Mobile QR Code QR CODE
Export citation EndNote

  1. 한경대학교 대학원 건축학과 석사과정 (Graduate Student, Graduate School of Architecture, Hankyong National University, Anseong 17579, Rep. of Korea)
  2. 강남대학교 부동산건설학부 교수 (Professor, Division of Real Estate and Construction Engineering, Kangnam University, Yongin 16979, Rep. of Korea)
  3. 한경대학교 디자인건축융합학부 건축공학전공 교수 (Professor, School of Architecture and Design Convergence, Hankyong National University, Anseong 17579, Rep. of Korea)



PBO 섬유메시, 고강도 친환경 모르타르, 인장시험, 층간전단실험, 뽑힘시험
PBO fabric, green high-strength mortar, tensile test, interlaminar shear test, pull-off test

1. 서 론

섬유 보강 시멘트 매트릭스(fabric reinforced cementitous matrix, FRCM)는 탄소 섬유, 아라미드 섬유, 유리섬유, 바살트 섬유 등 섬유를 사용하여 제조한 2방향 섬유메시(fiber fabric)를 무기계 시멘트 매트릭스로 둘러 싼 시멘트 복합체로서 철근콘크리트 구조물 혹은 조적조 구조물의 보수・보강에 사용할 수 있다(Koutas et al. 2019; Jo et al. 2020)(8,7). 종래의 강판보강을 대체하여 최근 자주 사용되고 있는 FRP(fiber reinforced polymer) 시트 외부보강 기술은 경량성, 시공성, 경제성 등 많은 이점이 있다. 단 고온에서 일부 섬유의 열화 및 부착공법에 사용하는 폴리머계 수지의 급격한 성능저하로 인해 화재의 위험이 있는 경우 사용하기 어렵고, 또한 섬유 종류에 따라서노출 환경(습윤환경, 고알칼리 등)별 내구성능의 문제도 고려하여야 한다. 반면에 FRCM은 섬유메시를 무기계 매트릭스가 둘러싸므로 고온에서도 저항성능이 유지되고, 시멘트 매트릭스 피복에 의해 보호되는 섬유메시의 우수한 내구성능 또한 기대할 수 있다. 미국콘크리트학회(ACI) 549 위원회는 2013년 FRCM 시공 및 설계 가이드라인을 제시하여, FRCM 기술의 실용화를 도모하고 있다(ACI 549.4R 2013)(1). 또한, 유럽에서는 Rilem(2016)(13)을 중심으로 관련 설계지침 제정에 노력 중이므로 특히 최근 15년간 FRCM 시스템의 기계적 성능평가 및 실용화(RC 보 휨보강 및 전단보강, 조적조 벽체 보강 등)에 대한 연구(Peled and Mobasher 2007; Caggegi et al. 2017; Carozzi et al. 2017)(12,4,5)가 활발히 이루어지고 있다.

이 실험적 연구에서는 토목 및 건축 분야에서 최근 연구되고 있는 초고강도 PBO 섬유메시(polyparaphenylene benzobisoxazole)와 70 MPa급 고강도 친환경 모르타르로 구성한 PBO-FRCM 시스템의 인장거동 및 부착거동 고찰을 통한 성능평가를 시도하였다. 이 연구는 PBO FRCM 시편의 직접인장시험, 부착강도 평가를 위한 층간전단실험(interlaminar shear test) 및 인발시험(pull-off test) 등 총 3가지 실험으로 구성하였다. 실험결과를 바탕으로 PBO-FRCM을 사용한 보강설계의 기초 설계값을 제안하였다.

2. 사용재료 및 실험준비

2.1 PBO 섬유

PBO 섬유(제품명 Zylon)는 일본 T사에서 AS(as spun)/HM (high modulus) 두 가지 제품으로 생산하고 있으며, 이 연구에서 사용한 PBO AS 필라멘트 얀은 인장강도가 아주 높고, 500 °C에서 상온 인장강도의 40 %, 400 °C에서 상온 탄성계수의 75 %를 유지하는 등 내열성능이 우수하고, 내알칼리 및 내산성능 등 내구성도 우수하나 일광의 직사에는 취약한 성질을 갖는다. 이 연구에서는 PBO AS 필라멘트 얀(이하 PBO)의 단면적을 물리적으로 계측하였고, 50 kN 용량의 UTM을 사용하여 변위제어(0.5 mm/min) 방식으로 인장거동을 시험하였다(Table 1 참고). PBO는 파괴 시까지 선형탄성거동을 나타내었다. Table 1에서 측정된 PBO의 인장강도는 4,248 MPa로서 SD400 등급 이형철근의 약 10배, 탄성계수는 158 GPa로서 강재의 약 80 %, 최대변형률 2.68 %는 탄소섬유의 약 2배로서 우수한 기계적 성질을 갖는 것을 알 수 있다(Fig. 1 참조).

2.2 고강도 모르타르

FRCM 시스템은 시멘트 매트릭스의 일부에 섬유메시를 적용하므로, 인장성능은 FRP 시트 외부보강에 비해 약 70 % 수준인 것으로 평가된다(Koutas et al. 2019)(8). 이 연구에서는 FRCM에 가능한 한 높은 인장성능을 부여하기 위해 고강도 모르타르를 사용하였다. 결합제를 다량 사용하는 고강도 모르타르의 경제성을 고려하여 실리카 퓸의 80 %를 폐유리 미분말로 대체하고 동시에 100 % 순환모래를 사용하였다. 사용한 페유리미분말은 순환자원인 녹색유리병을 파쇄 후 분쇄하여 생산한 상용제품이며 입경 40 µm 이하이고 포졸란 반응을 나타내는 것으로 보고되었다(Soliman and Tagnit-Hamou 2017)(14). 또한, 폐콘크리트로부터 습식공정으로 생산한 순환모래는 입경 2.5 mm 이하로 사용하였다. Table 2에 고강도 친환경 모르타르의 배합표를 나타내었다. 모르타르 흐름성(플로우=24.2 cm) 향상을 위해 폴리카르본산계 SP제를 결합재 대비 중량비 0.3 %로 사용하고, 소량의 소포제를 사용하였다. 물-결합재비(w/b)는 0.3이었다. Table 2에서 시험을 시작한 재령 28일에 50 mm×50 mm×50 mm 3개 입방체로부터 측정한 평균 압축강도는 71.7 MPa, 40 mm × 40 mm × 60 mm 모르타르 바에 대해 3점재하로 측정한 재령 28일 2개 시험체의 평균 휨인장강도는 5.5 MPa이다.

Table 1. Physical and mechanical properties of PBO

PBO fiber yarn (AS)

Average

Standard deviation

COV

Cross section (mm2)

0.108

-

-

Strength, $f_{fu}$ (MPa)

4,248

178

0.042

Strain, $ε_{fu}$ (%)

2.68

0.0888

0.015

Elastic modulus, $E_{f}$ (GPa)

158

4.03

0.026

Note: PBO: polyparaphenylene benzobisoxazole; PBO density: 0.00154 g/mm3

Fig. 1. Polyparaphenylene benzobisoxazole (PBO) tensile test results, average of 12 tests

../../Resources/kci/JKCI.2021.33.3.279/fig1.png

Table 2. Mix design (1 m3) and mortar strength

C (kg)

SF (kg)

WGP (kg)

RFA (kg)

W (kg)

550

27.5

110

1487

206

Flow

(cm)

$f_{cu}$ (MPa)

$f_{r}$

(MPa)

7d

28d

56d

24.2

55.8

71.7

75.6

5.50

Note: C: cement; SF: silica fume; WGP: waste glass powder; RFA: recycled fine aggregate; W: water

2.3 실험 준비

2.3.1 인장시험체 제작 및 시험방법

일반적으로 FRCM 시스템에서는 2층의 얇은 모르타르 층간에 섬유메시가 설치되고 총 두께는 약 10 mm이다(ACI 549.4R 2013)(1). 이 연구에서는 3.5 mm 두께의 발사 박판을 사용하여 모르타르 층의 두께를 조정하였고, 2개 층 발사 박판의 중간에 섬유메시를 수작업으로 설치하였다. 제조사로부터 제공된 PBO 필라멘트 얀 4개를 합쳐서 한 개의 섬유 다발을 구성하였다. 이후 축방향 15 mm 중심간격으로 1개 섬유 다발, 횡방향 30 mm 중심간격으로 2개 섬유 다발을 사용한 PBO 메시를 구성하여 축방향 강성 및 횡방향 강성이 동일하도록 하였다. 축방향 섬유(warp)와 횡방향 섬유(weft)의 접합부는 접착제로 접합하였다(Fig. 2 참고). 접착제가 충분히 경화하도록 1주일 경과 후 모르타르를 타설하였다. 위와 같은 방법으로 제작한 FRCM 박판의 크기는 405 mm($W$)×450 mm($L$)이고, 두께($t$)는 약 10 mm이었다. 상온 및 상대습도 100 % 조건에서 표준양생 후 재령 28일에 워터젯을 사용하여, 폭 45 mm 및 길이 450 mm로 총 9개 시험편을 절단하였다(45 mm× 9=405 mm). 준비된 시험체는 다시 습윤양생을 실시하고 재령 56일에 시험을 수행하였다. FRCM 박판의 양측에서 절단한 각 1개를 제외한 총 7개의 인장시험편을 시험하였다. 인장시험 1주일 전에 인장시험편 양단부에 각각 폭 35 mm, 두께 6 mm의 직사각형 강재 탭 2개를 에폭시 접착제로 고정시켰다. 1주일 경과 후, 강재 탭 단부의 미리 천공된 원형 구멍에 지름 19 mm 강재 핀을 사용하여 UTM 그립과 맞물리는 8 mm 두께의 강판을 연결하였다. Fig. 3에 나타낸 인장시험 셋업에서는 강재 핀이 시험체 단부의 회전을 허용하므로 편심 등의 기술적인 문제없이 인장시험을 수행할 수 있었다. 이 시험에서 고안한 인장시험 셋업은 다수의 연구자(ACI 549.4R 2013)(1)가 사용한 클레비스 그립과 마찬가지로 인장시험편의 단부에 UTM 유압그립에 의한 압축력이 가해지지 않으므로 시멘트 매트릭스 내에서 섬유메시의 미끄러짐을 허용하는 특징이 있다. 인장시험은 1,200 kN 용량의 Instron UTM 크로스헤드를 분당 1 mm 속도의 변위제어로 구동하며 실시하였다.

Fig. 2. Polyparaphenylene benzobisoxazole (PBO) tensile test specimen before casting

../../Resources/kci/JKCI.2021.33.3.279/fig2.png

Fig. 3. Tensile test setup

../../Resources/kci/JKCI.2021.33.3.279/fig3.png

Fig. 3에서 상부 강재 탭과 하부 강재 탭 사이 중앙부 길이는 120 mm이며, 이 구간에서 표점거리 100 mm가 되도록 extensometer 2개를 대칭으로 사용하여 표점거리 구간의 변형률을 계측하고, 동시에 2개의 LVDT를 사용하여 UTM 크로스헤드의 변위를 계측하였다. Extensometer, LVDT 및 UTM 로드셀의 하중은 TDS 530 데이터 로거로 모니터링하고 실험결과를 저장하였다.

2.3.2 층간전단실험체 제작 및 시험방법

층간전단실험(interlaminar shear test)을 위한 실험체는 ASTM D2344M에 따라서 제작하고, 시험편은 각각 동일한 두께(약 10 mm)를 갖는 두 층의 FRCM으로 구성하였다. 각층 FRCM은 발사 박판을 사용하여 각각 2.3.1항의 인장시험편 제작과 동일한 방법으로 형성하고, 하부층 FRCM 타설 3일 후 별도의 계면처리 없이 상부층 FRCM을 타설하였다. ASTM D2344M에 따라서 합성보의 길이는 두께의 약 6배, 폭은 두께의 약 2배이었다. 405 mm($W$)×225 mm($L$)의 복층 FRCM(두께: 10 mm×2=20 mm)을 28일 표준양생 후 워터젯을 사용 폭 45 mm인 9개 시험체를 절단하고 양측면 2개 시험체를 제외한 총 7개의 시험체에 대하여 필요한 길이(120 mm) 만큼 절단(masonry saw 사용)하였다. 합성보의 길이 약 120 mm, 총 두께 약 20 mm, 폭 약 45 mm이며, 재령 56일에 3점재하 방법으로 층간전단실험을 수행하였다(Fig. 4 참고).

실험은 50 kN 용량 UTM을 사용, 변위제어 방식(속도=1 mm/min)으로 수행하고, 하중 및 중앙부 변위를 모니터링하는 동시에 파괴모드 및 균열형태를 관찰하였다.

Fig. 4. Interlaminar shear test setup

../../Resources/kci/JKCI.2021.33.3.279/fig4.png

Fig. 5. Pull-off test setup

../../Resources/kci/JKCI.2021.33.3.279/fig5.png

2.3.3 뽑힘시험체 제작 및 시험방법

뽑힘시험(pull-off test)을 위하여 먼저 500×500×100 mm 보통콘크리트(압축강도 30 MPa) 블록을 제작하고 7일 습윤양생을 실시하였다. 재령 28일에 콘크리트 블록의 상부면 각 50 % 정도의 면적에 해당하는 면적을 숏블래스팅 및 샌드블래스팅으로 각각 거칠게 처리하고 표면 거칠기를 샌드패치방법으로 측정하였다(Chamberlin and Amsler 1982)(6). 측정결과 표면거칠기(평균 깊이)는 샌드블래스팅의 경우 0.69 mm, 숏블래스팅의 경우 0.76 mm이었다. 이후 인장시험체와 유사한 방법으로 두께 10 mm의 FRCM 덧씌우기층을 타설하고 28일간 표준양생을 실시하였다. 덧씌우기 재령 28일에 핸드그라인더를 사용 45×45 mm 격자 패턴으로 덧씌우기 모르타르와 하부 콘크리트를 함께 깊이 25 mm 만큼 컷팅하였다. 격자로 구획된 각 시험체 상부면에 40×40 mm 강재 단부철물을 에폭시 접착제를 사용하여 부착시키고, 1주일 경과 후 강재 단부철물과 인발시험기를 연결시킨 후 기계적으로 인발하중을 가하여 뽑힘강도(pull-off strength)를 측정하고 파괴모드를 관찰하였다(Fig. 5 참고).

3. 실험결과

3.1 인장실험 결과

Table 3. Summary of tensile test results

Index

$w$

(mm)

$t$

(mm)

$P_{cr}$

(kN)

$P_{\max}$

(kN)

$f_{f}$

(MPa)

Displ.

@ $P_{\max}$

(mm)

Avg. strain

@ $P_{\max}$

(m/m)

Cracks

No. of cracks

Avg. spacing (mm)

PR-T-1

44.15

10.85

0.78

3.46

2,670

3.00

0.02496

5

30

PR-T-2

44.15

11.15

1.1

3.19

2,461

2.86

0.02383

5

30

PR-T-3

44.15

11.35

0.89

2.56

1,975

1.92

0.01600

4

40

PR-T-4

42.25

11.75

0.75

3.16

2,438

2.67

0.02221

5

30

PR-T-5

45.25

11.35

0.88

3.44

2,654

2.73

0.02271

5

30

PR-T-6

45.05

10.95

0.83

3.00

2,315

2.47

0.02054

5

30

PR-T-7

45.05

10.35

0.85

2.30

1,775

2.46

0.02046

4

40

Average

44.29

11.11

0.87

3.02

2,327

2.58

0.02153

Standard deviation

1.024

0.447

0.114

0.438

337.6

0.352

0.003

COV

0.023

0.040

0.131

0.145

0.145

0.136

0.136

Note: $f_{f}$: max. stress in fiber ignoring mortar resistance; Displ.@ $P_{\max}$: average of LVDT readings at $P_{\max}$; Avg. strain @ $P_{\max}$: strain determined from LVDT readings at $P_{\max}$

Fig. 6. Tensile test results

../../Resources/kci/JKCI.2021.33.3.279/fig6.png

FRCM의 인장거동은 시험방법에 영향을 많이 받는 것으로 알려져 있다. 유럽 Rilem 연구자를 중심으로 한 연구에서는 UTM의 유압그립을 이용하여 인장시험편의 단부에 직접적인 압축력을 가하면서 인장시험을 진행하므로 시멘트 매트릭스 내 섬유메시의 미끄러짐이 단부구속으로 인해 거의 나타나지 않는다(Rilem 2016)(13). 반면에 미국 플로리다대학교의 Nanni 등은 클레비스 그립을 많이 사용하며, 클레비스 그립은 이 연구에서 사용한 인장시험방법과 같이 인장시험편에 압축력이 가해지지 않은 상태에서 인장시험을 수행하므로 섬유메시의 시멘트 매트릭스 내 미끄러짐이 허용되는 등 RC 부재에 부착된 FRCM의 인장거동을 보다 정확하게 모사할 수 있는 것으로 판단된다(Arboleda et al. 2016; Mazzuca et al. 2019)(2,10).

이 연구에서 수행한 7개 인장시험의 결과를 Table 3에 시험편 치수(폭 및 두께), 균열하중, 최대하중, 최대하중시 축방향 섬유응력/변위/변형률, 그리고 균열 수 및 평균 균열간격으로 요약하여 나타내었다. 또한, Fig. 6(a), 6(b)에 인장시험의 하중-변위 곡선 및 섬유응력-평균 변형률곡선을 각각 나타내었다.

인장하중의 증가에 따라서 첫 인장균열은 상하부 강재 탭 사이 120 mm 중앙부 구간에서 발생하였다. 시험편에 따라서 총 4개 혹은 5개 균열이 발생하였고, 모든 균열은 횡방향 섬유 위치에 발생하였다(즉 모르타르의 단면적이 횡방향 섬유에 의해 감소하는 위치에 균열이 나타났다). 첫 균열 발생 시 하중은 0.87 kN, 공칭응력(균열하중/전단면)은 1.8 MPa이었다.

하중 및 균열 수의 증가와 함께 변위가 서서히 증가하였고 최대 균열 수(4~5개)에 다다른 후에는 한 개의 큰 균열을 중심으로 균열 폭이 크게 증가하면서 섬유와 시멘트 매트릭스 간 국부적인 미끄러짐이 발생하였다. 평균 최대하중은 3.02 kN, 공칭응력(최대하중/전단면) 6.12 MPa, 최대하중 시 변위는 2.58 mm이었다. 모든 인장시험에서 100 mm 표점거리 밖(강재 탭과 중앙부 연결부분)에서도 균열이 발생하였고, 또한 인장시험편의 강성은 강재 탭이 설치된 양단부에 비해 중앙부 120 mm 구간의 강성이 현저하게 작으므로, 시험결과 변형률은 LVDT 데이터에 의하여 결정하였다(Table 3 참고).

Fig. 6(e), 6(f)에 나타낸 것과 같이 최대하중 이후 균열 폭이 많이 증가하면서 이 위치에서 인장력은 모두 축방향 섬유가 저항하게 된다. 최대하중 시 섬유의 평균 인장응력은 2,327 MPa로서 PBO 섬유의 인장강도인 4,248 MPa의 약 55 %인 반면, 시험편의 평균 인장변형률은 2.15 % (최대 변형률의 약 80 %)에 달하므로, PBO 섬유의 시멘트 매트릭스 내 미끄러짐이 발생한 것으로 판단된다. Fig. 6(a)에서 PBO-FRCM의 하중-변위 곡선은 최대하중에서 큰 폭으로 저항이 감소하지만 약 50 % 수준의 저항성능을 유지하며 이후 변위의 증가에 따라서 서서히 하중이 감소하는 비교적 연성적인 거동을 나타내고 있다. 인장시험은 변위 약 6~9 mm에서 종료하였다. 한편 Table 3에서 변동계수(COV)는 균열하중, 최대하중 및 변위 모두 13~14 % 이상의 값이므로 이 연구에서 PBO-FRCM의 인장거동은 시험편에 따라서 비교적 큰 편차를 나타낸 것으로 판단된다.

3.2 층간전단실험 결과

층간전단실험(interlaminar shear test)은 100 mm 순경간을 갖는 두께 약 20 mm 합성보에 대해 3점 휨실험으로 수행하였다(Fig. 4(b) 참고). 전단경간은 50 mm, 전단경간비 $a/h$는 약 2.5이었다. 이러한 낮은 전단경간비에서는 보이론이 적용되지 않고, 아치작용에 의한 작용힘과 지점반력간 스트럿의 형성이 거동에 더 큰 영향을 미치는 것으로 알려져 있다(Park and Paulay 1975)(11). ASTM D2344M(2016)(3)에서는 이와 같은 합성보(short beam)의 강도를 식(1)과 같이 구할 것을 권장하고 있다.

(1)
$F_{sbs}=0.75 *\dfrac{P_{\max}}{b * h}$

여기서, $F_{sbs}$는 합성보 강도, $P_{\max}$는 최대 힘, $b$는 합성보 폭, $h$는 합성보 두께이다.

한편 식(1)은 보 단면에 발생하는 최대 전단응력에 대한 보이론에 의한 식과 동일한 형태이며, short beam에 대한 수정된 계수를 포함하고 있음을 알 수 있다.

Table 4. Summary of interlaminar shear test results

Index

Short beam dimensions

Shear span

$a/h$

$P_{\max}$

(kN)

Displ.

@ $P_{\max}$

(mm)

Short beam strength

(MPa)

Failure mode

$L$

(mm)

$h$

(mm)

$b$

(mm)

PR-IS-1

111.8

18.80

43.65

2.66

2.26

2.68

2.07

Interface failure

PR-IS-2

113.4

18.55

43.75

2.70

2.36

2.64

2.18

Flexural failure

PR-IS-3

112.3

18.60

43.60

2.69

2.27

2.28

2.10

Flexural failure

PR-IS-4

112.6

18.60

43.55

2.69

2.57

3.06

2.38

Shear compression

PR-IS-5

111.8

18.70

44.00

2.67

1.89

2.19

1.72

Shear tension

PR-IS-6

113.5

18.75

43.60

2.67

2.11

2.13

1.94

Interface failure

PR-IS-7

113.0

18.50

43.70

2.70

2.26

2.67

2.10

Interface failure

Average

112.6

18.64

43.69

2.68

2.25

2.52

2.07

Standard deviation

0.710

0.110

0.151

0.016

0.210

0.335

0.203

COV

0.006

0.006

0.003

0.006

0.0934

0.133

0.098

이 연구에서 수행한 총 7개 합성보의 실험결과는 Table 4Fig. 7~8에 나타내었다. 또한, 실험 후 각 합성보 파괴모드가 보의 강도에 미치는 향을 고찰하기 위하여 보에 발생한 균열 형상을 Fig. 9에 나타내었다. Fig. 8~9에 나타낸 것과 같이 PR-IS-1 측면에서 휨균열 및 사인장균열이 합성보 하부층에 먼저 발생하였다. 사인장균열이 합성보 계면에 도달한 후, 부분적인 계면의 전단파괴와 함께 상부층 휨균열로 진행하였으며 동시에 상부층 콘크리트의 압괴가 발생하였다. Fig. 7에서 최대하중에서 나타난 부분적인 계면파괴 이후에도 보의 저항은 약 65 % 이상임을 알 수 있다. PR-IS-2, 3의 파괴모드는 휨파괴로 판단하였다. PR-IS-4는 사인장균열 진전에 이은 상부면 콘크리트 압괴로 진행하였다(전단압축파괴). PR-IS-5에서는 두 개의 휨균열이 발생 및 진전하면서, 하부층 섬유메시 레벨에서 섬유층을 따라 콘크리트가 인장파괴하는 전단인장파괴로 진행하였다. PR-IS-6, -7은 모두 사인장균열 발생 후 계면의 부분적인 전단파괴로 발전하며 최종 파괴되었다. 한편 식(1)에 의해 평가한 합성보의 강도는 최소 1.72 MPa, 최대 2.38 MPa, 평균강도는 2.07 MPa이었다.

Table 5. Summary of pull-off test results

Sandblasted interface

Shotblasted interface

No.

P-off strength

(MPa)

Failed

at

No.

P-off strength

(MPa)

Failed

at

1

3.90

frp/int

1

4.95

int

2

3.65

frp/int

2

5.66

frp

3

2.75

int

3

4.29

subst

4

5.44

frp/int

4

1.92

int

5

1.69

int

5

4.22

subst

6

3.56

int

6

5.21

frp

7

2.49

int

7

5.84

frp

8

2.17

int

8

4.48

sub/int

9

3.38

int

9

4.20

sub/int

10

3.28

int

10

3.23

subst

11

3.61

int

11

3.52

int

12

3.14

int

12

2.49

int

13

4.02

int

13

-

14

2.75

int

14

-

Avg.

3.27

Avg.

4.17

SD

0.92

SD

1.21

COV

0.28

COV

0.29

Note: frp: frp mesh; int: interface; sub: existing conc.; subst: substrate

3.3 뽑힘실험 결과

2.3.3절에서 전술한 것과 같이 이 연구에서는 샌드블래스팅 및 숏블래스팅을 사용하여 거칠게 처리한 보통강도 콘크리트 상부에 PBO-FRCM 덧씌우기를 실시한 시험체에 대해 뽑힘시험을 실시하였다. 시험기구와 시험체간 접착제가 파괴된 시험결과를 제외하고, 숏블래스팅 면에서 총 12회, 샌드블래스팅 처리 면에서 총 14회의 시험을 완료하였고 Table 5에 뽑힘시험결과를 나타내었다. 또한, Fig. 10에 뽑힘시험에서 나타난 5가지 파괴모드를 나타내었다: (1) 섬유메시 레벨 파괴, (2) 계면파괴, (3) 기존 콘크리트 인장파괴, (4) 섬유메시 레벨-계면 파괴, (5) 계면-기존 콘크리트 파괴.

Fig. 7. Interlaminar shear test results

../../Resources/kci/JKCI.2021.33.3.279/fig7.png

Fig. 8. Test in progress: PR-IS-1

../../Resources/kci/JKCI.2021.33.3.279/fig8.png

Fig. 9. Interlaminar shear test results: Crack patterns

../../Resources/kci/JKCI.2021.33.3.279/fig9.png

Table 5에서 샌드블래스팅 처리한 시험체의 평균 뽑힘강도는 3.27 MPa, 숏블래스팅 처리한 시험체의 평균강도는 4.17 MPa이다. 한편 계면파괴를 포함하는 파괴모드 세 가지(interface, frp/interface, substrate/interface) 만의 결과를 보면, 샌드블래스팅 처리한 시험체에서 14개 시험결과 평균 3.27 MPa, 숏블래스팅 처리한 시험체 6개로부터 평균 3.59 MPa이다. 그러므로 계면의 거칠기가 다소 높은 숏블래스팅 처리의 경우, 계면 강도가 약 10 % 향상하는 것으로 나타났다.

한편 기존 콘크리트 내에서 인장파괴된 3개 시험체의 경우 3.92 MPa, 섬유메시 레벨에서 파괴된 3개 시험체의 경우 5.57 MPa로서 고강도 모르타르를 포함한 섬유메시 레벨 파괴모드의 강도가 기존 보통강도 콘크리트 인장파괴 강도보다 더 높은 것으로 나타났다. Fig. 11로부터 뽑힘강도는 [섬유메시 레벨 파괴>기존 콘크리트 파괴>계면파괴] 순이므로 PBO-FRCM에서는 계면의 거칠게 처리하여 계면강도를 높이는 것이 중요한 것을 알 수 있다. 한편, 이 실험에서 사용한 sand blasting 및 shot blasting은 모두 만족스러운 결과를 보인 것으로 판단된다.

Fig. 10. Pull-off test results: failure modes

../../Resources/kci/JKCI.2021.33.3.279/fig10.png

Fig. 11. Pull-off strength per failure mode

../../Resources/kci/JKCI.2021.33.3.279/fig11.png

3.4 실험결과의 고찰

3.4.1 인장거동

섬유보강복합체에서 시멘트 모르타르의 첫 균열 발생과 동시에 섬유가 파단하는 경우에 해당하는 최소섬유량($V_{f,\:\min}$)은 식(2)와 같다(Li 2011)(9).

(2)
$V_{f,\:\min}=\dfrac{\sigma_{t}}{\sigma_{fu}+\left(1-\dfrac{E_{f}}{E_{m}}\right)\sigma_{t}}$

여기서, $\sigma_{t}$는 시멘트 매트릭스의 인장강도, $\sigma_{fu}$는 섬유 인장강도, $E_{f}$는 섬유 탄성계수, $E_{m}$은 시멘트 모르타르의 탄성계수이다.

식(2)로부터 이 연구에 해당하는 최소 섬유량은 0.13 % 이며, Table 1로부터 실제 사용량은 0.58 %(축방향 섬유)로서 PBO 섬유가 FRCM의 인장거동을 지배하는 것을 알 수 있다. 또한, 이 연구에서 사용한 고강도 시멘트 매트릭스는 휨인장강도 시험에서 5.5 MPa을 나타내었으나, FRCM 인장시험 시에는 횡방향 섬유 위치(즉 모르타르 단면적이 최소인 위치)에서 균열이 발생하여 시멘트 매트릭스의 유효 인장강도가 감소하였고 균열 후 거동에 고강도 시멘트 매트릭스가 차지하는 영향은 작은 것으로 나타났다. 전술한 것과 같이 최대 인장강도에 도달하였을 때 PBO 섬유의 응력은 섬유 인장시험에서 결정한 응력의 55 % 수준이었고, 이유는 다음과 같이 설명할 수 있다:

1) PBO 섬유 로빙은 4개의 필라멘트 얀으로 수작업을 통해 구성하였으므로 일부 섬유가 다른 섬유에 비해 빨리 인장응력을 받으므로 조기 파단함;

2) 인장시험 셋업이 섬유와 시멘트 매트릭스 간 미끄러짐을 허용함.

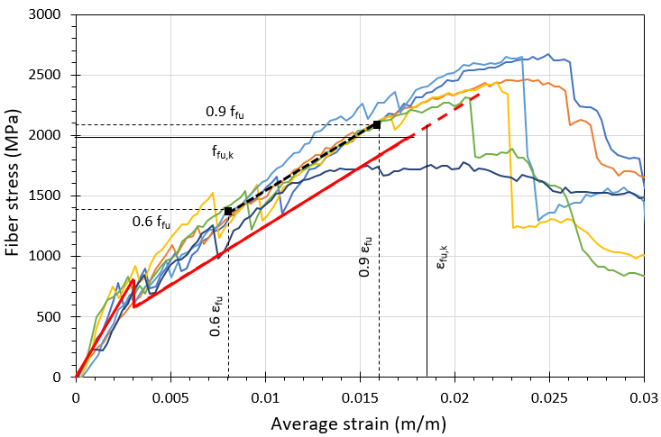
한편 ACI 549.4R에서는 설계에 필요한 FRCM의 기계적 물성인 설계인장강도($f_{fu,\:k}$) 및 설계변형률($\epsilon_{fu,\:k}$)을 시험결과 평균값에서 표준편차만큼 감하여 구하고 탄성계수($E_{f}$)는 시험결과 0.6$f_{fu}$ 및 0.9 $f_{fu}$ 간 직선기울기의 평균값을 취하도록 식(3)과 같이 제시하고 있다(ACI 549.4R 2013)(1). 이에 따라서 결정한 설계값(특성값)을 Table 6에 나타내었다.

Table 6. Design values (characteristic values determined following ACI 549.4R)

$\epsilon_{fu,\:k}$

(%)

$f_{fu,\:k}$

(MPa)

$E_{f}$

(GPa)

$f_{isk}$

(MPa)

$f_{bk}$

(MPa)

1.85

1,989

90.1

1.87

2.35

Note: $f_{fu,\:k}$, $\epsilon_{fu,\:k}$, $E_{f}$ are characteristic values determined from the tensile test; $f_{isk}$ and $f_{bk}$ are characteristic values determined from the interlaminar shear test and pull-off test, respectively

(3)
$E_{f}=\dfrac{\Delta f}{\Delta\epsilon}=\dfrac{0.9f_{fu}-0.6f_{fu}}{\epsilon_{f,\:0.9f_{fu}}-\epsilon_{f,\:0.6f_{fu}}}$

여기서, $f_{fu}$는 실험결과 축방향 섬유의 최대강도, $\epsilon_{f,\:0.9f_{fu}}$ 및 $\epsilon_{f,\:0.6f_{fu}}$는 각각 0.9$f_{fu}$ 및 0.6$f_{fu}$에 해당하는 평균 변형률임.

이 연구에서 수행한 인장시험의 결과를 Fig. 12에 섬유응력-평균 변형률 곡선으로 나타내었다. Fig. 12에서 점선의 기울기는 FRCM의 강성($E_{f}$)이다. 실험결과 균열하중, 균열하중 시 변형률, 최대하중, 최대하중 시 변형률 및 $E_{f}$(이상 평균값)를 사용하여 Fig. 12의 실선과 같이 실험결과를 3선형 곡선으로 표현할 수 있으며 이를 설계를 위한 PBO-FRCM의 인장거동으로 제안할 수 있다. 단, 안전한 설계를 위하여 3선형 곡선의 최대값은 $f_{fu,\:k}$ 및 $ε_{fu,\:k}$ 중 작은 값 이하로 제한하여야 할 것으로 판단된다(즉 $f_{fu,\:k}$ 이상의 값에 해당하는 점선 부분은 제외하여야 함). 이때 3선형 곡선은 식(4)와 같이 표현할 수 있다.

(4)
$\sigma_{f}=E_{i}\epsilon_{f}$ for $0\le\epsilon_{f}<\epsilon_{cr}$ $\sigma_{f}=E_{f}\epsilon_{f}+c$ for $\epsilon_{cr}\le\epsilon_{f}\le\epsilon_{fu,\:k}$

여기서, $\sigma_{f}$, $\epsilon_{f}$, $E_{i}$, $E_{f}$, $\epsilon_{cr}$, $\epsilon_{fu,\:k}$는 각각 축방향 섬유응력, 평균변형률, 균열 전 초기강성, 균열 후 강성, 균열단계 평균변형률, 최대강도 시 평균 변형률의 특성값이다.

Fig. 12. Stress-strain plots: tensile tests

../../Resources/kci/JKCI.2021.33.3.279/fig12.png

Fig. 13. Interlaminar shear test results

../../Resources/kci/JKCI.2021.33.3.279/fig13.png

3.4.2 부착거동 - 층간전단실험

이 연구에서 수행한 총 7회의 층간전단실험에서는 휨파괴, 전단압축파괴, 전단인장파괴 및 계면파괴 등 4가지의 파괴모드가 나타났다. Fig. 13에 각 파괴모드에 따른 강도(식(1)의 Short beam strength)를 나타내었다. 각 파괴모드에 따라서 강도는 [전단압축파괴>휨파괴>계면파괴>전단인장파괴] 순이므로 강도는 전단인장 파괴모드가 지배하는 것으로 나타났다. ACI 549.4R 가이드에 따르는 경우, 평균강도 2.07 MPa 및 표준편차($s$) 0.203 MPa로부터 특성값은 1.87 MPa이다(Table 6 참고). 그러나 Fig. 12에서 전단인장파괴의 경우 실제 강도는 1.72 MPa로서 설계값보다 더 작다. 따라서 층간전단파괴에 대한 특성값에 대해서 ACI 549.4R에서 제시한 [평균강도-$s$]보다 더 작은 값을 취하여야 안전한 것으로 사료되나, 이에 대해서는 보다 많은 시험결과가 필요하다.

3.4.3 부착거동 - 뽑힘시험

뽑힘파괴에 대한 특성값은 샌드블래스팅 처리한 경우 14개 시험결과로부터 평균 3.27 MPa, 표준편차 0.92 MPa 이므로, 특성값은 2.35 MPa이다. 한편 숏블래스팅 처리한 경우 12개 시험결과로부터 평균 4.17 MPa, 표준편차 1.21 MPa, 특성값 2.96 MPa이다. 샌드블래스팅 및 숏블래스팅은 모두 자주 사용되는 표면처리 방법이므로, 이 연구에서는 PBO-FRCM의 뽑힘강도의 특성값은 안전측으로 2.35 MPa로 제안할 수 있는 것으로 판단된다. 또한, 뽐힘파괴 모드별 강도는 계면파괴가 가장 낮은 경향(Fig. 11 참고)을 보였으므로, 기존 콘크리트의 표면처리가 중요한 것으로 나타났다.

4. 결 론

이 연구에서는 초고강도 PBO Fabric과 고강도 친환경 모르타르로 구성한 PBO-FRCM의 기계적 성능을 인장시험, 층간전단실험 및 뽑힘시험을 통하여 평가한 후, 기초 설계변수를 제안하였다.

1) PBO-FRCM은 최대 공칭강도 6.12 MPa 및 약 2.15 %의 변형률을 나타내었고, 최대 하중 후 점차적으로 저항이 감소하는 비교적 연성적인 인장거동을 보였다. 최대 하중 시 섬유메시가 저항하는 인장강도는 2,327 MPa로서 섬유 인장강도의 약 50 %를 나타내었고, 고강도 매트릭스 내부 섬유의 미끌어짐이 발생한 것으로 판단된다.

2) 층간전단실험 결과, 평균강도는 2.07 MPa이었고, 휨파괴, 전단압축파괴, 전단인장파괴 및 계면전단파괴 등 여러 가지 파괴모드를 나타내었으나, 전단인장파괴 시 강도가 가장 낮게 나타났다.

3) 뽑힘시험결과, 숏블래스팅으로 기존 콘크리트와 FRCM 계면을 거칠게 처리한 경우가 샌드블래스팅으로 처리한 경우보다 약 10 % 높은 뽑힘강도를 나타내었다. 모든 뽑힘시험체의 평균 뽑힘강도는 3.69 MPa이었다. 계면 인장파괴 시 다른 파괴모드에 비해 상대적으로 낮은 강도를 나타내었다.

4) ACI 549.4R에 따라서 각 시험결과 평균값에서 표준편차를 감하여, PBO-FRCM의 기초 설계강도로 제시하였다.

References

1 
ACI Committee 549 , 2013, Guide to Design and Construction of Externally Bonded Fabric-Reinforced Cementitious Matrix FRCM Systems for Repair and Strengthening Concrete and Masonry Structures ACI 549 4R-13, Farmington Hills MI; American Concrete Institute ACIGoogle Search
2 
Arboleda D., Carozzi F. G., Nanni A., Poggi C., 2016, Testing Procedures for the Uniaxial Tensile Characterization of Fabric-Reinforced Cementitous Matrix Composites, Journal of Composites for Construction, Vol. 20, No. 3, pp. 04015063Google Search
3 
ASTM D2344 / D2344M , 2016, Standard Test Method for Short-Beam Strength of Polymer Matrix Composite Materials and Their Laminatese, West Conshohocken PA ASTM InternationalGoogle Search
4 
Caggegi C., Carozzi F. G., De Santis S., Fabbrocino F., Focacci F., Hojdys L., Lanoye E., 2017, Experimental Analysis on Tensile and Bond Properties of PBO and Aramidic Reinforced Cementitous Matrix for Strengthening Masonry Structures, Composites Part B, Vol. 127, pp. 175-195DOI
5 
Carozzi F. G., Bellini A., D’Antonio T., De Felice G., Focacci F., Hojdys L., Laghi L., Lanoye E., Micelli F., Panizza M., Poggi C., 2017, Experimental Investigation of Tensile and Bond Properties of Carbon-FRCM Composites for Strengthening Masonry Elements, Composites Part B, Vol. 128, pp. 100-119DOI
6 
Chamberlin W. P., Amsler D. E., 1982, Measuring Surface Texture by the Sand-Patch Method, Ed C Hayden STP763- EB Pavement Surface Characteristics and Materials West Conshohocken PA ASTM International, pp. 3-15DOI
7 
Jo M. -S., Kim M. -J., Lee C. -Y., Jeong C. -Y., Kim K. -H., 2020, Performance Evaluation of FRCM Inorganic Matrix for Repair and Reinforcement of Concrete Structures, Journal of the Korea Concrete Institute, Vol. 32, No. 4, pp. 333-339Google Search
8 
Koutas L. N., Tetta Z., Bournas D. A., Triantafillou T. C., 2019, Strengthening of Concrete Structures with Textile Reinforced Mortars: State-of-the-Art Review, Journal of Composites for Construction, Vol. 23, No. 1Google Search
9 
Li Z., 2011, Advanced Concrete Technology, New Jersey USA Wiley Interscience PublicationGoogle Search
10 
Mazzuca S., Hada H. A., Ombres L., Nanni A., 2019, Mechanical Characterization of Steel-Reinforced Grout for Strengthening of Existing Masonry and Concrete Structures, Journal of Composites for Construction, Vol. 31, No. 5, pp. 04019037Google Search
11 
Park R., Paulay T., 1975, Reinforced Concrete Structure, New Jersey USA Wiley Interscience PublicationGoogle Search
12 
Peled A., Mobasher B., 2007, Tensile Behavior of Fabric Cement-based Composites: Pultruded and Cast, Journal of Materials in Civil Engineering, Vol. 19, No. 4, pp. 340-348Google Search
13 
RILEM Technical Committee 232-TDT (Wolfgang Brameshuber) , 2016, Recommendation of RILEM TC 232-TDT: Test Methods and Design of Textile Reinforced Concrete, Materials and Structures, Vol. 49, pp. 4923-4927Google Search
14 
Soliman N. A., Tagnit-Hamou A., 2017, Partial Substitution of Silica Fume with Fine Glass Powder in UHPC: Filling the Micro Gap, Construction and Building Materials, Vol. 139, pp. 374-383DOI