Mobile QR Code QR CODE
Export citation EndNote




MgO, 세라믹 바인더, M-S-H gel, 산업부산물
MgO, ceramic binder, M-S-H gel, industrial by-products

  • 1. 서 론

  • 2. 실험재료 및 계획

  •   2.1 실험계획

  •   2.2 사용재료

  •   2.3 배합 및 양생

  •   2.4 실험방법

  • 3. 실험 결과 및 분석

  •   3.1 압축강도 실험 결과

  •   3.2 휨강도 실험

  •   3.3 용출 실험

  •   3.4 동결융해저항성 실험

  •   3.5 XRD 분석 결과

  •   3.6 SEM 분석 결과

  • 4. 결 론

1. 서    론

포틀랜드 시멘트 모르타르는 수경성 재료이기 때문에 양생과정에서 습윤 환경을 충분히 제공해 주지 않으면 박리박락, 동결융해 피해 및 백화 현상 등 내구성 저하와 관련된 많은 문제들을 야기한다. 시멘트는 주성분인 CaO의 수화반응을 통해 C-S-H gel, Ca(OH)2 등의 수화물을 생성해 낸다. 최근 환경문제 때문에 고로슬래그, 에코시멘트 등 많은 시멘트 대체 연구가 활발히 진행되고 있지만, 모두 칼슘의 수화 반응에 기초하고 있기 때문에 백화현상, 내구성 저하 등의 문제는 해결하지 못하고 있다.

이 연구에서는 칼슘 대신 같은 2족 원소인 마그네슘(Mg)을 기반으로 한 시멘트와 다양한 산업 부산물들을 적용해 기경성 재료인 MgO 모르타르의 물리적 강도 및 내구성을 평가하여 시멘트 산업에서 칼슘의 대체 성분으로 마그네슘의 적용가능성에 대해 평가를 목적으로 한다.

산화마그네슘(MgO)은 저온 소성 할수록 반응성이 커지는데 MgO의 종류로는 800~1000℃의 저온에서 소성한 경소(light-burned magnesia, 硬燒) MgO와 1200~1400℃에서 소성하는 사소(dead burning , 死燒) MgO로 구분된다. 반응성 MgO는 팽창제로서 콘크리트에 소량(3~5%) 첨가되는 정도로 연구된 바 있으나, 반응성 MgO 자체의 결합성은 검증된 바 없으므로,1) 이번 연구에서는 급결 보수재료로 연구된 바 있는 사소 MgO를 사용한 CBPC 바인더(Chemically-bonded phosphate ceramic binder)를 사용하여 마그네슘의 수화물 및 물리적 특성을 연구하여, 마그네슘기반 모르타르의 시멘트 대체 성능 가능성에 대하여 평가한다.

CBPC 바인더는 마그네슘과 아인산칼륨(KH2PO4)의 급격한 산-염기반응(acid-base reaction)을 이용한 초속경 재료로서, 비교적 반응성이 적은 800~1200℃의 고온 소성한 MgO 및 붕산(H3BO3) 등을 사용하여 응결시간을 증가시키고, 발열성을 낮춰주어 시공성까지 겸비한 보수재료이다.2,3)

이 연구에서는 화학적 성분이 다른 6가지 산업부산물들을 각각 일정배율로 시편에 첨가하여 SEM, XRD분석을 통해 수화물 생성을 확인하였으며, MgO 기반 모르타르에 영향을 끼치는 성분은 어떤 것인지 도출해내고자 한다.

2. 실험재료 및 계획

2.1 실험계획

이 연구는 3 가지 방향에서 MgO 기반 모르타르의 재료특성을 파악하기 위하여 실험계획을 수립한다.

첫째, 압축강도와 휨강도 실험을 통해 모르타르의 단기 및 장기강도에 긍정적 영향을 주는 충전재의 종류가 무엇인지 확인한다.

둘째, 용출실험, 동결융해저항성 실험을 통해 MgO 기반 모르타르가 기존 시멘트 모르타르의 한계인 백화현상이나 동해 피해에 대한 충분한 내구성을 가질 수 있는지 평가한다.

셋째, 충전재 별 화학적 성분에 따른 MgO 기반 모르타르의 수화생성물에 대한 분석을 실시한다.

2.2 사용재료

시편의 주재료는 국내 R사에서 수입한 최대 입경 60μm의 CBPC 바인더를 사용하였다. 잔골재로는 입경 1.18~0.6mm, 비중이 2.75이고 단위용적중량이 1890kg/m3인 5호 규사를 사용하였다. MgO 기반 모르타르의 충전재로는 천연광물에서 추출한 황토(HT), 플라이애쉬(FA), 규회석(WS), 고로슬래그(BFS), 샤모트(CH), 실리카퓸(SF) 등의 산업부산물들을 사용하였다. MgO 모르타르와 시멘트의 물리적 성질과의 비교를 위해 실험의 대조군으로 H사의 1종 보통 포틀랜드 시멘트를(OPC) 사용하였고, 사용된 모든 재료의 화학적 조성 및 물리적 특성을 Table 1에 나타내었다.

Table 1 Chemical composition of binders

SiO2

(%)

Al2O3

(%)

CaO

(%)

MgO

(%)

SO3

(%)

P2O5

(%)

K2O

(%)

CBPC

18.12

7.39

7.16

47.20

0.19

2.61

2.17

OPC

20.90

5.73

62.61

3.02

2.07

-

1.12

HT

61.34

20.40

0.15

0.59

-

0.06

2.43

FA

57.0

25.6

4.4

1.3

0.3

-

1.3

WS

49

0.80

45

1.0

-

-

-

BFS

36

14

42.2

8.0

4.0

-

-

CH

52.21

41.10

1.48

0.54

-

0.03

0.36

SF

93

0.40

0.60

0.60

0.40

-

1.2

2.3 배합 및 양생

시편의 W/B(물-결합재비)는 예비실험을 통해 시공성을 반영한 flow값 170±10mm을 기준으로 정하였으며, 그 과정은 Fig. 1에 나타내었다. 시편 번호 및 표기형식과 배합에 사용된 비율은 Table 2에 나타내었다. 모르타르의 혼합은 잔골재, CBPC 바인더, 충전재를 투입하여 모르타르용 혼합기에서 저속으로 30초 동안 건비빔한 후 혼합수를 넣고 저속으로 30초, 고속으로 30초간 혼합한다. 30초간 혼합기의 작동을 멈추고 용기의 바닥과 벽에 부착된 모든 모르타르를 떼어내어 용기의 중간으로 모은 뒤 30초 동안 고속으로 재비빔한다. 혼합 후 시험편은 성형 1일 후 탈형하여 나머지 양생기간 동안은 온도 20±2℃, 상대습도 65±10%의 항온항습기 안에서 양생하였다.

/Resources/kci/JKCI.2013.25.5.565/images/PICDDD3.jpg

/Resources/kci/JKCI.2013.25.5.565/images/PICDDE3.jpg

/Resources/kci/JKCI.2013.25.5.565/images/PICDDF4.jpg

(c)Flow table

/Resources/kci/JKCI.2013.25.5.565/images/PICDDF5.jpg

(a)Measuretheingredients

(b)Mixing

(d)Measure a flow

Fig. 1 Process of preliminary experiment

Table 2 Composition of blends

Binder

 materials (g)

Aggregate

(g)

Fillers (g)

W/B

(%)

flow

(mm)

OPC

CBPC

OPC

100

200

15

170

CBPC

+HT

-

100

186

HT

82

22

172

CBPC

+FA

FA

82

19

174

CBPC

+WS

WS

82

24

163

CBPC

+BFS

BFS

82

18

173

CBPC

+CH

CH

82

18

170

CBPC

+SF0.1

SF0.1

10

16

164

CBPC

+SF0.2

SF0.2

20

18

168

2.4 실험방법

2.4.1 압축강도 실험

압축강도 측정은 KS L 5101(한국산업표준 : 시멘트 모르타르의 압축강도 시험방법) 측정법에 의거하여, 시편은 변수별로 50×50×50mm 크기 시험체 3개씩을 각각 7, 14, 28, 56일 재령 후 측정하였다.

2.4.2 휨강도 실험

시편은 KS F 4042(한국산업표준 : 콘크리트 구조물 보수용 폴리머 시멘트 모르타르)에 따라 40×40×160mm 공시체 3개를 양생 28일에 측정하였다.

휨강도 시험은 지간의 거리를 100mm로 하고 공시체의 중앙을 매초 (50±10)N의 하중 속도로 재하하여 최대하중을 구한다. 휨강도는 공시체 3개의 평균값으로 결정한다.

2.4.3 용출실험

장기간 수분(H2O)에 노출되었을 때 용출되는 이온을 알아보기 위해 이온크로마토그래피(ICS-3000/Dionex)분석을 실시하여 양이온과 음이온을 측정한다. 재료의 화학적 조성 성분 종류에 따라 빗물에 노출되어 용출되어 나오는 이온이 2차 오염물질을 발생시킬 가능성이 있는 지를 확인하는 것을 목적으로 한다.

이번 실험에서는 동일 부피의 시료에서 용출되는 이온농도 측정을 위해 28일 양생한 시편을 40×40×15mm로 제단하여 증류수로 세정하고, 세정한 시편 9조각을 증류수 500ml에 각각 14일, 28일, 56일 동안 침지시켰다(Fig. 2 .

/Resources/kci/JKCI.2013.25.5.565/images/PICDE44.jpg

/Resources/kci/JKCI.2013.25.5.565/images/PICDE55.jpg

(a) Specimens for Elution test

(b) After immersion

Fig. 2 Elution test

)

각 측정시간에 해당하는 시점에서 얻어진 수용액를 스포이드로 추출하여 20ml 용기에 저온 보관 후 이온크로마토그래피로 음이온 Cl-, NO3-, PO4-, SO4-, 양이온 Li+ Na+ K+ Mg+ Ca+ 등을 검출하였다(Fig. 2).

2.4.4 동결융해저항성 실험

동결융해저항성 실험은 KS F 2456 B방법(한국표준협회 : 기중 급속 동결 후 수중 융해 시험 방법)에 의거하여 동결 단계 시 공기 중, 융해 단계 시 수중에 놓이도록 배치하였다. 28일 양생한 시편을 온도분포오차 기중 ±0.5℃이하, 수중±1℃이하의 급속 동결융해기에 넣고, 동결융해 1사이클의 소요시간은 3시간, 시험체의 온도는 동결 시 -18℃, 융해 시 4℃로 관리하였다. 시간 경과 후 동탄성계수의 변화를 관찰하기 위하여 100cycle 마다 꺼내어 상대 동탄성계수를 측정하였다. 최종 동결융해 300사이클에 동결융해 시험기에서 시험체를 꺼내어 외관변화 및 동탄성계수를 측정하였다.

2.4.5 XRD 분석

충전재 별 모르타르 수화물의 결정상을 분석하여 구성 화학결합구조를 연구하기 위해 고분해능 X-선 회절분석기(HR-XRD/Bruker D8 DISCOVER(Germany))를 사용하였다. XRD는 X선 회절을 이용해 단결정이나 단결정상에 제작된 박막의 구조 분석을 하는데 이용된다. 70일간 양생한 시편을 가루로 분쇄하여 200μm입도의 체에 걸러내어 CuKα의 조건 하에 10°~60°의 범위로 측정하였다.

2.4.6 SEM 분석

주사형 전자현미경(scanning electron microscope)은 가느다란 전자빔을 시료 표면에 주사시켜 입체감 있는 시료의 표면상을 얻기 위한 장치로 시료의 구성 원소 및 조직의 치밀성 등을 평가할 수 있다. 현미경 장치는 FE- SEM((AURIGA)/Carl Zeiss/Germany)를 사용하였으며 ×200, ×300, ×10000, ×20000의 비율로 관찰하였다. SEM 분석용 시료는 56일 압축강도 측정 후의 파면을 사용하였으며, 관찰이 용이하도록 관찰 표면의 치수는 15×15mm 이하로 하고 높이는 가능한 작게 하여 전체 체적을 작게 하였다(Fig. 3).

/Resources/kci/JKCI.2013.25.5.565/images/PICDE65.jpg

/Resources/kci/JKCI.2013.25.5.565/images/PICDE76.jpg

(a) Specimens for SEM

(b) Preconditioning process

/Resources/kci/JKCI.2013.25.5.565/images/PICDE87.jpg

/Resources/kci/JKCI.2013.25.5.565/images/PICDE97.jpg

(c) Adjust the lens into focus

(d) Image of SEM

Fig. 3 Analysis by SEM

3. 실험 결과 및 분석

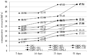
3.1 압축강도 실험 결과

압축강도는 변수별로 각각 7, 14, 28, 56일 재령 한 시편을 3번씩 실험하여 평균값을 내어 평가하였다. 측정한 압축강도의 결과 값을 Fig. 4에 나타내었다. 28일 강도를 기준으로 KS F 4042(한국산업표준: 폴리머 시멘트 모르타르 품질기준) 압축강도 품질 기준 20MPa을 만족하는 시편은 6가지로, 강도가 높은 순서대로 OPC, CBPC+ SF0.1, CBPC+CH, CBPC+BFS, CBPC+FA, CBPC+SF0.2로 나타났다. 특히 시멘트를 제외하고 가장 우수한 강도를 가지는 CBPC+SF0.1은 7일 강도에서 시멘트의 82%, 14일강도 87%, 28일에서 75%, 56일에서 100.1%에 준하는 강도를 내었다. 또한, CBPC+SF0.1 시편과 CBPC+ SF0.2 시편이  28일까지는 다른 시편들보다 완만하게 증가하다가, 56일에 강도가 상승 하는 모습을 보였다.

3.2 휨강도 실험

28일 양생 후 휨강도 실험을 실시한 각 변수별 시편 3개의 평균값을 Fig. 5에 나타내었다. KS F 4042(한국산업표준 : 폴리머 시멘트 모르타르 품질기준) 휨강도 품질기준 6MPa 이상을 만족하는 시편은 4가지로, 압축강도와 마찬가지로 시멘트에서 가장 우수한 결과 값이 나왔고, CBPC+BFS, CBPC+CH, CBPC+SF0.1 순으로 높은 강도가 나왔다.

/Resources/kci/JKCI.2013.25.5.565/images/PICDEC7.gif

Fig. 4 Compressive strength

/Resources/kci/JKCI.2013.25.5.565/images/PICDF07.gif

Fig. 5 Flexural strength

3.3 용출 실험

시편 8개의 초기 7일 후 용출량과 56일 후 용출량의 변화량을 측정하여 Table 3에 나타내었다.

Table 3 Variation of ion dissolution of OPC and MgO based mortar (ppm)

   Ion

Type 

Cl-

SO42-

NO3-

PO43-

Li+

Na+

K+

Mg2

Ca2+

OPC

-2.18 

0.18 

-13.5 

0.00 

-0.31 

16.0 

65.43 

-1.22 

2.12 

CBPC

+HT

-3.16 

-25.97 

-5.62 

-12.02 

-0.31 

-13.5

-159.8

-0.02 

-2.17 

CBPC

+FA

-2.45 

-40.55 

-4.03 

-9.33 

-0.23 

-6.76 

102.71 

-0.07 

-1.73 

CBPC

+WS

-3.76 

-21.46 

-8.64 

-12.32 

-0.30 

-9.46 

63.25 

-0.23 

-1.80 

CBPC

+BFS

-3.06 

-158.1

-5.10 

-31.71 

-0.08 

4.54 

746.28 

1.75 

1.50 

CBPC

+CH

-4.16 

-21.71 

-8.25 

-6.07 

-0.18 

-9.40 

-87.04 

1.46 

-0.58 

CBPC

+SF0.1

-2.86 

-20.02 

-3.16 

-9.09 

-0.30 

-9.44 

-40.10 

1.55 

-0.76 

CBPC

+SF0.2

-2.92 

-16.38 

-3.78 

-3.05 

-0.22 

-7.17 

-22.59 

1.66 

-1.31 

/Resources/kci/JKCI.2013.25.5.565/images/PICDFA4.gif

Fig. 6 56 days after deposition

첫번째로, 시멘트 모르타르의 경우 반응성이 빠른 K, Ca, Na를 제외한 이온에서 용출이온이 감소되었는데, 이는 시멘트가 용출실험 과정에서 증류수 안에서 수화반응을 하였기 때문이라 할 수 있다. 그럼에도 불구하고 수화과정에 가장 많이 작용 하는 Ca 이온이 점점 증가하는 것은, 가용성 Ca(OH)2염 때문이다. Ca(OH)2는 물에 녹아 높은 pH농도를 유지시켜 시멘트의 수화작용을 도와주는 염으로, 이 염이 시멘트 밖으로 흘러나올 경우 백화현상을 일으킨다고 밝혀 진 바 있다.

두 번째로, 시멘트에 비해 CBPC 모르타르에서 칼륨(K+)이온의 농도가 높게 나왔는데, 이것은 CBPC 바인더의 수화물중 K+와 Mg2+이온의 결합으로 이루어진 수화물 MgKPO4ㆍ6H2O 때문이다. 그 이유는 다음과 같다. 크로마토그래피는 물질의 반응성에 따라 성분을 분석하는 장치인데, 용출 이온 중 K, Ca, Na, Mg 는 K(칼륨)으로 갈수록 이온화 경향(반응성)이 크다. 이온의 반응성 순서에서 두 이온 간의 거리가 멀수록 반응 상수비가 커서, 반응성 큰 이온의 반응속도가 빨라지고, 반응성이 낮은 이온의 용출이 작아지는데, 반응성 순서에서 K이온과 Mg이온의 두 이온 간의 거리가 Ca과 K의 거리보다 크므로, CBPC의 수화물 MgKPO4ㆍ6H2O에서 반응성이 큰 K이온 용출량이 극도로 활발해 지고 상대적으로 반응성이 작은 Mg이온의 경우 용출 양이 줄어든 것이다. 칼슘이온은 가용성 이온이지만, Ca(OH)2 형태로 용출되면 공기 중의 탄소와 만나 불용성 염인 CaCO3을 생성하여 백화현상을 유발한다. 그러나 칼륨은 반응성인 이온이자 가용성 이온으로, 칼륨이 생성하는 염은 모두 물에 녹아버리기 때문에 육안으로 관찰하기 어렵다. Fig. 6에서 보면 OPC 시편에 비해 CBPC 시편에는 침전반응이 일어나지 않음을 확인 할 수 있다. 다만 용출이온 중 칼륨보다는 Mg이온의 용출이 문제가 될 수 있는데, Ca(OH)2는 가용성이온으로 용해도상수는 5.5×10-6, Mg(OH)2의 용해도 상수는 1.1×10-11으로 불용성 염이기 때문에 용출될 위험이 적다.

3.4 동결융해저항성 실험

동결융해 저항성은 모르타르 내 연행 공기량 및 연행 공기의 간격에 따라 달라지며, 측정한 상대 동탄성계수를 측정하여 평가될 수 있다. 각 사이클 당 상대 동탄성 계수를 Table 10에 나타내었다. 100cycle 까지는 약 12.5일로, OPC, CBPC+FA, CBPC+BFS, CBPC+SF0.1가 상대적으로 높은 동탄성계수를 가져 초기 동해 영향에 안정적이였으나, 300 cycle(약 37.5일) 후에는 OPC, CBPC+BFS 시편이 각각 61.6%, 59.9%로 100 cycle에 비해 급속도로 낮아져서, 동결융해 저항성이 매우 떨어지는 것으로 나타났다(Fig. 7). 따라서 CBPC 바인더를 첨가한 모르타르가 장기적으로 봤을 때 동결융해 저항성이 증대된다고 볼 수 있으며, 시멘트에 비해 전반적으로 비슷하거나 높은 동탄성저항을 보였다.

Table 4 Dynamic elasticity per cycles

Type 

Relative dynamic elastic modulus (%)

0 cycle

100 cycle

200 cycle

300 cycle

OPC

100

91.7 

74.5 

61.6 

CBPC+HT

100

81.1 

74.4 

68.0 

CBPC+FA

100

93.6 

80.7 

72.5 

CBPC+WS

100

82.9 

69.3 

58.7 

CBPC+BFS

100

90.7 

66.5 

59.9 

CBPC+CH

100

82.9 

78.4 

66.8 

CBPC+SF0.1

100

92.3 

78.4 

71.6 

CBPC+SF0.2

100

83.8 

70.4 

64.5 

/Resources/kci/JKCI.2013.25.5.565/images/PICE022.gif

Fig. 7 Variation of dynamic elasticity per cycles

3.5 XRD 분석 결과

Fig. 8은 CBPC 바인더(raw material), Fig. 9에는 OPC 및 충전재를 첨가한 시편들의 회절곡선을 나타내었다. MgO기반 모르타르는 충전재에 따라 다양한 결정체의 수화물을 생성하는 것으로 관찰된다. 수화물을 정리하여 Table 5에 나타내었다. 분석 결과 모든 XRD 회절곡선에서 CBPC 바인더의 수화물로 알려진 K-struvite(MgKPO4ㆍ6H2O)의 결정성을 관찰 할 수 있었다.4)

/Resources/kci/JKCI.2013.25.5.565/images/PICE071.gif

Fig. 8 CBPC Binder (raw material) XRD DATA

/Resources/kci/JKCI.2013.25.5.565/images/PICE0DF.gif

Fig. 9 XRD data of specimen cured for 60 days

Al, K 성분이 포함된 충전재, 황토, 플라이애쉬, 샤모트를 첨가한 시편은 마그네슘 수화물이 생성되기 전에 Zeolite 및 Kaolinite를 생성하였다.

Ca 성분이 들어간 충전재 규회석 및 고로슬래그를 첨가한 시편은 마그네슘 수화물이 생성되기 전에 칼슘 수화물 Calcite(CaCO3), Hydrotalcite(Mg6Al2(CO3)(OH)16(H2O)14) 등이 생성되고, 이는 Mg2+이온과 화학적으로 결함되지 못하기 때문에 내구성 및 강도발현에 부정적인 영향을 끼친다.5)

마그네슘 수화물 Mg(OH)2는 용해도 상수가 1.1×10-11으로 낮아 이온화가 느리기 때문에 초기 7일부터 형성되었다가 28일 정도부터 이온화되기 시작한다. 실리카성분과 마그네슘성분이 만나 생성된 M-S-H gel은 이온화된 Mg(OH)2가 다른 반응성 이온들과 결합하지 못하도록 유지시켜주는 역할을 하며,6,7) 탄산마그네슘삼수화물(MgCO3․ 3H2O)을 형성하기 시작하여 하여 70일 정도에는 Mg(OH)2 결정체가 거의 이온화 되어 사라지고 탄산염인 탄산마그네슘삼수화물이 생성된다.

Table 5 Hydrates of OPC and MgO based Mortar

Composition

Hydrate

Carbon oxide

Dehydration

OPC

CaO, SiO2

Ca(OH)2

C-S-H gel

CaCO3

Ca2․SiO3

CBPC+HW

MgO, Al2O3

SiO2, K2O

P2O5

Kaolinite

K-struvite

CBPC+FA

MgO, Al2O3

SiO2, K2O

P2O5

Kaolinite

Zeolite

K-struvite

CBPC+WS

MgO, CaO

SiO2, K2O

P2O5

Hydrotalcite

K-struvite

Portlandite

CaCO3

CBPC+BFS

MgO, CaO

Al2O3, SiO2

K2O, P2O5

Zeolite

K-struvite

Portlandite

CBPC+CH

MgO, Al2O3

SiO2, K2O

P2O5

Kaolinite

Zeolite

K-struvite

Mg(OH)2

M-S-H gel

CBPC+SF0.1

MgO, SiO2

K2O, P2O5

K-struvite

Mg(OH)2

M-S-H gel

MgCO3

MgCO3․3H2O

MgCO3

CBPC+SF0.2

MgO, SiO2

K2O, P2O5

K-struvite

Mg(OH)2

M-S-H gel

3.6 SEM 분석 결과

/Resources/kci/JKCI.2013.25.5.565/images/PICE12E.JPG

/Resources/kci/JKCI.2013.25.5.565/images/PICE1AC.gif

(a) OPC

(b) CBPC+HT

/Resources/kci/JKCI.2013.25.5.565/images/PICE22A.gif

/Resources/kci/JKCI.2013.25.5.565/images/PICE25A.JPG

(c) CBPC+FA

(d) CBPC+WS

/Resources/kci/JKCI.2013.25.5.565/images/PICE2A9.gif

/Resources/kci/JKCI.2013.25.5.565/images/PICE2CA.JPG

(e) CBPC+BFS

(f) CBPC+CH

/Resources/kci/JKCI.2013.25.5.565/images/PICE2FA.JPG

/Resources/kci/JKCI.2013.25.5.565/images/PICE31A.JPG

(g) CBPC+SF0.1

(h) CBPC+SF0.2

Fig. 10 SEM images of hydrates (×300)

양생 28일 후 압축강도를 시험한 시편의 파면을 0.5cm 정도 조각내어 300배율로 SEM 분석을 실시한 결과이다. Fig. 10은 파면을 300배율, Fig. 11은 20000배율 한 SEM 현미경 사진이다. OPC 시편은 수화반응이 상당히 진행되어 기공이 촘촘히 채워져 있는 모습을 확인 할 수 있다.

Fig. 11(a)에서 비정질인 C-S-H gel 및 phase A에서 확인 할 수 있듯이 수산화칼륨의 결정을 확인 할 수 있다. CBPC+HT의 300배율 사진에서는 입자들이 서로 결합되지 못하여 많은 기공을 가지고 있음을 관찰 할 수 있다. Fig. 11(b)는 Fig. 10의 Phase B를 확대한 형상이며, 소정의 알루미노규산염(aluminasilicate gel)이 형성되었음을 알 수 있다. 이 비정질 gel 상의 Si-O나 Al-O의 공유결합은 과량의 OH-이온에 의해 용탈되며, 용탈된 이온들은 N, K, Ca 등과 축중합에 의해서 지오폴리머 matrix를 형성하게 된다. CBPC+FA의 사진에서 구형 입자는 플라이애쉬의 전형적인 입상이고 50~100μm사이의 침상결정은 마그네슘과 인산의 반응 수화물인 K-struvite이다.8) Fig. 11(c)은 CBPC+FA시편의 기공을 채우고 있는 알루미노규산염l을 확대한 형상이다. CBPC+WS는 충전재인 규회석 자체가 침상이기 때문에 마그네슘 수화물과 구별하기 힘들다.  Fig. 11(d)에서 규회석의 침상 물질과 비정질 마그네슘 수화물이 결합되지 못하고 따로 뭉쳐있음을 확인 할 수 있다. CBPC+BFS의 고배율 사진 Fig. 11(e)를 보면 OPC와 비슷한 C-S-H gel을 가지며, 다른 시편들과는 달리 마그네슘 수화물보다는 칼슘 수화물이 주로 생성됨을 추정 할 수 있다. CBPC+CH의 저배율사진 Fig. 10(f)의 Phase C 에서는 모르타르 표면에 흡착이 잘 되어있는 마그네슘 수화물을 확인 할 수 있으며, 침상-판형의 결정체들이 기공을 메워 치밀한 조직을 형성함을 관찰 할 수 있다. CBPC+SF0.1의 수화물역시 침상-판형의 마그네슘 수화물이 표면에 잘 흡착 되어 있음을 관찰 할 수 있으며, 고배율의 Fig. 11(g)의 Phase D에서는 다른 시편에서는 볼 수 없었던, 1~2μm 사이의 사각 결정형 상의 마그네슘 수화물 Mg(OH)2의 생성을 확인하였다. CBPC+SF0.2의 고배율 사진 Fig. 11(h)에서는 M-S-H gel로 추정되는 비정질 물체를 관찰 할 수 있는데, M-S-H gel은 Mg(OH)2를 이온화 하여 저장 할 뿐 C-S-H gel과 같은 결합력을 가지진 않는다.

/Resources/kci/JKCI.2013.25.5.565/images/PICE388.gif

/Resources/kci/JKCI.2013.25.5.565/images/PICE3F7.gif

(a) OPC

(b) CBPC+HT

/Resources/kci/JKCI.2013.25.5.565/images/PICE465.gif

/Resources/kci/JKCI.2013.25.5.565/images/PICE4C4.gif

(c) CBPC+FA

(d) CBPC+WS

/Resources/kci/JKCI.2013.25.5.565/images/PICE542.gif

/Resources/kci/JKCI.2013.25.5.565/images/PICE5C0.gif

(e) CBPC+BFS

(f) CBPC+CH

/Resources/kci/JKCI.2013.25.5.565/images/PICE67C.gif

/Resources/kci/JKCI.2013.25.5.565/images/PICE6DB.gif

(g) CBPC+SF0.1

(h) CBPC+SF0.2

Fig. 11 SEM images of hydrates (×20000)

4. 결    론

이 연구에서는 MgO 기반 모르타르의 수화특성 및 기초물성을 파악하기 위해 6가지의 산업부산물을 일정 비율로 첨가한 각각의 시편에 대해 물리적 성능 실험 및 용출실험, SEM, XRD 분석을 실시하여 OPC와 비교하였으며, 이를 통해 얻은 결론은 다음과 같다. 

1)XRD 분석 결과 마그네슘 기반 모르타르의 주요 수화물은 마그네슘에 의한 수화물로는 대표적으로 K-Struvite(MgKPO4ㆍ6H2O), 수산화마그네슘(Mg(OH)2), 탄산마그네슘삼수화물(MgCO3․3H2O), M-S-H gel 등이 있다.

2)마그네슘 수화물의 미세구조 중 침상형의 K-Struvite는 수화가 진행 될수록 판상형으로 탄화(carbonizing)하면서 모르타르 내 수화 조직을 치밀하게 하여 내구성을 향상시킨다.

3)주성분이 SiO2로 이루어진 첨가제를 넣은 시편은 마그네슘 수화물 Mg(OH)2가 안정화되어 28일 뒤 천천히 탄화하여 높은 장기강도를 형성한다.

4)칼슘(Ca2+), 알루미늄(Al3+) 이온의 경우 마그네슘 수화물 형성에 방해가 될 뿐만 아니라 외부환경에 노출될 경우 급격히 내구성이 저하 될 수 있다.

5)고로슬래그 첨가제의 경우 가용성 염 MgSO4를 생성하여 외부환경에 노출될 경우 백화현상을 유발할 가능성이 높다.

Acknowledgements

References

1 
1.Jang, B. S., Kwon, Y. G., Choi, S. W., and Lee, K. M., “Fundamental Properties of Cement Composites Containing Lightly Burnt MgO Powders,” Journal of the Korea Concrete Institute, Vol. 23, No. 2, 2011, pp. 225-233. (doi: http://dx.doi.org/10.4334/JKCI.2011.23.2.225)DOI
2 
2.Ribeiro, Daniel Veras and Morelli, Marcio Raymundo, “Performance Analysis of Magnesium Phosphate Cement Mortar Containing Grinding Dust,” Materials Research, Vol. 12, No. 1, 2009, pp. 51-56. (doi: http://dx.doi.org/10.1590/ S1516-14392009000100005)DOI
3 
3.Kang, S. P., Kim, J. H., Lee, J., No, H. N., and Lee, Y. W., “Effect by Unit Water Content and Mixing Proportion of Phosphate with Magnesium Used in Magnesia Phosphate Composite,” Proceedings of the Korea Concrete Institute Conference-Spring, Vol. 24, No. 1, 2012, pp. 717-718.Google Search
4 
4.Kang, I. S., Han, D. H., Park, M. Y., Ahn, M. Y., Park, M. S., and Jung, S. J., “Studies on Basic Properties and Durability of High Early Strength Repair Mortar Using Magnesia Polyphosphate Cement,” The Collected Papers of the Archi-tectural Institute of Korea Symposium, Vol. 27, No. 1, 2007, pp. 463-464.Google Search
5 
5.Vandeperre, L. J., “Microstructures of Reactive Magnesia Cement Blends,” Cement and Concrete Composites, Vol. 30, Issue 8, 2008, pp. 706-714. (doi: http://dx.doi.org/10.1016/j. cemconcomp.2008.05.002)DOI
6 
6.Wei J., Yu Q., Zhang W., and Zhang H., “Studies on the Reaction Products of MgO and Microsilica Cementitious Materials at Different Temperature,” Journal of Wuhan University of Technology-Mater. Sci. Ed., Vol. 26, Issue 4, 2011, pp. 745-748. (doi: http://dx.doi.org/10.1007/s11595- 011-0304-3)DOI
7 
7.Wei J., Chen Y., and Li Y., “The Reaction Mechanism between MgO and Microsilica at Room Temprature,” Journal of Wuhan University of Technology, Vol. 21, No. 2, 2006, pp. 88-91. (doi: http://dx.doi.org/10.1007/BF02840848)DOI
8 
8.Patrick, K. Donahue et al., “Durable Phosphate-Bond Natural Fiber Composite Products,” IIBCC 2006-Sao Paulo, Brazil, 2006, pp. 79-88.Google Search
9 
9.Tingting Zhang, C. R. Cheeseman, and L. J. Vandeperre, “Development of Low pH Cement Systems Forming Magnesium Silicate Hydrate (M-S-H),” Cement and Concrete Research, Vol. 41, Issue 4, 2011, pp. 439-442. (doi: http://dx.doi.org/10.1016/j.cemconres.2011.01.016)DOI