0.189이었으며, NWC에서는 각각 0.113 및 0.177이었다.
실험체명에서 첫 번째 항의 문자는 콘크리트의 종류를(S=SLWAC, N=NWC), 두 번째 항의 숫자는 $s_{tr}$을 의미한다. 예를 들어, 실험체
S-70은 $s_{tr}$이 70 mm인 SLWAC 전단벽이다. 모든 실험체는 경계요소가 250 mm×250 mm의 단면의 크기를 갖는 바벨형이다.
전단벽의 길이($l_{w}$) 및 웨브 두께($b_{w}$)는 각각 1,200 mm 및 170 mm이며, 높이($h_{w}$)는 3,150 mm이다.
전단벽의 상부 및 하부 스터브는 각각 2,200 mm×700 mm×400 mm 및 2,500 mm×500 mm×800 mm의 크기로 제작하였다. 경계요소에서
주철근은 직경이 13 mm인 8개의 이형철근으로 배근하였으며, 이때의 주철근비는 0.016이다. 웨브 내의 수직 및 수평철근은 직경이 10 mm인
이형철근을 이용하여 각각 300 mm와 200 mm의 간격으로 배근하였으며, 이때의 철근비는 각각 0.003과 0.0042이다.
Table 1 Details of shear wall specimens
|
Specimens
|
Concrete type
|
$f_{ck}$
(MPa)
|
$\rho_{c}$
(kg/㎥)
|
Lateral reinforcement
|
|
$s_{tr}$ (mm)
|
$\omega_{sh}$
|
|
S-70
|
SLWAC
|
28
|
1,874
|
70
|
0.122
|
|
S-45
|
45
|
0.189
|
|
N-70
|
NWC
|
30
|
2,280
|
70
|
0.113
|
|
N-45
|
45
|
0.177
|
Note: $f_{ck}$: compressive strength of concrete; $\rho_{c}$: unit weight of concrete;
$s_{tr}$: vertical space of transverse reinforcement; $\omega_{sh}$: volumetric index
of transverse reinforcement at boundary element
Fig. 1 Details of geometrical dimensions and reinforcement arrangement for shear wall specimens
2.2 사용재료
콘크리트 종류에 따른 배합표 및 역학적 특성은 Table 2 및 Fig. 2에 나타내었다. 경량골재 콘크리트에 사용된 인공경량골재는 바텀애시와 준설토를 주요 재료로 성형 및 소성한 것을 사용하였다(Lee and Yang 2018). 인공경량골재는 배합에서 재료분리를 방지하기 위해 24시간 물에 침지하였으며, 이후 표면건조 상태가 될 때까지 자연 건조하였다. 인공경량골재의 굵은골재
최대치수는 20 mm이며, 조립률은 6.4이다. 목표 콘크리트 압축강도($f_{cd}$)는 24 MPa로 설정하였다. 측정결과 SLWAC의 $f_{ck}$는
평균 28 MPa이었으며, $\rho_{c}$는 평균 1,874 kg/㎥이었다. 보통중량 콘크리트(NWC)의 $f_{ck}$는 평균 30 MPa이었으며,
$\rho_{c}$는 평균 1,780 kg/㎥이었다.
Table 2 Mixture proportion of concrete
|
Concrete type
|
$W/C$
(%)
|
$S/a$
(%)
|
Unit weight(kg/㎥)
|
|
$W$
|
$C$
|
$C_{L}$
|
$C_{G}$
|
$F_{S}$
|
$F_{L}$
|
|
SLWAC
|
57
|
43
|
194
|
340
|
603
|
0
|
736
|
0
|
|
NWC
|
50
|
35
|
193
|
350
|
0
|
1,109
|
597
|
0
|
Note: $W/C$: water-to-binder ratio by weight; $S/a$: sand-to- aggregate ratio by volume;
$W$: water; $C$: ordinary Portland cement; $C_{L}$: coarse lightweight aggregate;
$C_{G}$: natural crushed granite; $F_{S}$: natural sand; $F_{L}$: fine lightweight
aggregate
Fig. 2 Stress-strain curve of concrete
철근의 역학적 특성은 Table 3과 Fig. 3에 나타내었다. 직경 6 mm, 10 mm 및 13 mm인 철근의 항복강도($f_{y}$)는 각각 418 MPa, 424 MPa 및 472 MPa이었으며,
인장강도($f_{u}$)는 각각 628 MPa, 602 MPa 및 629 MPa이었다. 직경 6 mm 원형철근의 $f_{y}$는 항복점이 뚜렷하지
않아 0.2 % 오프셋 방법으로 산정하였다.
Table 3 Mechanical properties of reinforcing bars
|
Type
|
$f_{y}$ (MPa)
|
$\epsilon_{y}$
|
$E_{s}$ (MPa)
|
$f_{u}$ (MPa)
|
$\epsilon_{f}$
|
|
D6
|
481
|
0.0038
|
188,752
|
628
|
0.064
|
|
D10
|
454
|
0.0021
|
201,904
|
602
|
0.125
|
|
D13
|
472
|
0.0022
|
214,631
|
629
|
0.139
|
Note: $f_{y}$: yield strength; $\epsilon_{y}$: yield strain; $f_{u}$: tensile strength;
$E_{s}$: modulus of elasticity; $\epsilon_{f}$: elongation ratio
Fig. 3 Stress-strain curve of reinforcing bars
2.3 실험체 가력 및 측정방법
실험체 가력 상세는 Fig. 4에 나타내었다. 실험체는 관통된 하부 스터브와 50 mm 직경의 락볼트를 이용하여 바닥의 반력판에 완전히 고정하였다. 모든 실험체는 1,000 kN
용량의 오일잭 2개를 이용하여 실험이 종료되는 시점까지 일정한 축력을 도입하였다. 축력비($N_{u}/f_{ck}A_{g}$)는 상부 스터브에 연결된
오일잭을 이용하여 0.1로 도입하였는데, 여기서 $N_{u}$는 작용 축력을, $A_{g}$는 실험구간의 단면적을 의미한다. 횡력은 2,000 kN
용량의 액추에이터를 이용하여 정 및 부방향으로 20 mm/min의 일정한 속도로 도입하였다. 상부 스터브의 양 측면에는 강재 블록을 설치하여 횡가력에
의한 지압파괴를 방지하였다. 모든 실험체는 FEMA 356(2000)에서 제시된 변위이력으로 가력하였다(Fig. 5). 횡방향의 변위는 상부 스터브 중심의 하중작용선에 설치된 300 mm 용량의 변위계(linear variable differential transducers,
LVDT)를 이용하여 측정하였다. 실험체 웨브내의 전단 변위는 50 mm 용량의 LVDT 6개를 설치하여 측정하였다. 이때, 곡률은 높이 0.5$l_{w}$에
설치된 50 mm 용량의 LVDT를 이용하여 측정하였다.
Fig. 5 Lateral loading history
3. 실험결과 및 분석
3.1 실험체의 균열 진전 및 파괴모드
실험체의 균열 진전 및 최종 파괴모드는 Fig. 6에 나타내었다. Fig. 6에서 나타낸 숫자는 균열이 발생된 시점의 사이클을 의미한다. 실험체 S-70의 초기 수평 휨 균열은 1 사이클에서 경계요소 콘크리트 인장 측에 발생하였다.
수평 휨 균열은 하중이 증가함에 따라 상부 스터브 방향으로 진전하였다. 4 사이클에서는 정 및 부방향에서 진전된 균열이 웨브에서 경사진 상태로 교차하였으며,
7 사이클에서 주철근의 항복과 함께 수직균열이 발생하였다. 19 사이클에서는 주철근의 좌굴과 동시에 피복 콘크리트의 박리가 발생하였으며, 19 사이클에서
주철근이 파단되었다. 실험체 S-45, N-70 및 N-45는 S-70과 유사한 균열진전을 보였다. 하지만, 주철근의 좌굴과 파단시점은 $\omega_{sh}$에
의해 현저한 영향을 받았다. 주철근 좌굴 및 판단시점은 $\omega_{sh}$가 약 1.5배 증가할 때에 각각 3 및 6 사이클 지연되었다. 이와
같이 경계요소를 갖는 전단벽의 파괴모드는 콘크리트 종류보다 횡보강근의 양에 미치는 영향이 더 현저함을 확인하였다.
Fig. 6 Typical crack propagation
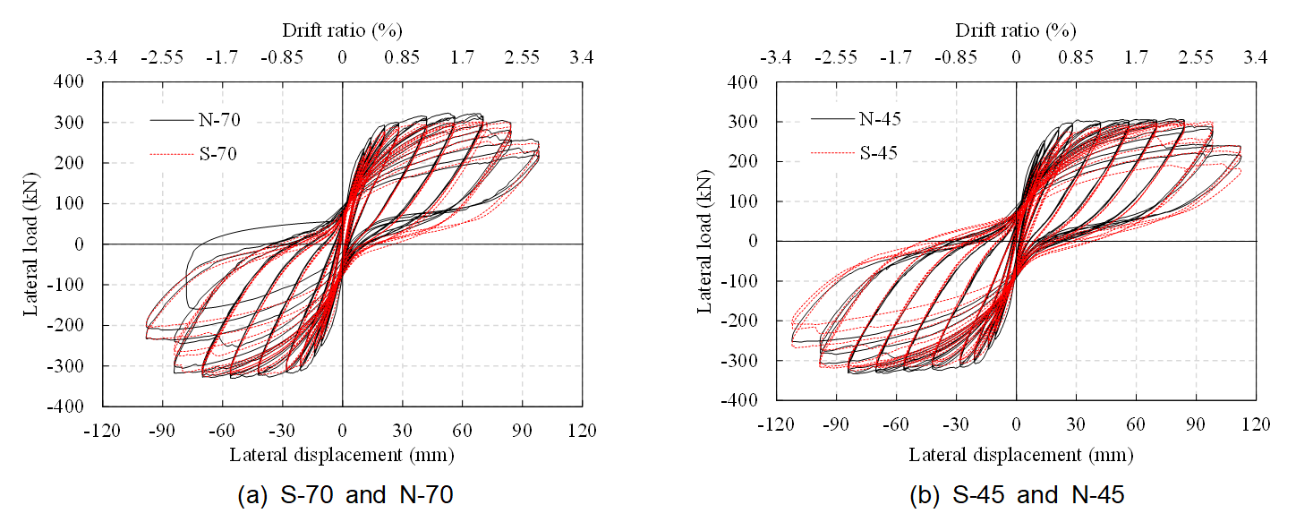
3.2 횡하중-횡변위각 관계
모든 실험체의 횡하중-횡변위각 관계는 Fig. 7에 나타내었다. 실험체 S-70 및 S-45는 초기 휨 균열 발생 이후 강성 저하와 함께 변위가 급격하게 증가하였다. 7 사이클에서는 항복시점에 도달하였으며,
항복 이후 하중이 완만하게 증가하였다. 최대하중이 도달하는 시점은 $\omega_{sh}$가 증가함에 따라 지연되었다. 실험체 S-70 및 S-45에서
최대하중이 도달하는 시점은 각각 13 및 16 사이클이었다. 이후 각각 25 및 28 사이클에서는 최대하중의 80 %로 감소하였으며, 이후 하강 기울기는
$\omega_{sh}$가 증가할수록 완만하였다. 보통중량 콘크리트(NWC) 실험체는 항복 및 최대하중 시점까지 SLWAC 실험체와 비슷하였다. 하지만,
최대하중의 80 %에 도달하는 시점은 S-70이 N-70에 비해 1 사이클 느리게 나타났다. 또한, 최대하중과 최대하중 이후 최대하중의 80 % 시점에서의
횡변위각비는 S-70 및 N-70에서 각각 2.0 % 및 2.8 %이었으며, S-45 및 N-45에서 2.4 % 및 3.2 %이었다. 결과적으로 콘크리트
종류와 상관없이 1.0$A_{sh(ACI)}$ 이상을 배근한 실험체는 최대하중 이후 최대하중의 80 %로 저하되는 시점에서 2.8 % 이상의 횡변위각비를
확보할 수 있었다.
Fig. 7 Lateral load-drift ratio relationship
3.3 최대 모멘트($M_{n}$)
Table 4에는 무차원화된 최대 모멘트($\eta_{n}=M_{n}/f_{ck}b_{w}l_{cr}^{2}$)를 나타내었으며, 여기서 $l_{cr}$은 경계요소길이를
의미한다. 실험체 S-70 및 S-45의 $\eta_{n}$은 모두 0.16으로서 동일한 $\omega_{sh}$를 갖는 NWC 실험체와 비슷하였다.
동일한 Table에는 실험체들의 $M_{n}$과 ACI 318-19(2019)에서 제시하고 있는 콘크리트 등가응력블록에 의해 산정된 공칭 모멘트($M_{n({PRE})}$)를 비교하였다. 최대내력 모멘트의 예측값 대비 실험값의
비($M_{n({Exp})}/M_{n({PRE})}$)는 평균 1.16배로서 콘크리트의 종류 및 횡보강근량에 관계없이 비슷한 수준에 있었다. Fig. 8에는 ACI 318-19(2019)에 의해 산정된 축력-모멘트 상관도와 함께 모든 실험체의 실험결과를 나타내었다. Fig. 8에서 빨간색 점선은 ACI 318-19(2019) 기준에서 제시하고 있는 압축 및 인장지배 영역을 구분하는 최외단측 주철근의 변형률($\epsilon_{t}$=0.005)을 의미한다. 최외단측 주철근의
변형률이 0.005보다 크면, 실험체는 인장 지배형으로 가정할 수 있으므로 모든 실험체는 인장지배 영역에 있음을 확인하였다.
Table 4 Summary of test results
|
Specimens
|
Experimental values
|
Predicted values
|
$M_{n({Exp})}$/$\mu_{{n}({PRE})}$
|
|
$\mu_{n}$ (kN・m)
|
$\eta_{n}$
|
$\phi_{y}$ (×10$^{-6}$)
|
$\phi_{80}$ (×10$^{-6}$)
|
$\mu_{\phi}$
|
$W_{80}$
|
$\mu_{{n}({PRE})}$ (kN・m)
|
|
S-70
|
1,099
|
0.16
|
1.91
|
28.8
|
15.3
|
121
|
945
|
1.16
|
|
S-45
|
1,101
|
0.16
|
2.26
|
40.1
|
17.7
|
219
|
945
|
1.17
|
|
N-70
|
1,143
|
0.16
|
2.05
|
33.7
|
16.4
|
146
|
978
|
1.17
|
|
N-45
|
1,130
|
0.15
|
2.27
|
41.4
|
18.5
|
241
|
978
|
1.16
|
Note: $M_{n}$: measured peak moment capacities of the walls; $\eta_{n}$: normalized
maximum moment; $\phi_{y}$: curvature at the yielding of vertical or longitudinal
reinforcements; $\phi_{80}$: curvature at the 80 % peak load in the descending branch;
$\mu_{\phi}$(=$\phi_{80}$/$\phi_{y}$): curvature ductility ratio
Fig. 8 Comparison of flexural capacity with P-M interaction determined from ACI 318-19 procedure
3.4 강성 감소
모래경량 콘크리트(SLWAC) 및 NWC 실험체의 횡변위각비에 따른 강성 변화를 Fig. 9에 나타내었다. 실험체의 강성은 원점에서부터 각 사이클의 최대하중과 최대하중에서의 변위를 연결한 할선 강성으로 산정하였다. 모든 실험체의 강성은 최대하중
이전 콘크리트 종류와 $\omega_{sh}$에 의해서 다소 영향을 받았지만, 그 저하 기울기는 $\omega_{sh}$와 콘크리트 종류 대한 영향이
미미하였다. 모든 실험체의 강성은 횡변위각비 1.2 % 이전까지 급격히 저하되지만, 횡변위각비 1.2 % 이후 점진적으로 감소하였는데 그 감소비율은
횡변위각비 2.4 %까지 비슷하였다. 반면, 2.4 %를 기점으로 $\omega_{sh}$가 감소함에 따라 SLWAC 및 NWC 실험체의강성은 급격히
저하되었는데, 그 값은 $\omega_{sh}$가 35 % 및 36 % 감소함에 따라 각각 21 % 및 17 % 감소하였다. 이때의 S-70 및 S-45의
강성은 2.31 kN/mm 및 2.90 kN/mm으로 NWC 실험체에 비해 9 % 및 5 % 낮았다.
Fig. 9 Variation of secant stiffness of shear walls
3.5 곡률 연성비($\mu_{\phi}$)
경계요소를 갖는 RC 전단벽의 곡률 연성비($\mu_{\phi}$)는 Watson and Park(1994)가 제안한 다음 식을 사용하여 산정하였다.
여기서, $\phi_{80}$ 및 $\phi_{y}$는 각각 최대하중 이후 최대하중의 80 % 시점 및 주철근 항복시점의 곡률을 의미한다. Table 4에 제시된 바와 같이 실험체의 $\mu_{\phi}$는 $\omega_{sh}$가 증가함에 따라 증가하였다. 또한 동일한 $\omega_{sh}$에서
실험체의 $\mu_{\phi}$는 NWC보다 SLWAC에서 다소 낮았다. 실험체 S-70 및 S-45의 $\mu_{\phi}$는 각각 15.3 및
17.7로서 NWC 실험체에 비해 각각 7 % 및 4 % 높았다. 또한, $\omega_{sh}$가 36 % 감소할 때, $\mu_{\phi}$는
SLWAC에서 14 % 감소하였는데, 그 감소기울기는 SLWAC에서 더 완만하였다. 실험체들의 $\mu_{\phi}$는 EC 8(CEN 2004)에서 제시한 연성등급과 비교하였다(Fig. 10). EC 8(CEN 2004)은 연결되지 않은 전단벽 시스템에서 지진 위험도 효과(effect of seismic hazard)를 고려하면서 지반타입 D로 적용 시 고연성 확보를
위한 $\mu_{\phi}$의 최소값을 7.8로 제시하고 있다. 결과적으로 모든 실험체는 EC 8(CEN 2004)에 의해 고연성 등급으로 평가되었다.
Fig. 10 Effect of volumetric transverse reinforcement ratio on the curvature ductility ratio of shear walls
3.6 일손상지수($W$)
일손상지수($W$)는 Sheikh and Khoury(1997)에서 제시된 다음의 식을 이용하였다.
여기서, $n$은 사이클 수를, $E_{m}$은 $m$번째 사이클에서 이력루프의 면적을, $K_{m}$은 $m$번째 사이클에서 이력루프의 평균 강성을,
$K_{m}^{+}$과 $K_{m}^{-}$은 각각 $m$번째 사이클에서 각각 정방향 및 부방향의 강성을, $\Delta_{m}$은 $m$번째 사이클의
평균 최대 횡변위를, $\Delta_{m}^{+}$ 및 $\Delta_{m}^{-}$은 각각 $m$번째 사이클에서의 정방향 및 부방향의 최대 횡변위를
나타낸다. 위의 식은 연성의 지표인 각 사이클에 대한 강성 및 누적 에너지를 고려할 수 있다. Fig. 11에는 가력 사이클 수에 따른 $W$를 나타내었다. 모래경량 콘크리트(SLWAC) 실험체의 $W$는 최대하중 이전에는 점진적으로 증가하다가 최대하중
도달시점인 13~16 사이클 이후부터 급격히 증가하였다. 보통중량 콘크리트(NWC) 실험체의 $W$는 20 사이클까지 SLWAC 실험체의 $W$와
매우 비슷하였다. 하지만, 이 이후 사이클에서 NWC 실험체의 증가폭은 SLWAC 실험체보다 점차 증가하기 시작하였는데, 25 사이클에서 산정된 $W$의
값은 SLWAC 실험체보다 약 1.6배 높았다. 또한, SLWAC 및 NWC 실험체의 $W$는 $\omega_{sh}$가 증가할수록 증가하였는데,
그 증가폭도 사이클이 증가함에 따라 증가하였다. Table 4에는 최대하중 이후 최대하중의 80 %까지 누적하여 산정된 일손상지수($W_{80}$)를 나타내었다. 실험체 S-70 및 S-45의 $W_{80}$은
121 및 219이었으며, 동일한 $A_{sh(ACI)}$를 배근한 NWC 실험체보다 약 17 % 및 9 % 낮았다. 결과적으로, $W_{80}$은
S-70($\omega_{sh}$=0.122)에서 가장 작았는데, 그 작음의 정도는 $\omega_{sh}$가 작아짐에 따라 더 현저하였다. 또한,
NWC 실험체의 $W_{80}$ 이후 사이클은 $\omega_{sh}$가 증가함에 따라 SLWAC 실험체보다 증가하였다. 이러한 실험결과를 기반으로
SLWAC 전단벽에서 NWC 전단벽의 $W_{80}$와 비슷한 수준으로 확보하기 위해서는 $\omega_{sh}$를 0.189 이상으로 확보하여야
한다.
Fig. 11 Work damage indicator calculated at each loading cycle
4. 결 론
1) 모든 실험체의 횡하중-횡변위각 관계에서 최대 모멘트 이후 하강 기울기는 $\omega_{sh}$가 감소할수록 급격하였는데, 그 하강 기울기는
모래경량 콘크리트 실험체에서 더 증가하였다.
2) 모든 실험체의 휨 내력은 ACI 318-19에 의해 산정된 공칭 휨 내력보다 약 1.16배 높았으며, 콘크리트 종류와 상관없이 모든 실험체를
안전측으로 예측하였다. 결과적으로 등가응력블록에 기반하여 제시된 모멘트 산정 절차는 모래경량 콘크리트 전단벽의 휨 내력을 예측하는데 합리적이다.
3) 모래경량 콘크리트 실험체의 강성은 최소 횡보강근량의 1.0배 및 1.5배에서 보통중량 콘크리트 실험체보다 각각 21 % 및 17 % 낮았다.
4) 모래경량 콘크리트 실험체의 $\mu_{\phi}$와 $W_{80}$은 최소 횡보강량에서 보통중량 콘크리트 실험체보다 각각 7 % 및 17 %
낮았다.
5) 최소 횡보강근량의 1.0배 이상 배근한 실험체들의 곡률 연성비는 EC 8에 의해 제시된 고연성 등급을 만족하였다.
감사의 글
이 성과는 정부(과학기술정보통신부)의 재원으로 한국연구재단의 지원을 받아 수행된 연구임(No. 2022R1A2B5B030 02476).
References
ACI Committee 318 , 2019, Building Code Requirements for Structural Concrete (ACI
318M-19) and Commentary, Farmington Hills, MI; American Concrete Institute (ACI).
503., Vol. farmington hills mi american concrete institute (aci, No. 503

CEN. , 2004, Eurocode 8: Design of Concrete Structures - Part 1-1: General Rules and
Rules for Buildings (BS EN 1992- 1-1:2004)., London, UK; European Committee for Standardization
(CEN), British Standards Institute (BSI), pp. 114-117

Chun Y. S., 2015, Seismic Performance of Special Shear Wall with the Different Hoop
Reinforcement Detail and Spacing in the Boundary Element, Land and Housing Institute
Journal, Vol. 6, No. 1, pp. 11-19

FEMA. , 2000, Prestandard and Commentary for Seismic Rehabilitation of Buildings (FEMA
356), Washington, D.C.; Federal Emergency Management Agency (FEMA). 500.

Im C. R., Yang K. H., Mun J. H., 2020, Assessment of Maximum Longitudinal Reinforcement
Ratios for Reinforced Lightweight Aggregate Concrete Beams, Journal of the Korea Concrete
Institute, Vol. 32, No. 5, pp. 419-425

Kim Y. J., Choi Y. W., Lacjemi M., 2010, Characteristics of Self-Consolidating Concrete
Using Two Types of Lightweight Coarse Aggregates, Construction and Building Materials,
Vol. 24, No. 1, pp. 11-16

Lee K. H., 2018, Reliable Model Proposals for Mechanical Properties and Mixing Proportioning
of Lightweight Aggregate Concrete Using Expanded Bottom Ash and Dredged Soil Granules,
Ph.D. Thesis. Kyonggi University

Lee K. H., Yang K. H., 2018, Proposal for Compressive Strength Development Model of
Lightweight Aggregate Concrete Using Expanded Bottom Ash and Dredged Soil Granules,
Journal of the Architectural Institute of Korea Structure and Construction, Vol. 34,
No. 7, pp. 19-26

Lee K. H., Yang K. H., Mun J. H., Kwon S. J., 2019, Mechanical Properties of Concrete
Made from Different Expanded Lightweight Aggregates, ACI Materials Journal, Vol. 116,
No. 2, pp. 9-19

Mun J. H., Yang K. H., 2014, Generalized Lateral Load- Displacement Relationship of
Reinforced Concrete Shear Walls, Journal of the Korea Concrete Institute, Vol. 26,
No. 2, pp. 159-169

Sheikh S. A., Khoury S. S., 1997, A Performance-Based Approach for the Design of Confining
Steel in Tied Columns, Structural Journal, Vol. 94, No. 4, pp. 421-431

Sim J. I., Yang K. H., 2011, Structural Safety of Lightweight Aggregate Concrete,
Journal of the Korea Concrete Institute, Vol. 23, No. 5, pp. 27-32

Watson S., Park R., 1994, Simulated Seismic Load Tests on Reinforced Concrete Columns,
Journal of Structural Engineering, Vol. 120, No. 6, pp. 1825-1849

Yang K. H., 2013, Development of Performance-Based Design Guideline for High-Density
Concrete Walls, Technical Report (2nd Year). Kyonggi University

Yang K. H., Mun J. H., Lee K. H., 2020, Evaluation of Ductility of Lightweight Aggregate
Concrete T-beam Arranged with Maximum Longitudinal Reinforcement Ratio, Journal of
the Korea Concrete Institute, Vol. 32, No. 1, pp. 11-18
