Mobile QR Code QR CODE
Export citation EndNote




화재손상된 콘크리트, 콘크리트의 내화성능, 비정상상태 변형률, 콘크리트의 고온크리프, 콘크리트의 열전달
fire-exposed concrete, fire resistant capacity of concrete, transient strain of concrete, concrete at elevated temperature, heat transfer of concrete

  • 1. 서 론

  • 2. 재료 모델

  •   2.1 콘크리트

  •   2.2 철근

  • 3. 비정상 열전달 해석

  • 4. 비선형 구조해석

  • 5. 수치해석

  •   5.1 철근콘크리트 기둥

  •   5.2 철근콘크리트 단순보

  •   5.3 설계규준와의 비교

  • 6. 결 론

1. 서    론

철근콘크리트(RC)는 경제성, 내구성 등의 유리한 특성으로 인하여 토목 구조물 및 일반 건축물 등 많은 구조물에 널리 사용되고 있으며 다른 구조재료에 비해서 열전도율이 낮기 때문에 내화재료로도 그 기능을 충분히 발휘하는 구조재료이다. 그러나 RC 구조물 혹은 구조 부재가 화재 등으로 인해 고온에 장시간 노출되었을 경우, 구조물에 심각한 영향을 끼칠 수 있는 구조적 손상이 발생하기 때문에 이를 고려한 RC 구조물의 내화성능 평가를 위한 다양한 접근이 이루어지고 있다. 특히. 화재 상황에서의 철근콘크리트 구조부재의 내화성능과 거동 특성은 철근콘크리트 구조부재의 표준화재실험(Standard Fire Test)을 통해 구명되고 있는데 표준화재실험이란 가열로(furnace)를 통해 표준화재 온도-시간 곡선에 따라 공기를 가열하여 구조 부재의 거동을 파악하는 실험이다. 이 실험을 토대로 Lin 등1,2)과 Dotreppe 등3) 이 철근콘크리트 단순보와 내민보에 대한 화재손상실험을 수행한 바 있고, Lie 등4)은 기둥에 대한 실험을 수행하였다. 그러나 구조물의 내화 성능을 실험적으로 구명하는 것은 규모 및 경제성 측면에서 한계가 있으며 극히 제한적인 범위에서 이루어지는 관계로 이를 보완하기 위한 해석적 연구가 병행되고 있다.

화재가 발생한 철근콘크리트 구조물의 해석적 연구를 위해서는 고온에서의 응력-변형률 거동 및 온도변화에 따라 발생하는 추가적인 변형률에 대한 고려가 필요하며 이와 관련한 다양한 모델들이 제안되었다.5-8) 이 외에도, 제안된 재료모델을 토대로 하여 유한요소법을 적용한 수치적 접근 역시 활발히 이루어지고 있으나3,9-12) 철근과 콘크리트의 크리프 및 콘크리트의 비정상상태 변형률 등 온도에 따른 재료거동 일부를 고려하지 않은 제한적인 해석이 수행되었다.

한편, Terro의 경우,13) 실험 결과에 기반하여 온도 증가에 따른 크리프를 포함한 콘크리트 변형률의 비선형 모델식을 제시하였으며, 이를 기둥 및 슬래브 구조물에 적용하였으나 제안된 모델식의 적용범위가 일정온도에 국한되어 있었다. Huang 등의 경우, 온도변화를 고려한 해석 프로그램인 Vulcan의 개발을 통해서 보요소를 기반으로 한 해석을 여러 구조부재에 대하여 수행한 바 있으며,14,15) 다만 평면요소를 적용한 그의 해석적 연구사례16)에 비해, 철근의 크리프 변형 등의 효과에 대해서는 그 고려가 불명확하다. 또한, Bratina 등17)은 독자적인 보요소를 개발하여 유한요소기반의 구조해석모델을 제안하였으며, 이를 기반으로 하여 고온상태에서 콘크리트 및 철근의 재료속성의 변화를 고려하여 휨부재 및 압축부재에 대한 해석을 수행하였고, 그 거동을 Eurocode2와 비교한 바 있다.18,19) 한편, Kodur 등20)은 보요소에 기반하여 화재 시 콘크리트 및 철근의 재료속성변화를 고려하여 휨부재에 제한적인 해석적 연구를 수행하였으며, 화재 시나리오 등의 인자 변화에 따른 강구조물의 구조거동을 분석한 바 있다.21) 또한, 화재상태에서 2축 모멘트를 받는 기둥의 저항능력을 평가하기 위한 수식을 제안하기도 하였다.22)

이 논문에서는 화재에 따라 유발되는 RC 구조물의 재료속성 변화와 관련하여 콘크리트 및 강재의 온도변형, 크리프 변형 및 고온에서 콘크리트의 비정상상태 변형 등, 실험을 통해 규명된 구조재료의 변형인자들을 모두 고려한 해석모델을 제안하였다. 그리고 기존의 해석적 연구들의 경우 온도에 따른 변형효과들을 동시에 고려함으로써 각 인자들이 미치는 영향을 살펴보기 힘들었던 반면, 이러한 한계점을 극복하고자 모든 변형효과를 다 고려한 해석은 물론 각 영향인자들이 미치는 영향을 별도로 해석하여 구조적 거동에 어떠한 차이를 나타내는 지를 분석하였다. 이를 위해, 화재 시 콘크리트 부재의 표면에서 발생하는 온도변화의 영향을 반영하기 위한 열전달 해석을 수행하였으며, 열전달해석을 통해 결정된 단면 내 온도분포를 적용하여 화재 발생 시 단면 위치에 따라 달라지는 재료속성을 고려한 비선형 해석을 수행하였다. 또한, 기존의 많은 연구들이 그 적용성에 있어서 휨부재나 압축부재에 국한되어 있었던 반면 제안된 모델을 두 가지 구조부재에 모두 적용하여 그 거동을 살펴보았으며, 해석 결과의 타당성을 검증하기 위하여 기 수행된 표준화재실험의 결과와 구조거동을 비교하였다. 한편, 화재발생 이 후 부재의 시간의존적인 저항능력을 세장비에 따라 해석하고 이를 디자인코드의 저항능력과 비교함으로써 설계규준에서 제시하고 있는 내화설계방법의 효율성을 검증하여 보았다.

2. 재료 모델

2.1 콘크리트

화재 발생 경과 시간 t에서 일축응력 상태에 있는 콘크리트의 전체 변형률은 크게 역학적 변형률(mechanical strain,)과 비역학적 변형률(non-mechanical strain,)로 분류할 수 있다. 이 중 구조계의 변형은 증가시키지만 추가적인 응력을 발생시키지 않는 비역학적 변형률 가운데 화재 발생 시 고려되는 비역학적 변형률로는 온도 변형률, 크리프 변형률, 비정상상태 변형률을 들 수 있으며 이들의 관계를 식으로 표현하면 다음 식 (1)과 같다.

여기서, 온도 변형률 εth,c(T)은 온도에 의해 콘크리트가 팽창함으로써 나타나는 변형률이며 이를 고려하기 위한 모델식들이 존재한다.23,24) 이 중, Eurocode2의 EN 1992- 1-224)에서 제안된 식의 경우 온도변화에 대한 비선형성과 온도상승에 따른 콘크리트의 물리적, 화학적 변화가 고려되었으며 골재의 종류에 대한 영향을 포함하고 있기에 이 논문에서는 이를 토대로 온도변형률을 산정하였다. 또한 화재발생시간의 경과에 따라 콘크리트의 크리프변형에 의해 추가적인 변형률 변화가 유발되는데 이를 고려하기 위한 여러 연구들이 선행되었다. Terro13)는 크리프를 포함하는 LITS(load induced thermal strain)에 대해서 온도에 대한 비선형 모델식을 제시한 바 있다. 이 외에도 고온에서의 크리프 변형률을 모사하기 위한 노력이 이루어졌지만5) 비정상상태 크리프와 그 외의 기본크리프 및 건조 크리프에 대해 별도의 모델을 제시하지 못하는 경우가 많기에, 이 논문에서는 콘크리트의 응력상태와 시간 및 온도효과를 고려한 Harmathy25)의 모델식을 사용하였으며 이는 식 (2)와 같다.

여기서, f’cT와 f는 각각 온도 T에서의 콘크리트의 강도와 응력을, T(K)와 t(sec)는 각각 온도와 시간을 의미하며, Cruz26)의 실험에서 산정된 상수 β1=6.28×10-6sec-0.5, d=2.658× 10-3K-1의 값이 사용되었다. 특히, j 번째 시간단계에서 크리프변형률을 산정할 때 그 전 단계의 응력 σ j-1을 사용하여도 충분히 정확하다고 알려진 바 있으며5) 시간 단계 [j-1, j]에서 크리프변형률의 증가량은 /Resources/kci/JKCI.2013.25.5.497/images/PIC4C8C.gif와 같이 산정할 수 있다. 이 뿐 아니라 콘크리트는 고온에서 물리적, 화학적 성분의 변화에 따라 추가적인 크리프 변형이 발생하는데 이로 인해 생기는 변형률을 비정상상태변형률 εtr이라고 한다. 비정상상태변형률에 대한 많은 연구들 가운데5,27,13) Anderberg 와 Thelandersson5)이 제안한 모델의 경우 실험을 통하여 결정된 시간에 따른 비정상상태변형률의 추이를 잘 예측하며,7) 수식의 형태가 다른 모델식들에 비하여 단순하고 적용이 용이하기 때문에 이 논문에서도 이 모델을 토대로 시간 단계 [j-1, j]에서의 비정상상태변형률의 증가량을 다음과 같이 산정하였다.

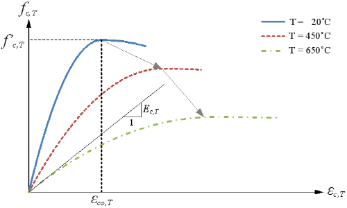
여기서, f’c는 상온에서의 콘크리트 강도이며 k2는 무차원 계수로 1.8~2.35의 범위를 갖는 값으로 이 논문에서는 수치해석에 있어 자주 사용되는 2.35의 값을 적용하였다.2) 나아가 콘크리트의 응력은 전체 변형률 가운데 역학적 변형률을 산정하고 이를 응력-변형률 관계에 대입함으로써 결정하게 된다. 이와 같은 콘크리트의 응력-변형률 관계는 온도변화에 따라 다르게 나타나기 때문에 이를 정의하기 위한 여러 연구가 진행되었으며5,28) 이 논문에서는 실험치와의 비교를 통해 온도의 변화에 따른 거동을 비교적 효과적으로 모사하는 것으로 알려져 있는7) Lie & Lin의 모델28)을 토대로 응력-변형률 관계를 정의하였고(Fig. 1(a) 참조) 그 관계를 표현하면 다음 식 (4), (5)와 같다.

/Resources/kci/JKCI.2013.25.5.497/images/PIC4CDD.jpg

(a) Compressive region

/Resources/kci/JKCI.2013.25.5.497/images/PIC4F8D.jpg

(b) Tensile region

Fig. 1 Stress-strain curves of concrete

이 때, 압축강도 f’cT의 경우 Hertz29)가 제안한 모델이, 그에 대응하는 변형률 εco,T는 Khennane과 Baker30)가 제안한 모델이 비교적 정확히 온도에 따른 영향을 평가하고 있는 것으로 알려져 있으며,7) 특히 Hertz 의 모델은 골재의 종류에 따른 영향을 적절히 고려하고 있음을 참고문헌에서 확인할 수 있다.29) 따라서 압축강도 f’cT는 Hertz 모델을, 대응되는 변형률 εco,T는 Khennane & Baker 모델을 사용하여 압축 측 최대응력과 그에 대응하는 변형률을 각각 정의하였다. 또한 인장부는 Fig. 1(b)에 나타난 바와 같이 선형의 인장강화효과(tension stiffening effect)를 고려하였다. 여기서, 인장강도 /Resources/kci/JKCI.2013.25.5.497/images/PIC51E4.gif로 가정하였고 인장강도에서의 변형률 및 극한인장변형률의 경우 여타의 참고문헌에서 찾아볼 수 있는 바와 같이16) /Resources/kci/JKCI.2013.25.5.497/images/PIC5214.gif/Resources/kci/JKCI.2013.25.5.497/images/PIC5244.gif로 적용하였다.

2.2 철근

화재 발생 경과 시간 t에서 일축응력 상태에 있는 철근의 변형률 또한 식 (6)과 같이 역학적 변형률과 비역학적 변형률의 합으로 나타낼 수 있다.

여기서, 온도 변형률 /Resources/kci/JKCI.2013.25.5.497/images/PIC5284.gif에 대하여 온도변화에 따른 선형분포를 기반으로 한 모델식들의 경우 종류에 따른 주목할 만한 차이를 보여주지 않는다.31) 이에, 이 논문에서는 EN 1992-1-224)의 비선형분포식을 적용하였다. 한편, 철근의 크리프 변형률은 철근 온도가 약 450℃에 도달 시 현저하게 커진다고 알려져 있으며,32) 이러한 변형특성이 고려될 필요가 있다. 이를 위해 Dorn33)은 온도보상시간(temperature compensated time)의 개념을 적용하여 크리프 모델을 제안하였다. 이 후, 이를 기반으로 하여 Harmathy6)가 철근의 크리프 모델을 제안한 바 있으며, 이를 보완하여 기존의 모델을 수정하였으나,34) 철근의 종류에 따른 영향은 고려되지 않았다. 이에, 철근의 항복강도를 고려하도록 Kodur20)가 이 모델식을 수정하였다. 이와 같이 Dorn의 이론을 기반으로 한 크리프 모델은 온도에 따라서 항복점을 기반으로 두 개의 구간으로 정의되는 전형적인 철근의 응력-변형률 모델23,35,36)과 함께 적용될 경우 온도변화에 따른 재료거동을 적절히 나타내는 것으로 알려져 있으며 많은 해석적 연구들이 이와 같은 방법을 기반으로 하였다.21) 하지만, Dorn의 크리프 모델은 시간에 따른 응력의 변화가 없다는 가정을 기반으로 하고 있기 때문에, 구조물의 구속 정도에 따라 시간과 온도에 따른 응력변화가 발생하는 실제상황을 모사하기에는 한계가 있고, 모델식을 구성함에 있어서 복잡한 상수들을 정의해 주어야 하는 불편함이 존재한다.21)

한편, 철근의 응력을 구하기 위해서는 응력-변형률 관계를 통해 재료모델을 정의해야 하는데 철근은 콘크리트와 달리 압축측과 인장측에서의 응력-변형률 관계가 동일한 형상을 나타내는 등방성 재료로서 항복점에 도달할 때까지는 선형 거동을 보이다가 항복이 발생하는 순간 급격히 변형률의 증가를 보이며 소성영역에 다다르게 된다. 이러한 기본적인 재료적 특성은 온도변화가 존재하더라도 달라지지 않지만, 콘크리트와 마찬가지로 고온상태가 되면 온도에 따른 재료성질 자체의 변화가 발생하게 되므로 응력-변형률 관계의 새로운 정의가 필요하며 이와 관련한 많은 실험적, 해석적 연구가 병행되어왔다.23,24,35,36) 그 가운데 Eurocode2의 EN 1992-1-224) 모델의 경우, 과도적 실험(transient test)을 통해 결정된 모델로서, 충분한 시간을 가지고 온도를 변화시켜 줌으로써 크리프 효과를 포함한 유연한 응력-변형률 관계를 보여준다.31,37) 이러한 크리프 거동은 Fig. 2와 같이 비례한계(proportional limit)와 항복한계(yield limit)에 걸친 비선형 구간에서 잘 나타나고 있으며, 따라서 별도로 응력-변형률 모델과 앞서 설명했던 복잡한 크리프 모델을 혼용할 필요가 없는 장점이 존재하므로 이 논문에서는 EN 1992-1-2 모델을 해석에 적용하였다. 여기서, 응력-변형률 관계는 4개의 구간으로 나누어 정의된다.

/Resources/kci/JKCI.2013.25.5.497/images/PIC52D3.gif

Fig. 2 Stress-strain curve of steel

여기서, /Resources/kci/JKCI.2013.25.5.497/images/PIC5424.gif, /Resources/kci/JKCI.2013.25.5.497/images/PIC5435.gif, /Resources/kci/JKCI.2013.25.5.497/images/PIC5446.gif,/Resources/kci/JKCI.2013.25.5.497/images/PIC5466.gif, /Resources/kci/JKCI.2013.25.5.497/images/PIC5476.gif,/Resources/kci/JKCI.2013.25.5.497/images/PIC5497.gif, /Resources/kci/JKCI.2013.25.5.497/images/PIC54B7.gif이다. 이 때, /Resources/kci/JKCI.2013.25.5.497/images/PIC54C8.gif, /Resources/kci/JKCI.2013.25.5.497/images/PIC54E8.gif, /Resources/kci/JKCI.2013.25.5.497/images/PIC54F8.gif는 온도에 따라 변하는 재료속성으로 EN 1992-1-2에서는 특정온도 값들에 대해 상온에서의 속성값에 대한 비를 제공하고 있기 때문에 전 구간에 대해 선형보간하여 이를 해석에 적용하였으며 자세한 내용은 참고문헌에서 확인할 수 있다.24)

3. 비정상 열전달 해석

화재에 노출된 구조물은 시간이 경과함에 따라 점진적으로 그 온도가 증가하며 온도증가에 따른 재료성질의 변화가 동반된다. 따라서 화재로 인한 대상구조물 표면으로부터의 온도증가를 평가할 필요가 있으므로 이를 위해 열전달 해석을 수행해야 한다. 먼저 구조물 표면의 경계조건으로 사용되는 화재의 온도를 정의할 필요가 있는데, 이 논문에서는 표준화재 온도-시간 관계식 중 널리 쓰이는1,3,20) ASTM E11938)의 관계식(Tf = 20 + 750․(1-exp (-3.79553․(t/60)0.5)) + 179.41․(t/60)0.5)을 기반으로 하여 시간에 따른 온도변화를 고려하였다. 여기서, /Resources/kci/JKCI.2013.25.5.497/images/PIC5509.gif는 화재의 온도(℃), t는 시간(min)을 의미한다. 화재의 온도가 시간에 따라 변하므로 비정상 열전달 해석(transient heat analysis)을 기반으로 구조물의 온도분포를 산정하게 된다. 이 때 구조물의 표면은 동일한 온도에 노출된 것으로 가정할 수 있으므로 대표단면에 대한 두께방향의 2차원 열전달 해석을 수행하게 된다. 특히 철근의 양은 콘크리트의 양에 비해 미소하므로 철근은 온도해석 시 별도로 고려하지 않고 동일 위치의 콘크리트 온도분포와 동일하다고 가정하였으며 이 때, 콘크리트의 온도분포에 대한 지배방정식은 다음 식 (11)과 같다.

위의 지배방정식을 구성함에 있어 정의되는 k(T), ρ(T), c(T)는 각각 콘크리트의 열전도계수, 밀도, 비열이며 Euro-code224)에서 제안한 식을 기반으로 산정하였다. 이 식에서 내부 생성열 Q는 경화된 콘크리트 구조물에서는 없다고 가정하였다.

화재 시, 구조물과 화재의 온도 차로 인한 대류와 화재의 복사로 인한 열에너지가 고체 구조물 표면을 통해 내부로 흡수되며 이로 인한 경계조건은 다음 식 (12)와 같이 나타낼 수 있다.

/Resources/kci/JKCI.2013.25.5.497/images/PIC5A89.gif 

(12)

여기서, n은 경계에서 외부를 향하는 단위 법선벡터, qc는 화재로 인한 대류열, qr은 물체가 흡수한 복사열을 각각 의미하며 h는 대류계수, Ts, Te는 구조물과 공기의 온도 (단위: 켈빈), ε는 화염의 방출도, 슈테판 볼츠만(Stefan- Boltzman) 상수 /Resources/kci/JKCI.2013.25.5.497/images/PIC5A9A.gif이며 heff(T)는 대류와 복사의 효과를 고려한 유효열전달계수이다.

시간에 따른 요소 내의 온도분포를 산정함에 있어 요구되는 유한요소 정식화와 더불어 이의 해석과정은 기존의 열전달 해석과정과 다르지 않으며 이에 관련한 자세한 내용은 참고문헌39)에서 찾아볼 수 있다. 단, 이 논문에서는 시간간격의 크기에 대해 안정한 결과를 주는 Crank- Nicolson Scheme(β=0.5)을 이용하여 시간영역에 대한 해석을 수행하였으며, 시간영역을 잘게 잘라 해석함으로써 오차를 충분히 줄이고 해석하는 것이 가능하다.

 4. 비선형 구조해석

이 논문에서는 축방향 일축응력상태를 기본으로 하는 절점 당 5개의 자유도를 가지는 보요소(beam element)를 사용하였다.

Fig. 3에서 나타낸 바와 같이 각 방향의 절점 변위 벡터는 /Resources/kci/JKCI.2013.25.5.497/images/PIC5ABA.gif /Resources/kci/JKCI.2013.25.5.497/images/PIC5ACB.gif /Resources/kci/JKCI.2013.25.5.497/images/PIC5ADB.gif/Resources/kci/JKCI.2013.25.5.497/images/PIC5B1B.gif /Resources/kci/JKCI.2013.25.5.497/images/PIC5B2C.gif와 같고 이를 토대로 보요소의 전체 변위 벡터 /Resources/kci/JKCI.2013.25.5.497/images/PIC5B4C.gif와 같이 표현할 수 있다.

또한, 화재 발생에 따른 온도분포를 정확하게 반영하기 위해 철근콘크리트 부재 단면을 가상의 콘크리트 격자(fiber)로 이루어진 단면으로 모사하였다.40) 이 때, 가상일의 원리에 따라 임의의 절점 j에 외부하중벡터 Rj가 작용할 경우 가상의 변위벡터 dr에 대해서 /Resources/kci/JKCI.2013.25.5.497/images/PIC5BCB.gif/Resources/kci/JKCI.2013.25.5.497/images/PIC5BDB.gif의 힘-변위 관계식을 얻을 수 있으며, 임의의 순간에서의 평형 방정식을 구성하면 다음 식 (13)과 같다.

/Resources/kci/JKCI.2013.25.5.497/images/PIC5C1C.jpg

Fig. 3 Displacement components of a beam element

/Resources/kci/JKCI.2013.25.5.497/images/PIC5BAB.jpg

Fig. 4 Total analysis flow

여기서, BT는 변위-변형률 행렬을, ET는 온도에 따른 탄성계수를 의미하며, 이의 자세한 유도과정은 참고문헌41)에서 찾을 수 있다.

식 (13)의 우측에서 화재로 인한 온도변화에 따라 발생하는 콘크리트와 철근의 비역학적 변형률에 대한 등가 외력항(equivalent force) /Resources/kci/JKCI.2013.25.5.497/images/PIC5C2D.gif으로 정의하여 간략화하면 /Resources/kci/JKCI.2013.25.5.497/images/PIC5C3D.gif와 같이 힘-변위 평형 방정식을 얻을 수 있고, 이 때, 강성행렬은 /Resources/kci/JKCI.2013.25.5.497/images/PIC5C4E.gif와 같이 표현할 수 있다.40) 한편, 장주 효과에 의한 기하비선형성은 횡방향 변위와 축력에 의한 모멘트로 나타나는 이차효과로서, 내력에 의한 잔류력(residual force)으로 반영되며 자세한 내용은 참고문헌40)에서 찾을 수 있다. 이상과 같은 유한요소 정식화 과정의 자세한 해석과정은 Fig. 4의 해석흐름도에서 살펴볼 수 있다.

5. 수치해석

5.1 철근콘크리트 기둥

이 논문에서 Lie 등4)이 표준화재실험을 수행한 기둥을 대상으로 해석모델에 대한 검증을 수행하였다(Fig. 5 참조).

대상 구조물의 실험 시, ASTM E-119(1976) 화재 곡선에 따른 온도이력을 기둥 네면에 경계조건으로 적용하였으며, 화염의 방출도 ε는 0.3을 사용하였고, 경계에서의 대류계수 /Resources/kci/JKCI.2013.25.5.497/images/PIC5C5E.gif를 사용하였다. 기둥부재의 외부표면은 동일한 온도변화에 노출된다.

/Resources/kci/JKCI.2013.25.5.497/images/PIC5C8E.gif

/Resources/kci/JKCI.2013.25.5.497/images/PIC5CAF.gif

(a) Structural member

(b) Cross section

Fig. 5 RC column for the analysis (unit: mm)

이 때, Fig. 6은 기둥 단면 중앙에서부터 표면까지 단면 A-A를 따른 온도분포를 나타낸다. Fig. 6에서, 점표식은 실험치를 실선은 해석 결과를 각각 의미하며 실험치와 열전달 해석을 통해 산정된 해석치의 전체적인 경향이 일치하고 있음을 알 수 있다. 그러나, 단면 중앙부에서 화재 발생 60분 후의 온도분포는 실험 결과와 다소 차이를 보이고 있다. 이는, 실제 거동에 있어서, 표면에서 발생한 화재로 인해 뜨거워진 수분이 단면 중앙으로 점차 이동하여 중앙부의 온도를 높여주기 때문이다. 이 후, 가열이 지속됨에 따라 수분이 증발하면서 열을 빼앗아 가기 때문에 시간이 지날수록 이러한 온도상승 효과는 상대적으로 감소하고 해석과 실험 사이의 온도차이가 점점 줄어들게 된다. 한편, 화재 발생 이후 180분이 지난 상태에서도 표면부에는 어느 정도 오차가 존재하고 있다. 이와 같은 표면부 오차의 경우 비열이나 열전도계수와 같이 열전달해석에 큰 영향을 미치는 열특성계수의 산정에 있어서 해석 시 실제조건을 정확히 반영하지 못했기 때문에 나타나는 현상이다. 즉, 콘크리트 골재의 종류 등 배합조건이 열전도계수의 산정에 있어서 보다 정확히 반영된다면 부재 표면부의 온도분포차이 또한 감소할 것으로 판단된다.

/Resources/kci/JKCI.2013.25.5.497/images/PIC5CEE.gif

Fig. 6 Temperature distribution of the section along the longitudinal direction

/Resources/kci/JKCI.2013.25.5.497/images/PIC5D4D.gif

Fig. 7 The variation of axial displacement at the tip with time

화재를 고려한 수치해석에 사용된 재료상수는 화재실험 당시 실시한 재료실험 결과를 기반으로 초기 콘크리트 압축강도 36.1MPa, 철근 항복강도 420MPa, 철근의 탄성계수는 2.0X105MPa로 각각 적용하였다. 온도증가에 따라 발생하게 되는 콘크리트의 비역학적 변형률의 상대적인 영향을 살펴보기 위해 Fig. 7에서 보는 바와 같이 4가지 경우에 대해 해석하였으며 철근의 경우는 온도(/Resources/kci/JKCI.2013.25.5.497/images/PIC5D6D.gif) 및 크리프(/Resources/kci/JKCI.2013.25.5.497/images/PIC5D8D.gif)에 의한 비역학적 변형률을 고려하였다. 이 때, Case A, B 및 C의 경우 철근의 크리프를 고려하지 않는 쌍일차(bi-linear) 형태의 일반적인 철근 재료모델을, D는 식(7)~(10)을 각각 적용하였으며 이는 다른 예제의 경우도 동일하다. 화재 발생 시간에 따른 축방향 변위를 나타낸 Fig. 7에서 알 수 있듯이 모든 비역학적 변형률을 고려한 Case D의 경우 실험치와 매우 유사한 거동을 보이는 것을 알 수 있다.

다만 화재 발생 초기 60분 동안 실험치에 다소 차이가 나타나는데, 해석치의 변위는 초기에 점진적으로 상승하는데 비해 실험치의 변위는 갑자기 상승했다가 일정하게 유지되는 현상을 보이고 있다. 이는 열전달해석 결과로 발생하는 온도분포의 차이에 기인한 것으로 판단된다. 전체 기둥의 축방향 변위는 초기 120분까지는 온도의 증가에 따라 기둥이 팽창하여 기둥의 축방향 변위가 증가하지만 120분 이후에는 기둥의 변위가 감소한다. 그 이유는 콘크리트의 크리프와 비정상상태 변형률은 양의 값을 가지는 온도 변형률과 반대로 음의 변형률을 가지며 온도 변형률에 의한 팽창을 감소시키는 특징을 나타내기 때문이다.

한편 Case C와 D의 비교를 통해 알 수 있듯이, 철근의 크리프에 따른 변위의 변화는 크지 않은데, 이는 실험 단면의 콘크리트 피복 두께가 60mm로 온도변화가 크게 유발되지 않는 위치이기 때문이며, Case B와 C의 비교를 통해 비정상상태 변형률이 변위에 큰 영향을 나타내고 있음을 볼 수 있다. 따라서, 비정상상태 변형률을 무시하면 정확한 해석 결과가 도출되지 않음을 알 수 있고, 이는 특히 기둥의 경우 비정상상태 변형률을 반드시 고려해야 한다는 기존 연구의 결과와도 일치하고 있다.13,32)

5.2 철근콘크리트 단순보

한편, Lin 등1)이 표준화재실험을 수행한 단순보를 대상으로 해석모델에 대한 검증을 수행하였다. 대상 구조물의 기하학적 형상은 Fig. 8과 같으며 지점으로부터 1270mm 지점에서 철근의 일부가 절단되어 부재의 저항력이 변화하게 되어 있으며. 집중하중 P의 크기는 17.8kN으로 실험종료시점까지 일정하게 유지되었다. 실험 시, ASTM E-119 화재 곡선38)에 따른 온도이력이 하중이 작용하지 않는 배면과 측면의 세면에 경계조건으로 적용되었으며 보 하단 부분의 화염의 방출도 ε는 0.2을 사용하였고, 대류계수 /Resources/kci/JKCI.2013.25.5.497/images/PIC5E1D.gif를 사용하였다. 그리고, 측면 부분의 경우, 화염의 방출도 ε는 0.3을, /Resources/kci/JKCI.2013.25.5.497/images/PIC5E2E.gif을 각각 사용하였다.

/Resources/kci/JKCI.2013.25.5.497/images/PIC5DBD.gif

(a) Structural member

/Resources/kci/JKCI.2013.25.5.497/images/PIC5DFD.gif

(b) Cross section

Fig. 8 Simple beam for the analysis (unit: mm)

Fig. 9는 보 B-B 단면의 인장측에 위치한 철근 온도의 평균값으로 점표식은 실험을 통해 산정된 값을, 실선은 해석 결과를 각각 나타내고 있므며 실험 결과와 해석 결과의 전체적인 경향이 잘 일치하는 것을 확인할 수 있다. 한편, Fig. 10은 각 시간이 경과함에 따라 부재 단면의 높이 방향으로 변화하는 온도분포를 표시한 것으로 Fig. 10을 통해 화재로 인한 단면의 온도분포가 비선형성을 가짐을 확인할 수 있으며, 부재 하부 표면에 가까울수록 온도변화의 폭이 더욱 크게 증가함을 알 수 있다.

/Resources/kci/JKCI.2013.25.5.497/images/PIC5E6D.gif

Fig. 9 Temperature distribution of reinforcements

/Resources/kci/JKCI.2013.25.5.497/images/PIC5E8D.jpg

Fig. 10 Temperature distribution of the section along the vertical direction

화재실험당시 실시한 재료실험 결과에 따라 초기 콘크리트 압축강도와 철근 항복강도는 각각 30MPa와 435.8MPa로 주어졌으며 철근의 탄성계수는 2.0×105MPa로 가정하였다. Fig. 11은 화재 발생 시간에 따른 최대 처짐 변위를 나타낸 것으로 변형률을 모두 고려한 해석 결과 Case D(εc,th + εc,cr + εc,tr + εs,th + εs,cr 고려)와 실험 결과를 비교해 보면 전체적으로 잘 일치하는 것을 알 수 있다. 한편, Case C(εc,th + εc,cr + εc,tr + εs,th 고려)와 D를 비교하면 철근의 크리프에 의해 최대 처짐 변위가 화재 발생 60분 후에 급격히 증가하는 것을 알 수 있는데, 이는, 화재 발생 후 50분 시점에서 모서리부분의 인장 철근 온도가 474℃에 도달하며, 이 때 철근이 450℃ 이상 고온에 노출됨에 따라 철근의 크리프가 부재 전체변위에 영향을 주기 때문이다. 그리고 Case A(εc,th + εs,th 고려), B(εc,th + εc,cr + εs,th 고려), C의 비교 결과 콘크리트의 비정상상태 변형률과 크리프 변형률은 보의 변위를 증가시킴을 확인하였다.

/Resources/kci/JKCI.2013.25.5.497/images/PIC5EDC.gif

/Resources/kci/JKCI.2013.25.5.497/images/PIC6045.jpg

Fig. 11 The variation of maximum deflection with time

Fig. 12 Moment capacity of the beam after fire

/Resources/kci/JKCI.2013.25.5.497/images/PIC6065.jpg

/Resources/kci/JKCI.2013.25.5.497/images/PIC6095.jpg

(a) Methods in design code

(b) Numerical analysis using design loads

Fig. 13 Comparison between design methods in EN 1992-1-2 and numerical analysis

Fig. 12는 화재 발생 전과 화재 발생 70분 후 보의 길이에 따른 휨모멘트 분포와 공칭 휨강도(Mn)를 나타낸 것이며 공칭 휨강도의 경우 온도에 따른 철근과 콘크리트의 강도를 적용하여 강도설계법으로 계산하였다. 해석 모델이 단순보이므로 모멘트 재분배가 발생하지 않아 화재 발생 전, 후에 보에 작용하는 모멘트는 거의 일정한 반면, 온도에 따른 철근과 콘크리트의 강도 저하로 인해 휨 강도는 화재 발생 시간이 지남에 따라 감소한다. 이는 해석과정에 있어서, 화재 발생 70분 후에 모서리 부분의 인장철근 온도가 약 600℃로 상승함에 따라 철근의 항복강도가 상온에서의 강도의 약 45% 정도로 감소하면서 부재의 휨 강도가 저하되게 되고 인장철근 절단지점에서 파괴가 일어나기 때문이다. 이는 Lin1)이 보고한 실험 결과와도 일치한다. 철근의 피복두께를 크게 하여 철근이 고온에 노출되지 않게 하거나 또는 철근량을 늘리는 것이 부재의 내화시간 증가에 도움이 된다고 판단된다.

5.3 설계규준와의 비교

Eurocode2의 EN 1992-1-224)에서는 지점의 횡구속이 있는 RC 기둥이 표준화재에 노출될 때, 요구되는 내화시간 동안 버틸 수 있는 단면의 최소폭(bmin) 및 단면 모서리에서의 철근의 위치(a)를 제시하고 있으며 제시되는 규격은 내화시간(R), 세장비(λ), 기둥에 작용하는 축방향 설계하중의 정도(n=NEd,fi/0.7(Ac·fcd+As·fyd), μfi=NEd,fi/NRD), 편심(e =MEd,fi/NEd,fi) 및 역학적 철근비(w=Ac·fcd/As·fyd )에 따라 달라진다. 여기서 NEd,fi는 화재상황에서의 축방향 설계하중, MEd,fi는 화재상황에서의 설계휨모멘트, NRD는 상온에서 단면의 극한저항능력, Ac는 단면 내 콘크리트의 넓이, As는 단면 내 철근의 넓이, fcd는 상온에서 콘크리트의 설계강도 그리고 fyd는 상온에서 철근의 설계항복강도를 의미한다.

Fig. 13(a)는 EN 1992-1-224)를 기반으로 한 내화단면의 선정 및 이 때의 설계하중을 산정하는 방법을 흐름도로 표시한 것이며 여기서 l0,fi는 화재 상황에서 기둥의 유효길이, i는 단면의 회전반경, MRD는 상온에서 단면의 극한저항모멘트를 의미한다. 세장비값 30을 기준으로 Fig. 13(a)에서 각각 나타난 바와 같이 각각 Method A와 Method B로 구분하여 내화단면 및 설계하중을 결정한다. Method A에서 편심은 유로코드에서 제시되는 최대 편심(emax= 0.15b) 값을, 철근비는 0.03을 가정하였으며 단면의 극한저항능력 NRD와 MRD는 P-M 상관도의 작성을 통해 구하였다. 그리고 해석에 있어서, 동일한 bmin 및 a 값을 갖는 정사각형 단면에 대해 코드를 통해 결정된 기둥의 기하정보(l0,fi) 및 설계하중(NEd,fi, MEd,fi)을 적용하였다. 여기서 해석 상 구조물이 코드에서의 내화시간을 버틸 수 있는 설계휨모멘트(MEd,fi) 값을 찾을 때까지 해석을 반복하고 이 때의 설계하중을 코드를 통해 계산된 값과 비교하였다(Fig. 13(b)).

세장비 50, 30, 10에 대해 비교를 수행하였다. 세장비 30이상의 경우 동일 세장비에 대해서 역학적 철근비 및 내화시간을 바꾸어가며 해석하였고 설계하중조건은 n = 0.3과 n = 0.5를 적용하였다. 세장비 10의 경우 μfi = 0.2와 μfi = 0.5에 대해 비교하였으며 모든 세장비에 대해 양측 힌지의 지점조건을 가진 기둥 단면 상하부에 각각 4개씩의 철근이 매입되어 있고 4면에 화재가 발생한 상황을 가정하였다. 설계강도 fyd = 370.0MPa과 fcd = 23.47MPa을 가정하여 설계하중을 계산하였으며, 철근의 강도감소계수 1.15, 콘크리트의 강도감소계수 1.5를 적용하여 재료속성을 해석에 반영하였다.

다음 Fig. 14는 세장비 50에 대해 설계규준과 해석 결과를 비교한 것으로 60분과 120분의 두 가지 내화시간을 고려하였다. 동일 축력에 대해서 내화시간이 커질수록 그래프 상에 표시된 휨모멘트 값은 줄어드는 것을 볼 수 있으며, 이를 통해 편심이 커질수록 동일 하중에 대해서 부재가 버틸 수 있는 내화시간은 감소함을 알 수 있다. 한편, Fig. 14(a)와 (b)에서 볼 수 있듯이 기둥에 작용하는 축력이 크지 않을 경우에는 해석 결과와 설계규준 간에 뚜렷한 차이가 존재하지 않지만 작용하는 축력이 커질수록 모멘트 값에 차이가 발생하기 시작한다.

/Resources/kci/JKCI.2013.25.5.497/images/PIC60A6.jpg

(a) λ = 50, w = 0.1

/Resources/kci/JKCI.2013.25.5.497/images/PIC60C6.jpg

(b) λ = 50, w = 0.5

Fig. 14 Comparison of fire resistance between design code and nuemrical analysis (λ > 30)

해석 상 화재 발생 후 제시된 내화시간을 버틸 수 있는 부재의 모멘트 값이 설계규준에 비해 전체적으로 더 작은 경향성을 보여준다. 그 편차는 역학적 철근비 0.1를 가지는 경우 내화시간 120분에 대해 150kN․m 이상, 그리고 역학적 철근비 0.5의 경우 내화시간 120분에 250kN․m 이상까지 나타나며, 이는 해당 세장비 조건에 대해 설계규준에서 제시하는 단면의 내화성능이 과대평가 되고 있으며, 축력이 커짐에 따라 해당 단면을 적용할 경우 코드에서 제시하는 내화시간을 버티지 못하는 경우가 발생할 수 있음을 의미한다.

Fig. 15는 세장비 30과 10에 대한 비교를 보여준다. 세장비 50인 경우와 대조적으로 축력이 2500kN 이상으로 커지는 경우에도 설계규준과 해석 결과 간에 뚜렷한 편차는 발생하지 않으며, 축력변화에 따라 모멘트 값의 차이가 점점 커지는 경향도 보이지 않는다. 일반적으로 기둥 부재는 세장비가 커짐에 따라 유발되는 2차 모멘트가 증가하며 단면 중앙으로 갈수록 그 값이 더욱 커지며 먼저 파괴에 다다르게 된다.

설계규준에서는 이러한 2차 효과의 반영이 상대적으로 부족함에 따라 세장비 50에서의 단면의 저항능력을 과대평가한 것으로 보이며, 한 편, 세장비가 상대적으로 작은 30과 10의 경우 세장비가 50인 경우에 비해 이러한 2차 효과가 감소하게 되며 설계규준과 해석결과 간의 편차도 줄어든 것으로 보인다.

6. 결    론

이 논문에서는 콘크리트 구조물의 비정상 열전달 해석으로 결정된 온도 분포를 기반으로, 온도변화에 따라 추가적으로 발생하는 시간 의존적 거동을 반영할 수 있는 해석모델을 제안하였다. 이때, 고려되어야 하는 시간 의존적 거동들을 각기 적용하여 구조거동에 있어서 발생하는 차이점을 분석하고 이를 타 연구자들이 수행한 표준화재실험 결과와 비교하여 그 타당성을 검증하였다. 이에 더하여, 세장비 조건에 따라 주어진 내화시간을 버틸 수 있는 초기 편심모멘트 값을 산정하여, 이를 설계규준과 비교하고 그 타당성을 판단하였다.

1)압축 부에서 크리프 및 비정상상태 변형률은 온도에 의한 콘크리트의 팽창을 상쇄시키며 부재의 변위에 크게 영향을 미치기 때문에 정확한 응력과 변위의 산정을 위해서는 고온에서의 시간의존적 거동을 반드시 고려해야 할 것으로 판단된다.

2)보 해석 시, 인장철근의 온도가 약 450℃이상 고온에 노출될 경우 철근의 크리프에 의해 부재의 변위가 급격히 증가하므로 이에 대한 고려가 필요하다.

3)화재에 따른 부재의 파괴는 온도에 의한 철근과 콘크리트의 강도저하가 주요한 원인이며, 특히, 배근 상태가 달라지는 위치에 있는 단면의 경우 단면저항능력이 변화하므로 철근콘크리트구조물의 내화 설계 시 이에 대한 고려가 필요하다. 따라서, 피복두께를 적절하게 증가시켜 철근에 발생하는 온도변화를 줄여주는 것이 부재의 내화성능에 도움이 될 것으로 판단된다.

/Resources/kci/JKCI.2013.25.5.497/images/PIC60D6.jpg

(a) λ = 30, w = 0.1

/Resources/kci/JKCI.2013.25.5.497/images/PIC60F7.jpg

(b) λ = 30, w = 0.5

/Resources/kci/JKCI.2013.25.5.497/images/PIC6107.jpg

(c) λ = 10

Fig. 15 Comparison of fire resistance between design code and nuemrical analysis (λ ≤ 30)

4)기둥 부재의 경우 유로코드는 세장비가 클 경우 축력의 증가에 따라 주어진 내화시간을 버틸 수 있는 초기 편심모멘트 값을 과대평가하는 경향을 나타내었다.

5)이 때, 설계규준의 내화시간보다 더 빨리 단면내력상태가 극한에 다다르는 경우가 발생하므로, 2차 모멘트의 효과를 정확히 고려할 필요가 있다.

Acknowledgements

이 논문은 국토해양부의 연구비 지원(과제번호:11CHUD- B059195-000000), U-City 석․박사과정 지원사업의 지원 및 2012년도 지식경제부 원자력기금으로 한국에너지기술평가원(20101620100050)의 지원을 받아 수행한 연구과제입니다. 이에 감사 드립니다.

References

1 
1.Lin, T. D., Gustaferro, A. H., and Abrams, M. S., Fire Endurance of Continuous Reinforced Concrete Beams, Portland Cement Association, Shokie, Illinois, Report No. RD072.01B, 1981.Google Search
2 
2.Lin, T. D., Ellingwood, B., and Piet, O., Flexural and Shear Behavior of Reinforced Concrete Beams during Fire Tests, Portland Cement Association, Shokie, Illinois, Report No. NBS-GCR-87-536, 1988.Google Search
3 
3.Dotreppe, J. C. and Franssen, J. M., “The Use of Numerical Models for the Fire Analysis of Reinforced Concrete and Composite Structures,” Engineering Analysis, Vol. 2, No. 2, 1985, pp. 67-74.DOI
4 
4.Lie, T. T., Lin, T. D., Allen, D. E., and Abrams, M. S., Fire Resistance of Reinforced Concrete Columns, NRCC 23065 (DBR Paper No. 1167), National Research Council of Canada (Division of Building Research), Ottawa, 1984.Google Search
5 
5.Anderberg, Y. and Thelandersson, S., Stress and Defor-mation Characteristics of Concrete, 2-Experimental Investigation and Material Behavior Model, Bulletin No. 54, University of Lund, Sweden, 1976.Google Search
6 
6.Harmathy, T. Z., A Comprehensive Creep Model, NRCC 9696, National Research Council of Canada (Division of Building Research), Ottawa, 1967.Google Search
7 
7.Youssef, M. A. and Moftah, M., “General Stress-Strain Relationship for Concrete at Elevated Temperatures,” Engi-neering Structures, Vol. 29, No. 10, 2007, pp. 2618-2634.DOI
8 
8.Li, L. and Purkiss, J. A., “Stress-Strain Constitutive Equations of Concrete Material at Elevated Temperatures,” Fire Safety Journal, Vol. 40, No. 7, 2005, pp. 669-686.DOI
9 
9.Sidibé, K., Duprat, F., Pinglot, M., and Bourret, B., “Fire Safety of Reinforced Concrete Columns,” ACI Structural Journal, Vol. 97, No. 4, 2000, pp. 642-647.Google Search
10 
10.Cai, J., Burgess, I., and Prank, R., “A generalized Steel/Reinforced Concrete Beam-Column Element Model for Fire Conditions,” Engineering Structures, Vol. 25, No. 6, 2003, pp. 817-833.DOI
11 
11.Capua, D. D. and Mari, A. R., “Nonlinear Analysis of Reinforced Concrete Cross-Sections Exposed to Fire,” Fire Safety Journal, Vol. 42, No. 2, 2007, pp. 139-149.DOI
12 
12.Sadaoui, A. and Khennane, A., “Effect of Transient Creep on the Behaviour of Reinforced Concrete Columns in Fire,” Engineering Structures, Vol. 31, No. 9, 2009, pp. 2203-2208.DOI
13 
13.Terro, M. J., “Numerical Modeling of the Behavior of Concrete Structures in Fire,” ACI Structural Journal, Vol. 95, No. 2, 1998, pp. 183-193.Google Search
14 
14.Huang, Z., Burgess, I. W., and Plank, R. J., “3D Modelling of Beam-Columns with General Cross-Sections in Fire,” Proceedings of the Third International Workshop on Structures in Fire, Ottawa, Canada, 2004.Google Search
15 
15.Huang, Z., Burgess, I. W., and Plank, R. J., “Three- Dimensional Analysis of Reinforced Concrete Beam-Column Structures in Fire,” Journal of Structural Engineering, Vol. 135, No. 10, 2009, pp. 1201-1212.DOI
16 
16.Huang, Z. and Platten, A., “Nonlinear Finite Element Analysis of Planar Reinforced Concrete Members Subjected to Fires,” ACI Structural Journal, Vol. 94, No. 3, 1997, pp. 272-281.Google Search
17 
17.Bratina, S., Saje, M., and Planinc, I., “On Materially and Geometrically Non-Linear Analysis of Reinforced Concrete Planar Frames,” International Journal of Solids and Structures, Vol. 41, No. 24-25, 2004, pp. 7181-7207.DOI
18 
18.Bratina, S., Čas, B., Saje, M., and Planinc, I., “Numerical Modelling of Behaviour of Reinforced Concrete Columns in Fire and Comparison with Eurocode 2,” International Journal of Solids and Structures, Vol. 42, No. 21-22,  2005, pp. 5715-5733.DOI
19 
19.Bratina, S., Saje, M., and Planinc, I., “The Effect of Different Strain Contributions on the Response of RC Beams in Fire,” Engineering Structures, Vol. 29, No. 3, 2007, pp. 418-430.DOI
20 
20.Kodur, V. K. R. and Dwaikat, M., “A Numerical Model for Predicting the Fire Resistance of Reinforced Concrete Beams,” Cement and Concrete Composites, Vol. 30, No. 5, 2008, pp. 431-443.DOI
21 
21.Kodur, V., Dwaikat, M., and Fike, R., “High-Temperature Properties of Steel for Fire Resistance Modeling of Structures,” Journal of Materials in Civil Engineering, Vol. 22, No. 5, 2010, pp. 423-434.DOI
22 
22.Kodur, V. and Raut, N., “A Simplified Approach for Predicting Fire Resistance of Reinforced Concrete Columns under Biaxial Bending,” Engineering Structures, Vol. 41, 2012, pp. 428-443.DOI
23 
23.Lie, T. T., Structural Fire Protection, American Society of Civil Engineers, New York, 1992.Google Search
24 
24.Eurocode 2, Design of Concrete Structures. Part 1–2: General Rules-Structural Fire Design, EN 1992-1-2, Commission of European Communities, Brussels, 2004.Google Search
25 
25.Harmathy, T. Z., Fire Safety Design and Concrete, Longman Scientific and Technical, Harlow, UK, 1993.Google Search
26 
26.Cruz, C. R., Apparatus for Measuring Creep of Concrete at High Temperatures, Portland Cement Association, Shokie, Illinois, Report No. 225, 1968, pp.36-42.Google Search
27 
27.Nielsen, C. V., Pearce, C. J., and Bićanić, N., “Theoretical Model of High Temperature Effects on Uniaxial Concrete Member under Elastic Restraint,” Magazine of Concrete Research, Vol. 54, No. 4, 2002, pp. 239-249.DOI
28 
28.Lie, T. T. and Lin, T. D., “Fire Performance of Reinforced Concrete Columns,” Fire Safety: Science and Engineering, American Society for Testing and Materials, Denver, 1985, pp. 176-205.DOI
29 
29.Hertz, K. D., “Concrete Strength for Fire Safety Design,” Magazine of Concrete Research, Vol. 57, No. 8, 2005, pp. 445-453.DOI
30 
30.Khennane, A. and Baker, G., “Uniaxial Model for Concrete under Variable Temperature and Stress,” Journal of Engineering Mechanics, Vol. 119, No. 8, 1993, pp. 1507-1525.DOI
31 
31.Anderberg, Y., “Modelling Steel Behavior,” Fire Safety Journal, Vol. 13, No. 1, 1988, pp. 17-26.DOI
32 
32.Khoury, G. A., “Effect of Fire on Concrete and Concrete Structures,” Progress in Structural Engineering and Materials, Vol. 2, No. 4, 2000, pp. 429-447.DOI
33 
33.Dorn, J. E., “Some Fundamental Experiments on High Temperature Creep,” Journal of the Mechanics and Physics of Solids, Vol. 3, No. 2, 1955, pp. 85-88.DOI
34 
34.Harmathy, T. Z., Deflection and Failure of Steel-Supported Floors and Beams in Fire, NRCC 9933, National Research Council of Canada (Division of Building Research), Ottawa, 1967.Google Search
35 
35.ASCE, Structural Fire Protection, Manual No. 78, ASCE Committee on Fire Protection, Reston, 1992.Google Search
36 
36.Poh, K. W., “Stress-Strain-Temperature Relationship for Structural Steel,” Journal of Materials in Civil Engineering, Vol. 13, No. 5, 2001, pp. 371-379.DOI
37 
37.Buchanan, A. H., Structural Design for Fire Safety, Wiley, New York, 2001.Google Search
38 
38.ASTM, Standard Methods of Fire Tests of Building Construction and Materials, Designation E 119, American Society for Testing and Materials, Philadelphia, 1976.Google Search
39 
39.Kwak, H. G., Kwon, S. H., and Ha, S. H., “Temperature Distribution and It’s Contribution to Self-Equilibrium Thermal Stress in Bridge,” Journal of the Computational Structural Engineering Institute of Korea, Vol. 24, No. 5, 2011, pp. 531-542.Google Search
40 
40.Kwak, H. G. and Kwak J. H., “An Improved Design Formula for a Biaxially Loaded Slender RC Column,” Engineering Structures, Vol. 32, No. 1, 2010, pp. 226-237.DOI
41 
41.Kwak, H. G. and Kim, J. K., “Analytical Model for Long-Term Behavior of Slender RC Columns,” Journal of the Korean Society of Civil Engineering, Vol. 22, No. 2A, 2002, pp. 365-377.Google Search