Mobile QR Code QR CODE
Export citation EndNote




강섬유보강 콘크리트, 고속 충돌, 강섬유 체적비, 파단, 관입, 유한요소해석
SFRC, high velocity impact, fiber volume fraction, fracture, penetration, finite element method

  • 1. 서 론

  • 2. 실 험

  •   2.1 콘크리트 및 SFRC의 역학적특성

  •   2.2 SFRC 패널의 내충격 특성 평가방법

  • 3. 유한요소해석

  •   3.1 사용한 재료 모델

  •   3.2 충격해석모델

  • 4. 결과 및 고찰

  •   4.1 유한요소해석 결과

  •   4.2 면적손실률

  •   4.3 중량손실률

  •   4.4 관입깊이 및 파괴양상

  • 5. 구조 성능 평가

  •   5.1 하중 재하능력

  •   5.2 에너지 소산능력

  •   5.3 기둥 전단변형

  •   5.4 횡철근 변형률

  • 6. 결 론

1. 서    론

콘크리트는 다목적 건설재료로 충격과 폭발하중을 저항하기 위해 오랜 시간동안 광범위하게 사용하였다. 충돌과 같이 재료에 고변형율이 발생되는 경우, 구조물에 가해지는 동에너지를 충분히 흡수하지 못하여 파단이 크게 발생된다. 이러한 취성적 성질을 감소시키기 위해 섬유보강재를 혼합한 콘크리트에 대한 연구가 활발히 진행되었다.1) 요구되는 성능에 따라 개발된 여러 섬유보강재가 존재하지만, 경제적이고 재료 수급이 쉬운 강섬유가 혼입된 강섬유보강 콘크리트(steel fiber reinforced concrete, SFRC)를 대상으로 연구하였다. 강섬유를 혼입함으로써 인장저항성능을 향상하여 국부적인 균열의 생성이나 성장을 억제하고, 전단강도와 연성이 증가하여 충격강도와 휨파괴, 피로파괴에 대한 저항성이 증가한다. 일반적으로 강섬유보강 콘크리트가 일반 콘크리트보다 물성치와 강도, 취성, 인성 등이 향상되는 것을 실험적, 해석적2-4)으로 연구하였다.

비상체의 충돌로 인해 콘크리트 패널에 표면관입이 발생되며, 이때 비상체의 운동에너지가 대부분 소멸되고, 충격파가 배면 및 판의 정면으로 전달되면서 배면균열에 의한 2차적인 파괴가 발생하게 된다. 이러한 콘크리트의 파괴거동은 탄체의 재료적 특성, 충돌속도, 질량 및 기하학적 구조뿐만 아니라 콘크리트의 재료적 특성, 판의 크기 및 두께, 보강재료 및 방법 등 다양한 요인에 의해 영향을 받는 것으로 나타나고 있다. 이에 고속 충격을 받는 콘크리트의 표면관입 및 배면균열에 대하여 콘크리트의 역학적 특성이 미치는 영향에 대한 연구5,6)가 활발히 진행되었다. 충돌 초기에 발생되는 표면관입의 경우 콘크리트의 강성 즉, 압축강도의 향상에 의하여 저감시킬 수 있으며, 배면균열의 경우 섬유혼입, 두께증가 등 철근 메쉬를 설치하여 억제시킬 수 있다.7,8)

시멘트계 재료는 고유한 취성으로 압축하중과 인장하중에서의 변형률 거동이 다르게 나타나므로 그 특성을 반영한 여러가지 모델9,10)들이 제안되었다. 충격 해석에서 사용되는 콘크리트에 대한 재료모델은 대표적으로 Riedel-Thoma-Hiermaier (RHT), Holmquist-Johnson-Cook (HJC), Taylor-Chen-Kuszmaul (TCK) 등이 있으나 이러한 재료모델들은 손상 축적과 변형률 경화, 변형률 속도 등이 필요하며, 다항식으로 근사하기 위한 물리적인 의미가 없는 변수를 포함하고 있다. 또한 Ross et al.11,12)의 연구에 따르면 콘크리트가 충격하중 등에 의해 급격한 변형을 경험할 경우, 변형률 속도가 증가함에 따라 강도가 급격히 증가하는 양상을 확인할 수 있다. 이를 통해 Dynamic increase factors (DIF)를 제안하였으며, 변형률 속도를 통해 계수를 산정할 수 있다. 하지만 이러한 제안식은 각각의 변수를 얻기 위해서는 복잡한 실험을 요구하며, 변형률 속도의 측정이 요구된다. Ezeldin13)은 혼합된 강섬유의 제원과 간단한 물성치 시험으로 얻어지는 값을 이용하여, 압축하중이 작용할 때 사용될 수 있는 모델을 제시하였다. 이는 많은 변수들을 요구하는 기존의 재료모델과 달리 간단하게 사용될 수 있고, 강섬유 체적비가 증가할수록 SFRC의 압축강도 및 에너지 흡수율이 증가하는 경향을 만족하였다.

따라서, 본 연구에서는 여러 재료모델 중 Ezeldin13) 모델을 사용하여, ABAQUS/Explicit을 통한 SFRC 패널에 대한 충돌해석을 수행하고, 유효성을 검토하기 위해 실험결과와 비교하였다. 이를 통하여 콘크리트 패널의 충돌거동에 미치는 강섬유 체적비와 패널 두께의 영향을 검토하고, 해석적 묘사의 가능성을 평가하고자 한다.

2. 실    험

2.1 콘크리트 및 SFRC의 역학적특성

유한요소해석에 적용할 콘크리트 및 SFRC의 재료모델을 위하여, 압축 및 휨 시험을 실시하였다. 설계기준 압축강도 30MPa급 콘크리트 복합체를 계획하였으며, 강섬유의 체적비는 0, 0.5, 1.0, 1.5, 2.0%로 설정하였다. 여기서 사용된 체적비는 복합체의 부피비에 따라 결정되었다. 사용된 콘크리트의 배합은 Table 1에 나타내었으며, SFRC의 경우 콘크리트 배합 이후 강섬유를 추가적으로 혼입하였다. 강섬유는 Table 2에 나타낸 바와 같이 국내 K사의 인장강도 1,100MPa, 형상비 60의 양단 후크형 강섬유를 사용하였다.

/Resources/kci/JKCI.2016.28.2.141/images/Figure_CONCRETE_28_2_02_F1.jpg

Fig. 1 Mechanical properties of SFRC

Table 1 Mix proportions of concrete

/Resources/kci/JKCI.2016.28.2.141/images/PIC4106.gif(1)

(MPa)

W/C(2)

(%)

Unit weight(kg/m3)

Water

Cement

Sand

Coarse

aggregate

30

55

205

373

756

924

(1)Specified compressive strength

(2)Water-cement ratio

Fig. 1(a)는 콘크리트 및 SFRC의 압축시험 결과를 나타낸 것으로, KS F 240514)에 준하여 /Resources/kci/JKCI.2016.28.2.141/images/PIC3588.gif100×200mm의 원주형 공시체를 사용하여 시험을 실시하였다. 시험은 2,000kN 용량의 만능재료시험기를 사용하여 0.01mm/s의 속도로 변위제어 방식으로 실시하였다. 휨 성능 평가를 위하여 KS F 240815)에 준하여 100×100×400mm의 각주형 공시체를 제작하였으며, 200kN 용량의 만능재료시험기를 이용하여 4점 가력방식으로 실험을 실시하였다. Fig. 1(b)는 콘크리트 및 SFRC의 휨 성능평가 결과를 나타낸 것이다. 역학적 특성평가를 결과를 Table 3에 정리하여 나타내었으며, 1% 이상의 섬유를 혼입함에 따라 압축강도가 감소하는 양상을 나타내었다. 휨 거동의 경우 섬유의 체적비가 증가함에 따라 파괴계수 및 인성이 증가하는 특성을 나타내었으며, 체적비 2%의 섬유를 혼입한 경우 1.5%와 유사한 경향을 나타내었다. 이는 높은 섬유혼입률에서 발생되는 섬유뭉침 현상 때문으로 사료되며, 역학적 특성에서의 효율적인 체적비는 1.5%로 판단된다.

Table 3 Material properties of SFRC

Material test

Material properties

Fiber volume fraction, /Resources/kci/JKCI.2016.28.2.141/images/PIC41F3.gif

0.0%

0.5%

1.0%

1.5%

2.0%

Compression test

Density, /Resources/kci/JKCI.2016.28.2.141/images/PIC4251.gif (kg/m3)

2,360

2,360

2,360

2,350

2,470

Compressive strength, /Resources/kci/JKCI.2016.28.2.141/images/PIC42C0.gif (MPa)

40.55

41.43

33.59

35.39

33.78

Elastic modulus, E (MPa)

20,500

18.831

18,194

17,416

16,899

Poisson’s ratio, /Resources/kci/JKCI.2016.28.2.141/images/PIC434D.gif

0.17

0.17

0.18

0.19

0.19

Yielding stress, /Resources/kci/JKCI.2016.28.2.141/images/PIC43BC.gif (MPa)

32.8

36.22

28.72

30.59

28.60

Flexural test

Tensile strength, /Resources/kci/JKCI.2016.28.2.141/images/PIC441B.gif (MPa)

2.8

3.5

4.6

5.0

5.8

2.2 SFRC 패널의 내충격 특성 평가방법

SFRC 패널의 내충격 특성을 평가하기 위하여 Table 4와 같이 실험을 계획하였다. 구형 비상체에 의한 충격실험을 실하였으며, 실험은 Fig. 2와 같이 질소가스 압력식 충격장치를 사용하여 실시하였다. 비상체는 직경 20mm, 무게 2.88g의 구형 강체를 사용하였으며, 충격속도는 300m/s범위에서 실험을 실시하였다. 패널 실험체는 챔버(Chamber)내에 고정된 철물을 사용하여 4면 구속된 상태로 실험을 진행하였다. 실험은 강섬유 체적비에 따라 각각 2회 실시하였다. 콘크리트 및 강섬유보강 콘크리트 패널의 내충격성능을 평가하기 위하여 중량손실률, 관입깊이, 전면 및 배면의 면적손실률을 평가하였다.

Table 4 Summaries of specimens

Thickness (mm)

Vf(1) (%)

Width×

Height

(mm)

Velocity

(m/s)

Number (EA)

30

0

200×200

300m/s

2

0.5

2

1.0

1

1.5

2

2.0

2

50

0

1

1.0

2

1.5

2

2.0

2

(1)Vf: steel fiber volume fraction

/Resources/kci/JKCI.2016.28.2.141/images/Figure_CONCRETE_28_2_02_F2.jpg

Fig. 2 Test set-up for impact loading

3. 유한요소해석

3.1 사용한 재료 모델

RHT, HJC, TCK 등의 재료모델들은 많은 변수를 요구하며, 변수를 얻기 위해서는 복잡한 시험을 수행해야 했다. 본 연구에 사용된 재료모델은 많은 변수를 필요로 하지 않으며, 단순 시험을 통해 압축하중 내에서의 SFRC의 역학적 특성을 쉽게 모사할 수 있다. Ezeldin13)은 콘크리트 배합비와 섬유의 제원을 통해 실험적 결과를 근거로 하여 압축시험으로 측정된 물성치로 SFRC의 압축거동을 표현한 콘크리트의 재료모델을 제시하였다. 해당 강섬유 체적비에서의 최대 압축응력과 압축응력-변형 관계에서의 압축응력의 비로 표현이 되며 식 (1)과 같다.13)

/Resources/kci/JKCI.2016.28.2.141/images/PIC373F.gif (1)

여기서 /Resources/kci/JKCI.2016.28.2.141/images/PIC374F.gif는 강섬유보강 콘크리트의 압축강도이고 /Resources/kci/JKCI.2016.28.2.141/images/PIC376F.gif는 해당 압축강도에서의 변형률이다. /Resources/kci/JKCI.2016.28.2.141/images/PIC379F.gif는 압축응력 및 변형이다. 그리고 /Resources/kci/JKCI.2016.28.2.141/images/PIC37C0.gif는 재료 변수이고, /Resources/kci/JKCI.2016.28.2.141/images/PIC37D0.gif (reinforcing index)의 함수로 구성되고 식 (2), (3)과 같다.11)

/Resources/kci/JKCI.2016.28.2.141/images/PIC381F.gif (2)

/Resources/kci/JKCI.2016.28.2.141/images/PIC385F.gif (3)

여기서 /Resources/kci/JKCI.2016.28.2.141/images/PIC387F.gif는 강섬유의 중량비율로 대략적으로 부피비율에서 3배를 곱한 것으로 계산한다. /Resources/kci/JKCI.2016.28.2.141/images/PIC38AF.gif은 강섬유의 형상비이다.

사용된 강섬유의 형상비는 Table 2에서 나타낸 제원에 근거하여 사용하였으며, 강섬유 체적비에 따른 부피비율과 중량비율을 통해 /Resources/kci/JKCI.2016.28.2.141/images/PIC38C0.gif인자로 구성된 /Resources/kci/JKCI.2016.28.2.141/images/PIC38C1.gif를 도출하여 Table 5에 나타내었다. Table 3에서의 압축강도 /Resources/kci/JKCI.2016.28.2.141/images/PIC38D1.gif와 해당 압축강도에서의 변형 /Resources/kci/JKCI.2016.28.2.141/images/PIC38E2.gif 그리고 Ezeldin이 제시한 모델을 적용하면, 강섬유보강 콘크리트의 압축강도-변형 관계는 식 (1), (2)와 (3)을 통해 얻을 수 있으며, Ezeldin 모델과 실험결과를 비교한 그래프는 Fig. 3과 같다. 제안된 모델을 유한요소해석 프로그램에 사용하기 위하여 응력-변형률 곡선의 강성이 변화하는 6 구간으로 구분하여 적용하였다.

Table 5 Parameters of SFRC for Ezeldin model

Fiber volume fraction, /Resources/kci/JKCI.2016.28.2.141/images/PIC4479.gif

0.5 %

1.0 %

1.5 %

2.0 %

Fiber aspect ratio,  /Resources/kci/JKCI.2016.28.2.141/images/PIC44B9.gif

60

Fiber volume fraction, /Resources/kci/JKCI.2016.28.2.141/images/PIC4508.gif

0.005

0.01

0.015

0.02

Fiber weight fraction, /Resources/kci/JKCI.2016.28.2.141/images/PIC4567.gif

0.015

0.03

0.045

0.06

/Resources/kci/JKCI.2016.28.2.141/images/PIC45A6.gif

1.979

1.851

1.791

1.702

Table 2 Mechanical properties of steel fiber

Type

Specific

gravity

Diameter

(mm)

Length

(mm)

Aspect ratio

/Resources/kci/JKCI.2016.28.2.141/images/PIC4194.gif

Tensile

strength

(MPa)

Elastic

modulus

(GPa)

Hooked

7.85

0.5

30

60

1,100

205

Fig. 1의 (b)에서 강섬유 체적비에 따라 최대압축응력은 차이가 보였지만 각 체적비에서의 압축강도로 무차원하여, Fig. 3과 같이 강섬유 체적비에 따라 에너지 흡수율이 증가하는 것을 확인하였다. 최대 하중이 걸린 이후로 강섬유 체적비에 따라 다소 차이는 발생하였지만 경향은 유사하였다. 그러나 Ezeldin은 압축거동에 대한 재료식만 제시하였으므로, 인장거동에 대해서는 콘크리트 및 SFRC에서의 유사변형연화와 유사변형경화 특성에 따라 Montaignac16)이 제시한 모델을 적용하였고, Fig. 4와 같은 그래프를 사용하였다.

/Resources/kci/JKCI.2016.28.2.141/images/Figure_CONCRETE_28_2_02_F3.jpg

Fig. 3 Normalized compressive stress-strain  curves for various /Resources/kci/JKCI.2016.28.2.141/images/PIC38E3.gif

/Resources/kci/JKCI.2016.28.2.141/images/Figure_CONCRETE_28_2_02_F4.jpg

Fig. 4 Tensile stress-strain curves

3.2 충격해석모델

충돌해석은 상용 프로그램인 ABAQUS/Explicit을 사용하여 해석을 수행하였다. 비상체는 강체이고 지름은 20mm 인 구 형상이며 초기 관통 속도는 300m/s이다. 해석에서 사용한 SFRC 패널의 전체 너비는 200×200mm이고, 두께는 30mm, 50mm를 사용하였다. 기존의 연구와 동일하게 판을 구성하는 재료인 SFRC가 균일하다고 가정하였으며 강섬유의 형상은 고려되지 않았다. 충돌 거동에서 단면형상을 살펴보기 위해 비상체와 판에 대해 1/4 모델이 각각 적용하였다. 판을 구성하는 요소는 8절점 육면체요소로, 요소의 크기는 1mm이며 정육면체의 형태로 각 꼭지점에서 해당하는 절점으로 구성되어 있다. 사용된 요소 수는 두께에 따라 각각 300,000개와 500,000개이다.

Fig. 5(a)는 해석에 사용된 비상체와 패널의 유한요소모델이며, (b)는 배면의 고정경계조건을 붉은선으로 나타내었다. 다른 두 경계면은 패널의 연속성이 유지될 수 있도록 각 방향에 대한 경계조건을 설정하였다.

/Resources/kci/JKCI.2016.28.2.141/images/Figure_CONCRETE_28_2_02_F5.jpg

Fig. 5 FEM model

4. 결과 및 고찰

4.1 유한요소해석 결과

해석 수행 후, 중심점과 파단이 발생한 부분에 대해 파단 반경을 측정하였다.

실험의 경우 충돌 후 SFRC 판에 생성되는 면적이 불규칙적이므로 이를 CAD프로그램을 사용하여 평균파단반경으로 환산하였다. 또한, 고속 비상체에 의해 받는 하중이 SFRC의 최대압축응력보다 큰 요소들은 파편으로 취급하여 삭제하였다.

Fig. 6은 강섬유 체적비 1.0%, 두께 30mm인 판에서 시간에 따른 판의 변형형상과 응력분포를 정면과 배면에서 본 결과이다. 응력분포는 충돌 후 시간에 따라 충돌 지점에서부터 퍼지는 형태로 나타났으며, Matin17)의 연구에서 비상체가 콘크리트 판에 충돌하여 나타나는 응력분포와 유사하였다.

Fig. 7은 SFRC 판의 정면과 배면에서 본 파괴양상을 대표적으로 나타낸 것으로, 1/4해석결과를 대칭하여 실험결과와 비교하였다. Fig. 7(a)은 두께 30mm, 강섬유 체적비 1.0%의 해석결과 이며, Fig. 7(b)는 두께 50mm 강섬유 체적비 2.0%의 해석결과이다. 해석결과와 달리 실험은 대칭으로 파단이 일어나지는 않았지만 전체적인 형상이 서로 유사한 경향을 나타내었다. 두께와 혼입률이 증가함에 따른 최대응력의 변화는 미소한 것으로 나타났으며, 변형은 증가하는 것으로 나타났다. 이는 두께가 증가함에 따른 관통시간 증가와 밀접한 관련이 있는 것으로 사료되며, 비상체의 관통 시 더 많은 에너지를 흡수하기 때문으로 판단된다.

/Resources/kci/JKCI.2016.28.2.141/images/Figure_CONCRETE_28_2_02_F6.jpg

Fig. 6 Von Mises stress distribution on front, rear face of SFRC panels at variation of time for the impact of spherical projectile with initial velocity of 300m/s (t=30mm, SFRC=1.0%)

/Resources/kci/JKCI.2016.28.2.141/images/Figure_CONCRETE_28_2_02_F7.jpg

Fig. 7 Results of impact analysis on SFRC panel

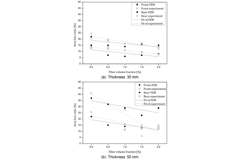
4.2 면적손실률

Fig. 8은 여러 강섬유 체적비에 대한 면적 손실률을 비교하여 나타낸 것이다 면적손실률은 실험체 본 면적 /Resources/kci/JKCI.2016.28.2.141/images/PIC3903.gif과 실험체 파괴부분면적 /Resources/kci/JKCI.2016.28.2.141/images/PIC3914.gif의 비이며, /Resources/kci/JKCI.2016.28.2.141/images/PIC3924.gif로 나타내었다. Fig. 8(a)은 두께가 30mm 패널의 강섬유 체적비에 따른 면적손실률의 변화를 나타낸 것으로 강섬유 체적비가 증가함에 따라 영향이 미소하지만, 전체적으로 감소하는 경향을 나타내었으며 해석결과에서도 실험결과와 동일한 경향을 보였다. Fig. 8(b)의 두께 50mm인 경우 강섬유 체적비가 1.0%를 초과할 때 다소 차이를 보였지만 해석결과는 실험과 경향이 유사하게 나타났다.

해석결과와 실험결과에서 정면과 배면 모두 강섬유 체적비가 증가할수록 면적 손실률이 감소하는 경향을 나타내었다. 두께가 증가하였을 경우 해석결과와 실험결과의 차이는 발생하였으나, 감소하는 경향은 동일하게 나타났다. 특히, 일반 콘크리트에 비해 SFRC를 혼입함으로써 면적 손실률이 감소되는 효과를 나타내었다.

/Resources/kci/JKCI.2016.28.2.141/images/Figure_CONCRETE_28_2_02_F8.jpg

Fig. 8 Area loss ratio of various /Resources/kci/JKCI.2016.28.2.141/images/PIC3935.gif

4.3 중량손실률

Fig. 9는 각 강섬유 체적비에 따른 중량 손실률을 비교하여 나타낸 것이다. 중량 손실률은 파괴 전 후 실험체 무게차이 /Resources/kci/JKCI.2016.28.2.141/images/PIC3936.gif와 파괴전 실험체 무게 /Resources/kci/JKCI.2016.28.2.141/images/PIC3947.gif의 비이며, /Resources/kci/JKCI.2016.28.2.141/images/PIC3967.gif로 나타내었다. 해석결과는 실험과 마찬가지로 강섬유 체적비가 증가할수록 중량 손실률이 감소하는 것을 알 수 있었다. 강섬유의 혼입함으로써 일반콘크리트에 비해 면적과 중량손실에 현저히 적어지며, 강섬유의 체적비의 영향은 비교적 크지 않은 것으로 나타났다. 패널 두께 30mm의 실험체의 경우 Fig. 9(a)에 나타난 바와 같이 강섬유 체적비에 따른 중량손실율을 해석결과와 실험결과가 비교적 유사한 경향을 나타내었다. 반면 두께 50mm 실험체의 경우 Fig. 9(b)에 나타난 바와 같이 1.5% 이상의 실험체에서 해석결과와 실험결과가 상이한 특성을 나타내었다. 이는 실제 실험에서는 관통이 발생하지 않는 반면, 해석결과에서는 실험체의 관통이 발생하기 때문으로 판단된다. 따라서 추후 동일한 파괴양상을 묘사할 수 있는 추가적인 해석기법의 연구가 요구된다.

/Resources/kci/JKCI.2016.28.2.141/images/Figure_CONCRETE_28_2_02_F9.jpg

Fig. 9 Weight loss ratio of various /Resources/kci/JKCI.2016.28.2.141/images/PIC3968.gif

4.4 관입깊이 및 파괴양상

관입의 형태를 관찰하기 위하여 Fig. 10과 같이 정면과 배면에서 최소직경까지의 관입 깊이를 측정하였다. 여기서 /Resources/kci/JKCI.2016.28.2.141/images/PIC3978.gif/Resources/kci/JKCI.2016.28.2.141/images/PIC3989.gif은 각각 전면과 배면으로부터의 관입깊이를 나타낸다. 패널 두께와 강섬유 체적비에 따른 관입깊이를 Fig. 11에 나타내었다. Fig. 11(a)는 두께가 30mm일 때의 전면 및 배면에서의 관입깊이로, 실험과 해석 모두 관통파괴가 발생하였다. 일반콘크리트는 전면과 배면 깊이가 비슷하나 강섬유의 혼입은 전면보다는 배면에서의 파단 깊이가 커짐을 알 수 있다. 특히, 강섬유 체적비 1.0%까지 전면부의 관입깊이가 해석결과와 실험결과 모두 감소하는 경향을 나타내었다. 체적비 1.5%를 이상에서는, 해석의 경우 전면 관입깊이가 증가하였지만, 실험의 경우에는 일정한 경향을 보이지 않았다. Fig. 11의 (b)에서 일반 콘크리트일 때의 경우에는 해석과 실험이 유사한 결과를 보이나, 강섬유가 혼입된 경우 해석결과에서는 관통파괴가 일어나지만 실험결과에서는 관통이 일어나지 않았다. 이는 판 두께가 두껍고, 체적비가 큰 경우에는 비상체에 저항하는 방향의 겹쳐진 섬유에 따른 추가고려를 재료모델만으로 해석상 구연하기 어렵기 때문으로 판단된다.

/Resources/kci/JKCI.2016.28.2.141/images/Figure_CONCRETE_28_2_02_F10.jpg

Fig. 10 Fracture shape of penetration depth

/Resources/kci/JKCI.2016.28.2.141/images/Figure_CONCRETE_28_2_02_F11.jpg

5. 결    론

콘크리트는 압축강도가 높고, 경제성 및 내구성 등이 매우 우수한 성능을 가지고 있지만, 인장강도 및 휨강도가 낮고 취성을 가지고 있다. 이러한 콘크리트의 성능을 향상시키기 위해 섬유보강 콘크리트에 대한 연구가 진행되었다. 그 중 강섬유를 이용한 강섬유보강 콘크리트(SFRC)패널에 대한 충돌거동을 검토하기 위해 해석을 수행하였다. 강섬유보강 콘크리트의 거동을 표현하기 위해 Ezeldin이 제시한 재료모델을 이용하였으며, 물성치 시험을 통해 해당 식에 사용되는 재료상수를 구하였다. 그리고 유한요소해석을 수행하여 강섬유 체적비와 SFRC 패널 두께의 영향을 검토하였다. 본 연구를 통하여 얻어진 결론은 다음과 같다.

1)본 연구에서는 압축시험으로 얻은 압축응력-변형률 곡선를 Ezeldin 모델에 적용하여 시험결과와 유사한 재료모델은 제안하였으며, 휨 인장 시험결과에 근거한 인장모델을 제안하였다.

2)일반콘크리트 대비 강섬유를 혼입한 SFRC의 경우 파단영역을 감소시키는 효과가 있어 방호 성능에 유리할 것으로 판단된다.

3)강섬유 체적비가 증가할수록 충돌 후의 SFRC판에 생성되는 면적손실률과 중량손실률이 감소되는 경향이 있으며 해석결과는 실험결과는 유사한 경향을 나타나었다. 관입깊이와 파괴양상은 강섬유 체적비보다 두께의 영향을 크게 받는 것으로 나타났다.

4)체적비 1.5% 및 2.0%의 SFRC 패널의 면적손실률, 중량손실률, 관입깊이 등을 평가한 결과 체적비 1.5% 대비 2.0%의 내충격성능 향상은 미소한 것으로 판단된다. 따라서 내충격성능 향상을 위한 효율적인 체적비는 1.5%로 판단된다.

5)두께 50mm 패널에 1.5% 이상의 섬유가 혼입될 경우 동일한 파괴양상 묘사를 위한 추가적인 연구가 필요할 것으로 사료된다. 아울러 DIF 등 급격한 변형에 의한 변화의 해석적 묘사를 위한 추가 실험 및 해석기법의 제안이 필요할 것으로 판단된다.

Acknowledgements

본연구는 2014년도 한국연구재단의 한-일 협력사업(NRF- 2014K2A2A4001650)의 지원을 받아 수행되었으며, ABAQUS 해석을 위한 (주)코메스 코퍼레이션 이영오 연구원의 지원과 협력에 감사드립니다.

References

1 
1.Zollo, R. F., “Fiber-reinforced concrete: an overview after 30 years of development”, Cement and Concrete Composites, Vol.19, 1997, pp.107-122.DOI
2 
2.Yazıcı, S., Inan, G., and Tabak, V., “Effect of aspect ratio and volume fraction of steel fiber on the mechanical properties of SFRC”, Construction and Building Materials, Vol.21, No.6, 2007, pp.1250-1254.DOI
3 
3.Ahn, K. L., Jang, S. J., Yun, Y. J., and Yun, H. D., “Effect of Fiber volume fraction on compressive and flexural properties of high strength steel fiber reinforeced concrete”, Applied Mechanics and Materials, Vol.597, 2014, pp.296-299.DOI
4 
4.Kim, H. M., Yap, K. K. Q., Alengaram, U. J., and Jumaat, M. Z., “The effect of steel fibres on the enhancement of flexural and compressive toughness and fracture characteristics of oil palm shell concrete”, Construction and Building Materials, Vol.55, No.31, 2014, pp.20-28Google Search
5 
5.Murthy, A. R. C., Palani, G. S., and Iver, N. R., “Impact analysis of concrete structural components”, Defence Science Journal, Vol.60, No.3, 2010, pp.307-319.DOI
6 
6.Vossoughi, F., Ostertag, C. P., Monteiro, P. J. M., and Johnson, G. C., “Resistance of concrete protected by fabric to projectile impact”, Cement and Concrete Research, Vol.37, No.1, 2007, pp.96-106.DOI
7 
7.Jang, S. J., Son, S. K., Kim, Y. H., Kim, G. Y., and Yun, H. D., “Face damage characteristic of steel fiber-reinforced concrete panels under high-velocity globular projectile impact”, Journal of the Korea Concrete Institute, Vol.27, No.4. 2015, pp.411-418.DOI
8 
8.Kim, S. H., Hong, S. G., Yun, H. D., Kim, G. Y., and Kang, H. K., “High-velocity impact experiment on impact resistance of steel fiber-reinforced concrete panels with wire mesh”, Journal of the Korea Concrete Institute, Vol.27, No.2. 2015, pp.103-113.DOI
9 
9.Murthy, A. R. C., Palani, G. S., and Iver, N. R., “Impact analysis of concrete structural components”, Defence Science Journal, Vol.60, No.3, 2010, pp.307-319.DOI
10 
10.Brannon, R. M., and Leelavanichkul, S., “Survey of four damage models for concrete”, Sandia National Laboratories, Vol.32, No.1, 2009, pp.1-80.Google Search
11 
11.Ross, C. A., Thompson, P. Y., and Tedesco, J. W., “Split- hopkinson pressure-bar tests on concrete and mortar in tension and compression”, ACI Materials Journal, Vol.86, No.5, 1989, pp.475-481.Google Search
12 
12.Ross, C. A., Jerome, D. M., Tedesco, J. W., and Hughes, M. L., “Moisture and strain rate effects on concrete strength”, Vol.93, No.3, 1996, pp.293-300.Google Search
13 
13.Ezeldin, A. S., and Balaguru, P. N., “Normal and high strength fiber reinforced concrete under compression”, Journal of Materials in Civil Engineering, Vol.4, No.4, 1992, pp.415-429.DOI
14 
14.Korea Standards Association, “KS F 2405. Standard Test Method for Compressive Strength of Concrete”, 2010.Google Search
15 
15.Korea Standards Association, “KS F 2408. Method of Test for Flexural Strength of Concrete”, 2000.Google Search
16 
16.Montaignac, R., Massicotte, B., Charron, J., and Nour, A., “Design of SFRC structural elements: post-cracking tensile strength measurement”, Materials and Structures, Vol.45, 2012, pp.609-622.DOI
17 
17. Martin, O., “Comparison of different constitutive models for concrete in ABAQUS/Explicit for missile impact analyses”, JRC Scientific and Technical Report, 2010, pp.1-3.Google Search