Mobile QR Code QR CODE
Export citation EndNote




전단마찰내력, 상계치 이론, 횡보강근, 축응력
shear friction strength, upper-bound theorem, transverse reinforcement, axial stresses

  • 1. 서 론

  • 2. 전단마찰에 의한 하중전달 기구

  •   2.1 파괴 메커니즘

  •   2.2 상계치 해석(Upper-bound solution)

  •   2.3 콘크리트 유효강도계수 모델

  •   2.4 콘크리트 마찰각

  •   2.5 콘크리트 전단마찰내력

  • 3. 기존 제안식과 비교

  • 4. 결 론

1. 서    론

기둥과 코벨, 전단벽과 기둥 그리고 전단벽과 기초 등의 부재 사이의 경계면에서는 보통 일체화된 콘크리트 경계면이 형성된다. 이들 부재들의 전단경간비가 1.0 이하인 경우 콘크리트 경계면에서는 골재 맞물림(aggregate interlock)을 포함한 전단마찰(shear friction)에 의한 전단하중 전달기구가 형성된다.1) 코벨에서 작용하는 수평하중 및 기둥과 같은 수직부재에 작용하는 수직 중력하중은 두 부재의 경계면에서 전단하중 외에 추가적으로 압축 또는 인장력으로 작용하게 된다. 이러한 전단 거동을 하는 부재의 설계는 콘크리트 경계면에서 두 부재의 상대 미끄러짐 양을 제어하고 전단저항능력을 향상시키기 위하여 전단마찰 철근의 배근이 요구된다.

최근 구조물의 수직 증축에 대한 경량콘크리트(lightweight concrete, LWC) 및 방사선의 차폐가 필요한 곳에 적용하기 위한 중량 콘크리트(heavyweight concrete, HWC) 등의 콘크리트의 다양화에 대한 관심이 높아지고 있다.2) 경량 및 중량콘크리트를 사용한 구조부재의 연구는 매우 부족한 편이다. 특히 두 부재의 경계면에서 작용하는 직접 전단마찰은 골재 맞물림 작용에 의해 중요한 영향을 받으므로 골재의 강도 및 강성 특성이 다른 경량 또는 중량 콘크리트의 직접 전단강도는 보통중량 콘크리트(normal- weight concrete, NWC)와는 상당히 다르게 있을 수 있다.3) 하지만 콘크리트의 전단마찰 설계는 대부분 NWC의 실험결과에 기반하여 이루어지고 있어 골재의 특성과 이에 따른 파괴면에서의 마찰저항 특성이 다른 경량 또는 중량콘크리트에서의 그 안전성 평가는 매우 미흡한 편이다.

전단 미끄러짐 및 전단마찰에 의해 그 거동이 결정되는 부재들의 설계에 대해서는 주로 직접전단 설계를 기반으로 이루어지고 있다. 기존연구1,4-8)의 전단마찰모델은 점착력이 마찰력에 비해 작고 전단면에서의 보강설계는 전단보강철근 및 축력에 의해 지배됨을 나타낸다. 이러한 접근은 물리적인 메커니즘을 반영하기 보다는 실험연구를 기반으로 산정되므로 보수적 평가의 가능성이 높다. 또한 실험 데이터가 비교적 적은 고강도 콘크리트, LWC 및 HWC 등에 대해서는 그 적용성의 한계가 있다. 따라서 다양한 콘크리트에서 작용 축하중 및 횡보강근 등의 여러 가지 조건을 고려한 전단 파괴면에서의 전단마찰거동의 역학적 기구를 고려한 설계모델이 정립될 필요가 있다.

이 연구의 목적은 다양한 콘크리트(단위용적중량 중심)에 대해 전단마찰 거동에 의해 지배되는 부재에서 전단전달 기구를 설명하고 합리적인 전단마찰내력 평가모델을 제시하는데 있다. 전단파괴면에서의 전단전달 기구에 대한 횡보강근 및 작용 축응력의 영향은 콘크리트 소성론의 상계치 이론(upper-bound theorem)9)에 기반하여 유도하였다. 콘크리트 압축 유효강도 계수는 콘크리트 단위용적중량의 영향을 고려하는 Yang et al.16)의 응력-변형률 모델을 기반으로 산정하였다. 제시된 모델은 기존모델1,4-8) 및 직접전단 실험결과3,10-14)에서 얻은 전단마찰내력과 비교하였다.

2. 전단마찰에 의한 하중전달 기구

2.1 파괴 메커니즘

Fig. 1에는 전단마찰에 의하여 그 거동이 결정되는 부재에서의 파괴면을 이상화하여 나타내었다. 콘크리트는 수정 Coulomb 재료로 가정하여, 완전한 소성재료로 간주하였다. 파괴면을 경계로 콘크리트 부재는 두 강체의 분리로 가정될 수 있다.9) 파괴면은 평면 변형률(plane strain)상태로 간주되며, 파괴면을 경계로 분리된 두 강체는 동시 회전점(instantaneous centre, IC)에 대해 타 강체로부터 상대적인 이동 및 회전 변형이 고려될 수 있다.

/Resources/kci/JKCI.2016.28.2.167/images/Figure_CONCRETE_28_2_05_F1.jpg

Fig. 1 Idealized failure plane of monolithic concrete joint

2.2 상계치 해석(Upper-bound solution)

작용 전단력(/Resources/kci/JKCI.2016.28.2.167/images/PIC6524.gif)에 의한 일(/Resources/kci/JKCI.2016.28.2.167/images/PIC66BB.gif)은 IC의 수평좌표(/Resources/kci/JKCI.2016.28.2.167/images/PIC66EB.gif)를 기준으로 IC와 강체 사이의 상대회전변위(/Resources/kci/JKCI.2016.28.2.167/images/PIC66FB.gif)로 부터 산정한 수직변위를 고려하면 다음과 같이 나타낼 수 있다.

/Resources/kci/JKCI.2016.28.2.167/images/PIC671C.gif (1)

작용 축력(/Resources/kci/JKCI.2016.28.2.167/images/PIC672C.gif)에 의한 일(/Resources/kci/JKCI.2016.28.2.167/images/PIC673D.gif)은 IC와 강체 사이의 상대회전변위(/Resources/kci/JKCI.2016.28.2.167/images/PIC674D.gif)로부터 산정한 수평변위를 고려하면 다음과 같이 나타낼 수 있다.

/Resources/kci/JKCI.2016.28.2.167/images/PIC676E.gif (2)

여기서 /Resources/kci/JKCI.2016.28.2.167/images/PIC677E.gif는 파괴면과 상대변위 사이의 각도이며, (-)부호는 축력의 작용방향과 상대변위의 방향이 서로 반대임을 의미한다. 이 연구에서는 압축력을 부(+), 인장력을 정(-)으로 정의하였다. 따라서 파괴면에서 전단력 및 작용 축력과 그에 의한 상대변위에 대한 외부 일(/Resources/kci/JKCI.2016.28.2.167/images/PIC677F.gif)은 다음과 같이 나타낼 수 있다.

/Resources/kci/JKCI.2016.28.2.167/images/PIC67BF.gif (3)

평면 변형률 상태의 파괴면에서 수정 Coulomb 재료로 가정된 콘크리트의 변형에 의해 소산된 에너지(/Resources/kci/JKCI.2016.28.2.167/images/PIC67CF.gif)는 다음과 같다.9)

/Resources/kci/JKCI.2016.28.2.167/images/PIC67E0.gif (4)

여기서 /Resources/kci/JKCI.2016.28.2.167/images/PIC6800.gif, /Resources/kci/JKCI.2016.28.2.167/images/PIC6811.gif이며, /Resources/kci/JKCI.2016.28.2.167/images/PIC6822.gif/Resources/kci/JKCI.2016.28.2.167/images/PIC6832.gif는 콘크리트 압축 유효강도를, /Resources/kci/JKCI.2016.28.2.167/images/PIC6833.gif는 유효 압축 강도계수를, /Resources/kci/JKCI.2016.28.2.167/images/PIC6853.gif는 콘크리트 압축강도를, /Resources/kci/JKCI.2016.28.2.167/images/PIC68E1.gif/Resources/kci/JKCI.2016.28.2.167/images/PIC68F2.gif는 콘크리트 인장 유효강도를, /Resources/kci/JKCI.2016.28.2.167/images/PIC6902.gif는 유효 인장 강도계수를, /Resources/kci/JKCI.2016.28.2.167/images/PIC6913.gif는 콘크리트 인장강도를, /Resources/kci/JKCI.2016.28.2.167/images/PIC6924.gif는 콘크리트 마찰각을, /Resources/kci/JKCI.2016.28.2.167/images/PIC6925.gif는 두 강체의 상대변위를, /Resources/kci/JKCI.2016.28.2.167/images/PIC6945.gif는 파괴면의 면적을 나타낸다.

파괴면에서 보강근의 상대변위 (/Resources/kci/JKCI.2016.28.2.167/images/PIC6955.gif)는 /Resources/kci/JKCI.2016.28.2.167/images/PIC6966.gif와 같다(Fig. 2). 콘크리트의 소성론에서 철근은 완전 소성재료로 가정되므로 파괴면에서 횡보강근에 의해 소산된 평균 에너지(/Resources/kci/JKCI.2016.28.2.167/images/PIC6977.gif)는 횡보강근의 인장력과 변위의 곱으로서 다음과 같이 나타낼 수 있다.9)

/Resources/kci/JKCI.2016.28.2.167/images/PIC69A7.gif (5)

여기서 /Resources/kci/JKCI.2016.28.2.167/images/PIC69B7.gif는 파괴면과 교차하는 횡보강근의 수를, /Resources/kci/JKCI.2016.28.2.167/images/PIC69C8.gif는 경사각도 /Resources/kci/JKCI.2016.28.2.167/images/PIC69D8.gif를 가지는 경우 횡보강근 /Resources/kci/JKCI.2016.28.2.167/images/PIC69E9.gif의 양(/Resources/kci/JKCI.2016.28.2.167/images/PIC6A09.gif/Resources/kci/JKCI.2016.28.2.167/images/PIC6A1A.gif)을, /Resources/kci/JKCI.2016.28.2.167/images/PIC6A3A.gif는 횡보강근 /Resources/kci/JKCI.2016.28.2.167/images/PIC6A4B.gif의 단면적을, /Resources/kci/JKCI.2016.28.2.167/images/PIC6A4C.gif은 횡보강근 /Resources/kci/JKCI.2016.28.2.167/images/PIC6A5C.gif의 항복강도를, /Resources/kci/JKCI.2016.28.2.167/images/PIC6A6D.gif는 파괴면과 횡보강근 /Resources/kci/JKCI.2016.28.2.167/images/PIC6A6E.gif의 상대변위 사이의 각도를, /Resources/kci/JKCI.2016.28.2.167/images/PIC6A7F.gif는 횡보강근 /Resources/kci/JKCI.2016.28.2.167/images/PIC6A8F.gif의 전단면에 대한 배근 각도를 나타낸다. 횡보강근이 수평 축에 대해 대칭적으로 일정한 각도를 갖고 배근되었다면 식 (5)는 /Resources/kci/JKCI.2016.28.2.167/images/PIC6AB0.gif와 같은데, 여기서 /Resources/kci/JKCI.2016.28.2.167/images/PIC6AD0.gif는 균열면에 대해 각도 /Resources/kci/JKCI.2016.28.2.167/images/PIC6AE0.gif의 경사를 가진 경우 전체 횡보강근 양을 나타낸다. 따라서 파괴면에서 콘크리트 및 횡보강근의 변형에 의해 소산된 전체 에너지(/Resources/kci/JKCI.2016.28.2.167/images/PIC6AF1.gif)는 다음과 같다.9)

/Resources/kci/JKCI.2016.28.2.167/images/Figure_CONCRETE_28_2_05_F2.jpg

Fig. 2 Reinforcing bar i intersecting the failure plane

/Resources/kci/JKCI.2016.28.2.167/images/PIC6B40.gif (6)

식 (6)에서 두 강체의 상대변위 (/Resources/kci/JKCI.2016.28.2.167/images/PIC6B60.gif)는 /Resources/kci/JKCI.2016.28.2.167/images/PIC6B90.gif와 같다(Fig. 1). 상계치 이론에 따르면 외부 일과 내부 일은 평형조건/Resources/kci/JKCI.2016.28.2.167/images/PIC6BC0.gif 상태에서 부재가 파괴된다고 간주되므로, 식 (3)과 (6)을 정리하면 다음과 같다.

/Resources/kci/JKCI.2016.28.2.167/images/PIC6C6D.gif (7)

식 (7)은 콘크리트의 전단마찰에 의한 전단저항은 /Resources/kci/JKCI.2016.28.2.167/images/PIC6C7E.gif의 함수임을 나타낸다. 따라서 상계치 이론의 정리로부터 콘크리트 전단마찰에 의한 전단내력(/Resources/kci/JKCI.2016.28.2.167/images/PIC6C8E.gif)은 각 /Resources/kci/JKCI.2016.28.2.167/images/PIC6C9F.gif에 대해 편미분하여/Resources/kci/JKCI.2016.28.2.167/images/PIC6CCF.gif 정리할 수 있으므로, 상대변위 각 /Resources/kci/JKCI.2016.28.2.167/images/PIC6CDF.gif는 다음과 같이 나타낼 수 있다.

/Resources/kci/JKCI.2016.28.2.167/images/PIC6D7D.gif (8)

2.3 콘크리트 유효강도계수 모델

식 (8)에 나타낸 상대변위 각 /Resources/kci/JKCI.2016.28.2.167/images/PIC6D8D.gif를 산정하기 위해서는 콘크리트의 유효강도가 우선 평가되어야 한다. 콘크리트는 수정된 Coulomb 파괴 기준으로부터 /Resources/kci/JKCI.2016.28.2.167/images/PIC6D9E.gif/Resources/kci/JKCI.2016.28.2.167/images/PIC6DBE.gif를 갖는 완전 소성재료로 간주할 수 있다. 하지만 콘크리트는 완전한 소성 재료가 아닌 취성재료이므로 압축에 대한 유효계수는 Fig. 3과 같이 실제 응력-변형률 곡선과 완전한 소성 응력-변형률 곡선에 대한 면적을 같게 하여 결정할 수 있다3). 따라서 압축강도 유효계수(/Resources/kci/JKCI.2016.28.2.167/images/PIC6DCF.gif)와 인장강도 유효계수(/Resources/kci/JKCI.2016.28.2.167/images/PIC6DD0.gif)는 각각 식 (9)와 (10)으로 정의할 수 있다.

/Resources/kci/JKCI.2016.28.2.167/images/Figure_CONCRETE_28_2_05_F3.jpg

Fig. 3 Equivalent rigid-perfectly plastic stress-strain curves of concrete

/Resources/kci/JKCI.2016.28.2.167/images/PIC6E00.gif (9)

/Resources/kci/JKCI.2016.28.2.167/images/PIC6E20.gif (10)

여기서, /Resources/kci/JKCI.2016.28.2.167/images/PIC6E31.gif/Resources/kci/JKCI.2016.28.2.167/images/PIC6E51.gif는 콘크리트 압축변형률과 인장변형률을, /Resources/kci/JKCI.2016.28.2.167/images/PIC6E61.gif/Resources/kci/JKCI.2016.28.2.167/images/PIC6E62.gif/Resources/kci/JKCI.2016.28.2.167/images/PIC6E73.gif에 해당하는 압축강도와 /Resources/kci/JKCI.2016.28.2.167/images/PIC6E74.gif에 해당하는 인장강도를, /Resources/kci/JKCI.2016.28.2.167/images/PIC6E94.gif/Resources/kci/JKCI.2016.28.2.167/images/PIC6EB5.gif는 최대압축변형률과 최대인장변형률을 나타낸다.

콘크리트 압축유효강도 계수(/Resources/kci/JKCI.2016.28.2.167/images/PIC6EB6.gif)를 결정하기 위한 압축 응력-변형률 관계는 콘크리트의 단위용적중량을 고려한 다음의 Yang et al.16)의 모델을 이용하였다.

/Resources/kci/JKCI.2016.28.2.167/images/PIC6F43.gif (11)

/Resources/kci/JKCI.2016.28.2.167/images/PIC6F63.giffor/Resources/kci/JKCI.2016.28.2.167/images/PIC6FC2.gif (12.a)

/Resources/kci/JKCI.2016.28.2.167/images/PIC6FE2.giffor/Resources/kci/JKCI.2016.28.2.167/images/PIC7051.gif (12.b)

/Resources/kci/JKCI.2016.28.2.167/images/PIC70CF.gif (13)

여기서 /Resources/kci/JKCI.2016.28.2.167/images/PIC70DF.gif는 최대 응력시 변형률을, /Resources/kci/JKCI.2016.28.2.167/images/PIC70F0.gif는 임의의 변형률 /Resources/kci/JKCI.2016.28.2.167/images/PIC70F1.gif에 해당하는 응력을, /Resources/kci/JKCI.2016.28.2.167/images/PIC7102.gif는 응력-변형률 곡선의 상승 및 하강구간의 기울기를 나타내는 계수이며, /Resources/kci/JKCI.2016.28.2.167/images/PIC7122.gif(= 10MPa)는 콘크리트 압축강도의 참고값이며, /Resources/kci/JKCI.2016.28.2.167/images/PIC7152.gif는 콘크리트 단위용적중량이다. Yang et al.은 콘크리트 단위용적중량 1,400~4,000kg/m3 범위의 실험결과를 회귀분석하여 콘크리트 탄성계수 및 /Resources/kci/JKCI.2016.28.2.167/images/PIC7153.gif를 다음과 같이 제시하였다.

/Resources/kci/JKCI.2016.28.2.167/images/PIC7183.gif (14)

/Resources/kci/JKCI.2016.28.2.167/images/PIC71B3.gif (15)

콘크리트 인장 유효강도계수(/Resources/kci/JKCI.2016.28.2.167/images/PIC71B4.gif)를 산출하기 위한 인장 응력-변형률 관계는 다음의 Hordijk16) 모델을 이용하였다.

/Resources/kci/JKCI.2016.28.2.167/images/PIC71C4.giffor/Resources/kci/JKCI.2016.28.2.167/images/PIC71F4.gif (16)

/Resources/kci/JKCI.2016.28.2.167/images/PIC72A1.giffor/Resources/kci/JKCI.2016.28.2.167/images/PIC72E0.gif (17)

여기서 /Resources/kci/JKCI.2016.28.2.167/images/PIC7301.gif는 최대 인장응력시 변형률을, /Resources/kci/JKCI.2016.28.2.167/images/PIC7321.gif는 골재 크기 계수를 나타내며, /Resources/kci/JKCI.2016.28.2.167/images/PIC7322.gif는 골재 최대 치수를, /Resources/kci/JKCI.2016.28.2.167/images/PIC7333.gif(=25 mm)는 골재크기 참고 값이다. 실험상수 /Resources/kci/JKCI.2016.28.2.167/images/PIC7343.gif, /Resources/kci/JKCI.2016.28.2.167/images/PIC7344.gif는 Yang3)에 의해 최적화된 값으로 각각 1과 –1을 적용하였다. 콘크리트의 인장강도는 다음과 같다18).

/Resources/kci/JKCI.2016.28.2.167/images/PIC7393.gif (18)

/Resources/kci/JKCI.2016.28.2.167/images/PIC73D3.gif (19)

인장변형률은 최고 인장응력 후 균열에 의해 지배되기 때문에 /Resources/kci/JKCI.2016.28.2.167/images/PIC73E3.gif에 해당하는 /Resources/kci/JKCI.2016.28.2.167/images/PIC73F4.gif는 다음과 같다.

/Resources/kci/JKCI.2016.28.2.167/images/PIC7443.gif (20)

여기서 /Resources/kci/JKCI.2016.28.2.167/images/PIC7473.gif/Resources/kci/JKCI.2016.28.2.167/images/PIC7493.gif는 최대 하중에서 균열 변위이며, /Resources/kci/JKCI.2016.28.2.167/images/PIC74C3.gif는 콘크리트 파괴에너지이다. 콘크리트 파괴에너지는 단위용적중량과 골재의 직경 및 콘크리트 압축강도에 의해 영향을 받으므로, Sim et al.18)에 의해 제시된 다음 식을 이용하였다.

/Resources/kci/JKCI.2016.28.2.167/images/PIC7512.gif (21)

/Resources/kci/JKCI.2016.28.2.167/images/PIC7542.gif (22)

여기서 /Resources/kci/JKCI.2016.28.2.167/images/PIC7553.gif는 극한 파괴에너지이며, /Resources/kci/JKCI.2016.28.2.167/images/PIC7554.gif는 NWC와 LWC에서 각각 /Resources/kci/JKCI.2016.28.2.167/images/PIC7564.gif/Resources/kci/JKCI.2016.28.2.167/images/PIC7575.gif이며, 실험상수 /Resources/kci/JKCI.2016.28.2.167/images/PIC7586.gif, /Resources/kci/JKCI.2016.28.2.167/images/PIC7596.gif은 각각 900과 –0.35이다.

압축강도 유효계수(/Resources/kci/JKCI.2016.28.2.167/images/PIC75A7.gif)는 Yang et al.15)의 압축 응력-변형률 모델을 통해 식 (9)로부터 결정할 수 있다. 콘크리트는 완전한 소성재료로 간주되므로 파괴 시 변형률 값(/Resources/kci/JKCI.2016.28.2.167/images/PIC75C7.gif)까지의 완전한 소성 응력-변형률 곡선을 결정할 수 있다. 콘크리트의 /Resources/kci/JKCI.2016.28.2.167/images/PIC75E7.gif 값은 콘크리트의 압축강도 및 단위용적중량에 의해 영향을 받는다. 하지만 다양한 조건 하에서 적절한 /Resources/kci/JKCI.2016.28.2.167/images/PIC75F8.gif 값에 대한 실험자료는 매우 미흡하다. Yang et al.1)은 콘크리트의 압축 응력-변형률 관계에서 최대응력 이후 최대응력의 50% 이상의 값에 대해서는 신뢰할 수 있는 데이터 수집이 어려울 뿐만 아니라 적절한 범위의 /Resources/kci/JKCI.2016.28.2.167/images/PIC7609.gif 값을 얻기 위해서는 /Resources/kci/JKCI.2016.28.2.167/images/PIC7619.gif 값은 최대응력 이후 0.5/Resources/kci/JKCI.2016.28.2.167/images/PIC762A.gif에 해당하는 변형률로 정의하는 것이 바람직함을 보였다. 이를 고려하여 식 (9)의 적용 시 /Resources/kci/JKCI.2016.28.2.167/images/PIC764A.gif 값은 최대응력 이후 0.5/Resources/kci/JKCI.2016.28.2.167/images/PIC765B.gif에 해당하는 변형률로 정의하여 /Resources/kci/JKCI.2016.28.2.167/images/PIC765C.gif 값을 산정하였다. 다양한 조건에서 콘크리트 재료 특성중의 하나인 /Resources/kci/JKCI.2016.28.2.167/images/PIC768C.gif 값을 모델링하기 위하여 /Resources/kci/JKCI.2016.28.2.167/images/PIC769C.gif = 20~100MPa, /Resources/kci/JKCI.2016.28.2.167/images/PIC76AD.gif = 1,400~ 4,000kg/m3의 범위들에서 식 (9)를 이용하여 /Resources/kci/JKCI.2016.28.2.167/images/PIC76DD.gif 값을 산정하였다. 산정된 /Resources/kci/JKCI.2016.28.2.167/images/PIC76DE.gif 값들을 각 변수들의 조합을 통하여 비선형 회귀분석을 수행하였다. 그 결과 /Resources/kci/JKCI.2016.28.2.167/images/PIC76EE.gif는 다음과 같이 제시될 수 있었다(Fig. 4).

/Resources/kci/JKCI.2016.28.2.167/images/Figure_CONCRETE_28_2_05_F4.jpg

Fig. 4 Regression analysis for /Resources/kci/JKCI.2016.28.2.167/images/PIC76FF.gif

/Resources/kci/JKCI.2016.28.2.167/images/Figure_CONCRETE_28_2_05_F5.jpg

Fig. 5 Regression analysis for /Resources/kci/JKCI.2016.28.2.167/images/PIC7710.gif

/Resources/kci/JKCI.2016.28.2.167/images/PIC7740.gif (23)

유효강도비(/Resources/kci/JKCI.2016.28.2.167/images/PIC7760.gif)는 Yang et al.15)의 압축 응력-변형률 모델과 Hordijk16)의 인장 응력-변형률 모델을 통해 식 (9)와 (10)으로부터 결정할 수 있다. 콘크리트 압축유효강도 계수를 산정하기 위해 /Resources/kci/JKCI.2016.28.2.167/images/PIC7761.gif = 20~100MPa, /Resources/kci/JKCI.2016.28.2.167/images/PIC7771.gif = 5~25mm, /Resources/kci/JKCI.2016.28.2.167/images/PIC7792.gif = 1,400~4,000kg/m3의 범위들에서 식 (9)와 식 (10)으로부터 산정된 /Resources/kci/JKCI.2016.28.2.167/images/PIC77A2.gif를 결정하고 그 값들을 회귀분석한 결과 다음과 같이 모델링 될 수 있었다(Fig. 5).

/Resources/kci/JKCI.2016.28.2.167/images/PIC77E2.gif (24)

2.4 콘크리트 마찰각

순수전단에서 수정된 Coulomb 재료의 미끄러짐 파괴(Sliding failure) 조건은 다음과 같다(Fig. 6).

/Resources/kci/JKCI.2016.28.2.167/images/PIC7802.gif (25)

/Resources/kci/JKCI.2016.28.2.167/images/Figure_CONCRETE_28_2_05_F6.jpg

Fig. 6 Mohr’s circle for sliding failure under pure shear

/Resources/kci/JKCI.2016.28.2.167/images/Figure_CONCRETE_28_2_05_F7.jpg

Fig. 7 Relation of  /Resources/kci/JKCI.2016.28.2.167/images/PIC7813.gif and /Resources/kci/JKCI.2016.28.2.167/images/PIC7823.gif

여기서 /Resources/kci/JKCI.2016.28.2.167/images/PIC7834.gif/Resources/kci/JKCI.2016.28.2.167/images/PIC7845.gif은 순수전단에서의 주응력을, /Resources/kci/JKCI.2016.28.2.167/images/PIC7846.gif는 콘크리트 점착력을 나타낸다. /Resources/kci/JKCI.2016.28.2.167/images/PIC7856.gif는 미끄러짐 파괴(Sliding failure) 조건에서 /Resources/kci/JKCI.2016.28.2.167/images/PIC7886.gif와 같이 나타낼 수 있으며, /Resources/kci/JKCI.2016.28.2.167/images/PIC78B6.gif/Resources/kci/JKCI.2016.28.2.167/images/PIC78C7.gif이다.9) 따라서 직접전단마찰에 의한 파괴면에서 콘크리트의 전단응력(/Resources/kci/JKCI.2016.28.2.167/images/PIC78D7.gif)은 다음과 같이 나타낼 수 있다.

/Resources/kci/JKCI.2016.28.2.167/images/PIC7907.gif (26)

여기서 /Resources/kci/JKCI.2016.28.2.167/images/PIC7918.gif는 콘크리트가 부담하는 전단내력이다. 콘크리트의 마찰각(/Resources/kci/JKCI.2016.28.2.167/images/PIC7928.gif)은 재료의 특성이므로 철근 및 작용 축력에 의한 영향은 무시할 수 있다9). 따라서 식 (4)에 나타낸 콘크리트만의 소산에너지를 고려하면 식 (7)로부터 콘크리트 재료만의 전단전달력(/Resources/kci/JKCI.2016.28.2.167/images/PIC7939.gif)는 다음과 같이 나타낼 수 있다.

/Resources/kci/JKCI.2016.28.2.167/images/PIC7978.gif (27)

식 (27)을 식 (26)에 대입하면 /Resources/kci/JKCI.2016.28.2.167/images/PIC7989.gif는 다음과 같이 정리될 수 있다.

/Resources/kci/JKCI.2016.28.2.167/images/PIC79C9.gif (28)

식 (28)에서 /Resources/kci/JKCI.2016.28.2.167/images/PIC79D9.gif/Resources/kci/JKCI.2016.28.2.167/images/PIC79DA.gif/Resources/kci/JKCI.2016.28.2.167/images/PIC7A0A.gif의 함수이다. 따라서 /Resources/kci/JKCI.2016.28.2.167/images/PIC7A1B.gif는 임의의 /Resources/kci/JKCI.2016.28.2.167/images/PIC7A4B.gif값에 대해 비선형 식 (28)의 수치해석으로부터 산정될 수 있다. /Resources/kci/JKCI.2016.28.2.167/images/PIC7A5B.gif를 일반화하기 위하여 /Resources/kci/JKCI.2016.28.2.167/images/PIC7A7B.gif를 0.01~ 0.06 범위에서 식 (28)을 수치해석을 통해 산정하고, 그 결과를 /Resources/kci/JKCI.2016.28.2.167/images/PIC7A9C.gif에 대해 회귀분석하였다(Fig. 7). 그 결과 콘크리트의 재료특성 중의 하나인 마찰각은 다음과 같이 나타낼 수 있었다.

/Resources/kci/JKCI.2016.28.2.167/images/PIC7AAC.gif (29)

Nielsen은 /Resources/kci/JKCI.2016.28.2.167/images/PIC7ACD.gif 값을 콘크리트 강도 및 단위용적중량에 관계없이 37°로 가정하였다. 하지만 콘크리트의 마찰각은 파괴면의 마찰력에 영향을 미치는 거칠기에 의해 영향을 받으므로 콘크리트 압축강도 및 단위용적중량에 의해 영향을 받는다. 이는 고강도 콘크리트 그리고 경량콘크리트에서의 파괴면은 골재를 관통하여 형성함으로서 그 파괴면의 거칠기가 다소 부드럽게 있기 때문이다.9)

2.5 콘크리트 전단마찰내력

이상에서 유도된 콘크리트 경계면에서의 전단마찰내력 평가모델을 Table 1에 요약하였다. 콘크리트의 전단마찰내력은 식 (7)로부터 결정할 수 있다. 식 (7)의 변수 /Resources/kci/JKCI.2016.28.2.167/images/PIC7ADD.gif/Resources/kci/JKCI.2016.28.2.167/images/PIC7ADE.gif은 유효강도비(/Resources/kci/JKCI.2016.28.2.167/images/PIC7AFE.gif)와 콘크리트 마찰각(/Resources/kci/JKCI.2016.28.2.167/images/PIC7B0F.gif)의 함수이므로 식 (24)와 (29)를 통해 결정된다. 유효압축강도(/Resources/kci/JKCI.2016.28.2.167/images/PIC7B20.gif)는 식 (23)의 유효강도계수(/Resources/kci/JKCI.2016.28.2.167/images/PIC7B30.gif)와 콘크리트 압축강도(/Resources/kci/JKCI.2016.28.2.167/images/PIC7B41.gif)를 통해 결정된다. 따라서 결정된 /Resources/kci/JKCI.2016.28.2.167/images/PIC7B42.gif, /Resources/kci/JKCI.2016.28.2.167/images/PIC7B72.gif/Resources/kci/JKCI.2016.28.2.167/images/PIC7BA2.gif을 통해 파괴면과 상대변위 사이의 각도(/Resources/kci/JKCI.2016.28.2.167/images/PIC7BA3.gif)가 산출되므로 콘크리트 마찰설계를 위한 내력을 결정할 수 있다. 식 (7)의 오른편에서 첫 번째, 두 번째, 세 번째 항은 각각 콘크리트, 횡보강근 및 작용 축력에 의한 전단전달력을 의미한다. 즉, 전단마찰 기구에 의한 직접 전단력은 파괴면에서의 횡보강근 양이 많을수록 그리고 압축력이 작용할수록 증가하며, 인장력이 작용할 경우 그 내력은 감소할 수 있음을 의미한다.

Table 1 Summary of proposed equations including the present approach

Researcher

Equations

Note

ACI 318-111)

/Resources/kci/JKCI.2016.28.2.167/images/PIC7209.gif

     /Resources/kci/JKCI.2016.28.2.167/images/PIC7268.gif for NWC

     /Resources/kci/JKCI.2016.28.2.167/images/PIC72A7.gif for LWC

/Resources/kci/JKCI.2016.28.2.167/images/PIC72C8.gif for NWC

/Resources/kci/JKCI.2016.28.2.167/images/PIC72F8.gif for sand-LWC

/Resources/kci/JKCI.2016.28.2.167/images/PIC7308.gif for all-LWC

AASHTO-LRFD4)

/Resources/kci/JKCI.2016.28.2.167/images/PIC7357.gif

For NWC

/Resources/kci/JKCI.2016.28.2.167/images/PIC7368.gif MPa, /Resources/kci/JKCI.2016.28.2.167/images/PIC7379.gif, /Resources/kci/JKCI.2016.28.2.167/images/PIC7389.gif, /Resources/kci/JKCI.2016.28.2.167/images/PIC739A.gif MPa

For LWC

/Resources/kci/JKCI.2016.28.2.167/images/PIC73AA.gif MPa, /Resources/kci/JKCI.2016.28.2.167/images/PIC73CB.gif, /Resources/kci/JKCI.2016.28.2.167/images/PIC73FB.gif, /Resources/kci/JKCI.2016.28.2.167/images/PIC740B.gif MPa

Shaikh5)

/Resources/kci/JKCI.2016.28.2.167/images/PIC742B.gif

-

Walraven6)

/Resources/kci/JKCI.2016.28.2.167/images/PIC746B.gif

/Resources/kci/JKCI.2016.28.2.167/images/PIC748B.gif, /Resources/kci/JKCI.2016.28.2.167/images/PIC74BB.gif

-

Loov7)

/Resources/kci/JKCI.2016.28.2.167/images/PIC750A.gif

-

Mattock8)

/Resources/kci/JKCI.2016.28.2.167/images/PIC753A.gif/Resources/kci/JKCI.2016.28.2.167/images/PIC755A.gif/Resources/kci/JKCI.2016.28.2.167/images/PIC757B.gif

/Resources/kci/JKCI.2016.28.2.167/images/PIC75CA.gif/Resources/kci/JKCI.2016.28.2.167/images/PIC75DA.gif/Resources/kci/JKCI.2016.28.2.167/images/PIC760A.gif

/Resources/kci/JKCI.2016.28.2.167/images/PIC7659.gif/Resources/kci/JKCI.2016.28.2.167/images/PIC7699.gif/Resources/kci/JKCI.2016.28.2.167/images/PIC76B9.gif

/Resources/kci/JKCI.2016.28.2.167/images/PIC76E9.gif 

For NWC

/Resources/kci/JKCI.2016.28.2.167/images/PIC7738.gif 5.5 MPa, /Resources/kci/JKCI.2016.28.2.167/images/PIC7758.gif, /Resources/kci/JKCI.2016.28.2.167/images/PIC7779.gif MPa

For sand-LWC

/Resources/kci/JKCI.2016.28.2.167/images/PIC77B8.gif MPa, /Resources/kci/JKCI.2016.28.2.167/images/PIC77D8.gif, /Resources/kci/JKCI.2016.28.2.167/images/PIC77F9.gif MPa

For all-LWC

/Resources/kci/JKCI.2016.28.2.167/images/PIC7828.gif MPa, /Resources/kci/JKCI.2016.28.2.167/images/PIC7858.gif, /Resources/kci/JKCI.2016.28.2.167/images/PIC7879.gif MPa

This study

/Resources/kci/JKCI.2016.28.2.167/images/PIC79A2.gif

/Resources/kci/JKCI.2016.28.2.167/images/PIC79E2.gif, /Resources/kci/JKCI.2016.28.2.167/images/PIC7A21.gif

/Resources/kci/JKCI.2016.28.2.167/images/PIC7A61.gif, /Resources/kci/JKCI.2016.28.2.167/images/PIC7AA0.gif

/Resources/kci/JKCI.2016.28.2.167/images/PIC7AF0.gif

/Resources/kci/JKCI.2016.28.2.167/images/PIC7B00.gif, /Resources/kci/JKCI.2016.28.2.167/images/PIC7B30.gif

-

Note] /Resources/kci/JKCI.2016.28.2.167/images/PIC7B41.gif = shear friction strength,  /Resources/kci/JKCI.2016.28.2.167/images/PIC7B51.gif(=/Resources/kci/JKCI.2016.28.2.167/images/PIC7B72.gif) = converted area of transverse reinforcement considering the inclination, /Resources/kci/JKCI.2016.28.2.167/images/PIC7BB1.gif = area of transverse reinforcement, /Resources/kci/JKCI.2016.28.2.167/images/PIC7BC2.gif = degree of transverse reinforcement to the concrete interface, /Resources/kci/JKCI.2016.28.2.167/images/PIC7BE2.gif = modification factor for LWC , /Resources/kci/JKCI.2016.28.2.167/images/PIC7BE3.gif = compressive strength of concrete, /Resources/kci/JKCI.2016.28.2.167/images/PIC7C03.gif = area of shear friction plane, /Resources/kci/JKCI.2016.28.2.167/images/PIC7C04.gif = cohesion of concrete, /Resources/kci/JKCI.2016.28.2.167/images/PIC7C15.gif = coefficient of friction, /Resources/kci/JKCI.2016.28.2.167/images/PIC7C45.gif = applied compressive load, /Resources/kci/JKCI.2016.28.2.167/images/PIC7C75.gif(=/Resources/kci/JKCI.2016.28.2.167/images/PIC7CA4.gif) = transverse reinforcement ratio, /Resources/kci/JKCI.2016.28.2.167/images/PIC7CB5.gif = yield strength of transverse reinforcement, /Resources/kci/JKCI.2016.28.2.167/images/PIC7CD5.gif and /Resources/kci/JKCI.2016.28.2.167/images/PIC7D05.gif = effective compressive and tensile strengths, respectively, of concrete, /Resources/kci/JKCI.2016.28.2.167/images/PIC7D16.gif = angle between the relative displacement and failure surface, /Resources/kci/JKCI.2016.28.2.167/images/PIC7D26.gif = friction angle of concrete, /Resources/kci/JKCI.2016.28.2.167/images/PIC7D37.gif = effectiveness factor for concrete in compression, /Resources/kci/JKCI.2016.28.2.167/images/PIC7D67.gif(=10 MPa) = reference concrete compressive strength, /Resources/kci/JKCI.2016.28.2.167/images/PIC7D78.gif(= 25mm) = reference aggregate size, /Resources/kci/JKCI.2016.28.2.167/images/PIC7DA7.gif = maximum size of aggregate, and /Resources/kci/JKCI.2016.28.2.167/images/PIC7DB8.gif= unit weight of concrete.

3. 기존 제안식과 비교

제시된 콘크리트의 전단마찰내력은 기존 연구자의 모델 및 설계기준과 함께 총 91개의 직접전단 실험결과3,10-14)와 비교하였다. 비교된 기존 모델은 Table 1에 요약한 ACI 318-11,1) 미국 도로교통협회의 하중계수설계법(AASHTO-LRFD)4)의 전단마찰설계와 Shaikh,5) Walraven,6) Loov,7) Mattock8)의 전단마찰모델이다. 제시된 모델들과 비교하기 위한 기존 실험결과들에서 변수의 범위는 /Resources/kci/JKCI.2016.28.2.167/images/PIC7BD3.gif가 16.4~44.4MPa, /Resources/kci/JKCI.2016.28.2.167/images/PIC7BE3.gif가 1,510~2,651kg/m3, 횡보강근비(/Resources/kci/JKCI.2016.28.2.167/images/PIC7C32.gif/Resources/kci/JKCI.2016.28.2.167/images/PIC7C62.gif)가 0~0.0393, 축응력(/Resources/kci/JKCI.2016.28.2.167/images/PIC7C82.gif)이 -2.8~11.4 MPa로서 이들의 변수분포는 Table 2에 나타내었다. 작용 축응력에서 (-)부호는 인장응력을 의미한다. 변수 분포에서 HWC를 사용한 실험체와 축하중만 작용하는 실험체는 없으며, 횡보강근과 함께 축하중이 작용하는 실험체는 8개이다. 따라서 HWC를 사용한 콘크리트 전단마찰 실험 및 전단마찰기구에 대한 축력의 영향평가는 지속적인 연구가 필요하다. 비록 본 연구의 모델은 다양한 콘크리트(LWC 및 HWC 포함)에 적용할 수 있도록 제시되었지만 유용한 실험자료가 없어서 HWC의 전단내력과의 비교는 하지 않았다.

Table 2 Distribution of different parameters in the 91 test data sets

Parameters

Distribution

/Resources/kci/JKCI.2016.28.2.167/images/PIC7DC9.gif

Range (MPa)

15~20

20~30

30~40

40~50

Frequency

4

64

13

10

/Resources/kci/JKCI.2016.28.2.167/images/PIC7DE9.gif

Range (kg/m3)

1,500~1,800

1,800~2,000

2,000~2,500

2,500~2,615

Frequency

19

9

56

7

/Resources/kci/JKCI.2016.28.2.167/images/PIC7E28.gif

Range

0

0.001~0.01

0.01~0.025

0.025~0.04

Frequency

17

23

41

10

/Resources/kci/JKCI.2016.28.2.167/images/PIC7E49.gif

Range (MPa)

-3~0

0

0~5

5~15

Frequency

4

83

1

3

Table 3 Comparison of experimental and predicted shear capacities in the database using different methods

Model

Specimens

(/Resources/kci/JKCI.2016.28.2.167/images/PIC7E79.gif, /Resources/kci/JKCI.2016.28.2.167/images/PIC7E89.gif)

Specimens

(/Resources/kci/JKCI.2016.28.2.167/images/PIC7EB9.gif, /Resources/kci/JKCI.2016.28.2.167/images/PIC7ED9.gif)

Specimens

(-3 /Resources/kci/JKCI.2016.28.2.167/images/PIC7F09.gif /Resources/kci/JKCI.2016.28.2.167/images/PIC7F1A.gif(MPa) /Resources/kci/JKCI.2016.28.2.167/images/PIC7F3A.gif 12 , /Resources/kci/JKCI.2016.28.2.167/images/PIC7F5A.gif)

LWC

NWC

LWC

NWC

NWC

/Resources/kci/JKCI.2016.28.2.167/images/PIC7F7B.gif

/Resources/kci/JKCI.2016.28.2.167/images/PIC7F8B.gif

/Resources/kci/JKCI.2016.28.2.167/images/PIC7F9C.gif

/Resources/kci/JKCI.2016.28.2.167/images/PIC7FBC.gif

/Resources/kci/JKCI.2016.28.2.167/images/PIC7FDC.gif

/Resources/kci/JKCI.2016.28.2.167/images/PIC7FDD.gif

/Resources/kci/JKCI.2016.28.2.167/images/PIC7FEE.gif

/Resources/kci/JKCI.2016.28.2.167/images/PIC7FFF.gif

/Resources/kci/JKCI.2016.28.2.167/images/PIC8000.gif

/Resources/kci/JKCI.2016.28.2.167/images/PIC8010.gif

ACI 318-113)

0

0

0

0

1.80

0.67

1.63

0.35

2.54

2.07

AASHTO-LRFD4)

1.73

0.4

1.13

0.31

1.27

0.21

1.11

0.18

1.44

0.39

Shaikh5)

0

0

0

0

1.36

0.23

1.09

0.17

1.81

1.21

Walraven6)

0

0

0

0

1.03

0.14

1.05

0.14

1.51

0.79

Loov7)

3.39

0.98

3.05

0.79

1.34

0.19

1.17

0.16

1.59

0.82

Mattock8)

0

0

0

0

1.34

0.34

1.14

0.17

1.50

0.25

This study

0.98

0.24

1.03

0.17

0.92

0.06

0.93

0.13

1.09

0.18

Note] /Resources/kci/JKCI.2016.28.2.167/images/PIC805F.gif and /Resources/kci/JKCI.2016.28.2.167/images/PIC8080.gif indicate the mean and standard deviation, respectively, of the ratios between measured and predicted shear capacities(/Resources/kci/JKCI.2016.28.2.167/images/PIC80AF.gif)

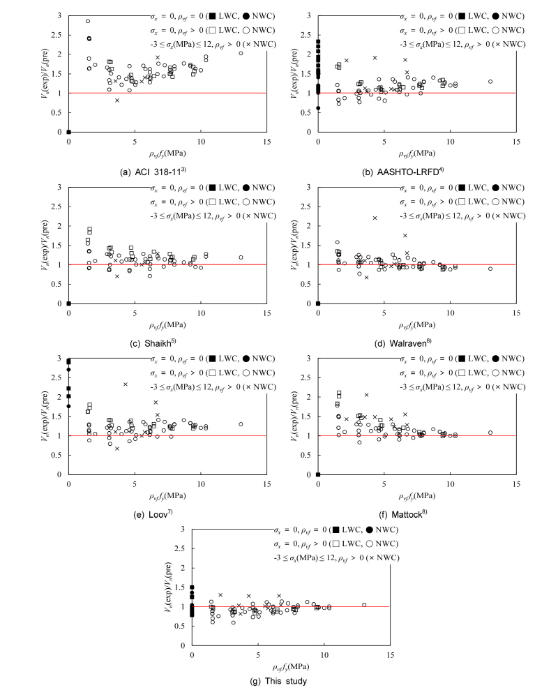
콘크리트 단위용적중량을 중심으로 축응력 및 횡보강근을 고려하여 기존모델과 비교하기 위해 전단내력의 실험결과에 대한 예측값의 비(/Resources/kci/JKCI.2016.28.2.167/images/PIC7CB2.gif)의 평균(/Resources/kci/JKCI.2016.28.2.167/images/PIC7CD3.gif)  및 표준편차(/Resources/kci/JKCI.2016.28.2.167/images/PIC7CD4.gif)를 Table 3에 타나내었다. 또한 전체 실험데이터를 이용한 /Resources/kci/JKCI.2016.28.2.167/images/PIC7CF4.gif의 비교를 Fig. 8에 나타내었다. ACI 318-11, Shaikh, Walraven, Mattock은 횡보강이 배근되어있는 상태에서만 고려된 모델로 횡보강근이 없는 경우에는 실험결과와 비교할 수 없다. 이들 모델들은 전단마찰기구에서 콘크리트의 전단전달력을 무시하기 때문이다. AASHTO-LRFD, Shaikh, Loov, Mattock는 콘크리트 종류에 따라 계수를 제시하였는데, HWC에 대한 계수 값은 명확하지 않다.

횡보강근과 축력이 없는 실험체에 대해서 AASHTO- LRFD는 LWC의 실험결과를 지나치게 과소평가(/Resources/kci/JKCI.2016.28.2.167/images/PIC7D04.gif= 1.73)하는데 비해 NWC의 실험결과(/Resources/kci/JKCI.2016.28.2.167/images/PIC7D25.gif= 1.13)는 비교적 잘 일치하였다. Loov는 콘크리트 종류에 관계없이 실험결과를 매우 과소평가하였다. 이에 반해 이 연구에서 제시된 모델은 LWC(/Resources/kci/JKCI.2016.28.2.167/images/PIC7D35.gif= 0.98) 및 NWC(/Resources/kci/JKCI.2016.28.2.167/images/PIC7D36.gif= 1.03) 실험체의  전단내력과 잘 일치하였다.

횡보강근이 있는 실험체에 대해서 ACI 318-11, AASHTO- LRFD, Shaikh, Loov, Mattock에 의한 예측값 대비 실험결과의 비의 평균값은 LWC 실험체의 경우 각각 1.80, 1.27, 1.36, 1.34, 1.34이었으며, NWC 실험체의 경우 각각 1.63, 1.11, 1.09, 1.17, 1.14이었다. 이들 모델들은 횡보강근이 있는 콘크리트의 전단마찰내력을 NWC에 비해 LWC에서 다소 과소평가하는 경향이 있다. Walraven 그리고 이 연구에서 제시된 모델은 콘크리트 종류에 관계없이 실험결과와 잘 일치하였다. 횡보강근과 축응력이 있는 실험체에 대해서 축응력을 고려하지 않은 ACI 318-11, Shaikh, Walraven, Loov의 제안모델들은 실험결과를 과소평가하였다(각각 /Resources/kci/JKCI.2016.28.2.167/images/PIC7D47.gif= 2.54, 1.81, 1.51, 1.59). AASHTO-LRFD, Mattock 식은 횡보강근 및 축응력의 영향을 고려하지만 실험결과를 과소평가하는 경향을 보였다(각각 /Resources/kci/JKCI.2016.28.2.167/images/PIC7D58.gif= 1.44, 1.50). 반면 이 연구에서 제시된 모델은 횡보강근과 축력이 있는 NWC 실험체의 전단내력을 잘 예측하였다(/Resources/kci/JKCI.2016.28.2.167/images/PIC7D78.gif= 1.09). 최종적으로 이 연구에서 제시된 모델은 콘크리트 종류, 횡보강근 양 및 작용축력에 관계없이 콘크리트의 직접전단내력을 잘 예측하였다(/Resources/kci/JKCI.2016.28.2.167/images/PIC7D88.gif= 0.95, /Resources/kci/JKCI.2016.28.2.167/images/PIC7D99.gif= 0.15).

/Resources/kci/JKCI.2016.28.2.167/images/Figure_CONCRETE_28_2_05_F8.jpg

Fig. 8 Comparisons of measured shear capacities and predictions using different models.

4. 결    론

이 연구에서는 축응력과 횡보강근을 고려한 다양한 콘크리트의 전단마찰내력을 평가할 수 있는 모델을 제시하였다. 소성론의 상계치 이론에 기반하여 전단파괴 면에서의 전단전달 기구에 대한 횡보강근 및 작용 축응력의 영향을 유도하였다. 제시된 모델과 비교를 위한 기존실험결과들의 변수는 콘크리트압축강도(/Resources/kci/JKCI.2016.28.2.167/images/PIC7DAA.gif)가 16.4~44.4 MPa, 콘크리트단위용적중량(/Resources/kci/JKCI.2016.28.2.167/images/PIC7DBA.gif)이 1,510~2,651kg/m3, 횡보강근비(/Resources/kci/JKCI.2016.28.2.167/images/PIC7DEA.gif)가 0~0.0393, 축응력(/Resources/kci/JKCI.2016.28.2.167/images/PIC7DEB.gif)이 –2.8~11.4MPa의 범위이다. 제시된 모델은 기존 모델 및 직접전단 실험결과와 비교를 수행하였으며, 그 결과 다음과 같은 결론을 얻었다.

1)콘크리트 유효압축강도계수는 콘크리트 압축강도 및 단위용적중량의 함수로 제시될 수 있었다. 콘크리트 유효압축강도와 유효인장강도의 비는 위 콘크리트 재료특성 외에 골재직경에 의해서도 영향을 받았다.

2)콘크리트 마찰각은 Nielsen의 37° 고정값과 달리 콘크리트 압축유효강도와 인장유효강도의 비의 함수로 제시될 수 있었다. 이는 콘크리트 강도, 단위용적중량 및 종류에 따라 파괴면에서의 골재 파괴 등이 마찰계수에 영향을 미치기 때문이다.

3)ACI 318-11, Shaikh, Walraven, Mattock은 전단마찰기구에서 콘크리트의 전단전달력을 무시하였다. 축력의 영향을 고려하지 않은 ACI 318-11, Shaikh, Walraven, Loov의 제안모델들은 실험결과를 과소평가하였다. 또한 축응력의 영향을 고려한 AASHTO-LRFD, Mattock 및 수정 Mattock 식도 축응력이 증가할수록 콘크리트의 전단마찰내력을 과소평가하였다.

4)이 연구에서 제시된 모델은 콘크리트 종류, 횡보강근 양 및 작용 축응력에 관계없이 실험결과와 예측값의 비의 평균과 표준편차가 각각 0.95와 0.15로서 실험결과와 잘 일치하였다.

References

1 
1.ACI Committee 318, Building Code Requirements for Structural Concrete (ACI 318-11) and Commentary, American Concrete Institute, Farmington Hills, Michigan, USA, 2011, p.187.Google Search
2 
2.Mun, J. H., Mun, J. S., and Yang, K. H., “Stress-Strain Relationship of Heavyweight Concrete Using Magnetite Aggregate”, Architectural Institute of Korea, Vol.29, No.8, 2013, pp.85-92.Google Search
3 
3.Yang, K. H., Sim, J. I., Kang, J. H., and Ashour, A. F., “Shear Capacity of Monolithic Concrete Joints Without Transverse Reinforcement”, Magazine of Concrete Research, Vol.64, No.9, 2012, pp.767-780.DOI
4 
4.AASHTO, AAHSTO LRFD Bridge Design Specifications, American Association of State Highway and Transportation Officials, 2012, pp.5.78-5.80.Google Search
5 
5.Shaikh, A. F., “Proposed Revisions to Shear-Friction Provisions”, PCI Journal, Vol.23, No.2, 1978, pp.12-21.Google Search
6 
6.Walraven, J. C., Frenay, J., and Pruijssers, A., “Influence of Concrete Strength and Load History on the Shear Friction Capacity of Concrete Members”, PCI Journal, Vol.32, No.1, 1987, pp.66-84.DOI
7 
7.Loov, R. E., and Patnaik, A. K., “Horizontal Shear Strength of Composite Concrete Beams With a Rough Interface”, PCI Journal, Vol.39, No.1, 1994, pp.48-69.DOI
8 
8.Mattock, A. H., “Shear Friction and High-Strength Concrete”, ACI Structural Journal, Vol.98, No.1, 2001, pp.50-59.Google Search
9 
9.Nielsen, M. P., Limit Analysis and Concrete Plasticity, CRC Press, USA, 2010, pp.629-644.Google Search
10 
10.Mattock, A. H., Shear Transfer under Monotonic Loading, Acrossan Interface Between Concretes Cast at Different Times, Report No. SM76-3, University of Washington Department of Civil Engineering, Seattle, Washington, 1976, pp.1-35.Google Search
11 
11.Hofbeck, J. A., Ibrahim, I. O., and Mattock, A. H., “Shear Transfer in Reinforced Concrete”, ACI Structural Journal, Vol.66, No.2, 1969, pp.119-128.Google Search
12 
12.Mattock, A. H., Li, W. K., and Wang, T. C., “Shear Transfer in Lightweight Reinforced Concrete”, PCI Journal, Vol.32, No.1, 1976, pp.20-39.DOI
13 
13.Mattock, A. H., and Hawkins, N. M., “Shear Transfer in Reinforced Concrete - Recent Research”, PCI Journal, Vol.17, No.2, 1972, pp.76-93.DOI
14 
14.Mattock, A. H., Johal, L., and Chow, H. C., “Shear Transfer in Reinforced Concrete with Moment or Tension Acting Across the Shear Plane”, PCI Journal, Vol.20, No.4, 1975, pp.76-93.DOI
15 
15.Yang, K. H., Mun, J. H., Cho, M. S., and Kang, T. H. K., “A Stress-Strain Model for Various Unconfined Concrete in Compression”, ACI Structural Journal, Vol.111, No.4, 2014, pp.819-826.DOI
16 
16.Hodrdok, D. A. “Local Approach to Fatigue of Concrete”, PhD thesis, Delft University of Technology, Delft, Netherlands, 1991, p.210.Google Search
17 
17.CEB-FIP, CEB-FIP Modle Code 1990 for Concrete Structures, Committee Euro International Du Beton, Lausanne, Switzerland, 1993, pp.213-214.Google Search
18 
18.Sim, J. I., Yang, K. H., Lee, E. T., and Yi, S. T., “Effects of Aggregate and Specimen Sizes on Lightweight Concrete Fracture Energy”, Journal of Materials in Civil Engineering, ASCE, Vol.26, No.5, 2014, pp.845-854.DOI